Главная Случайная страница


Полезное:

Как сделать разговор полезным и приятным Как сделать объемную звезду своими руками Как сделать то, что делать не хочется? Как сделать погремушку Как сделать так чтобы женщины сами знакомились с вами Как сделать идею коммерческой Как сделать хорошую растяжку ног? Как сделать наш разум здоровым? Как сделать, чтобы люди обманывали меньше Вопрос 4. Как сделать так, чтобы вас уважали и ценили? Как сделать лучше себе и другим людям Как сделать свидание интересным?


Категории:

АрхитектураАстрономияБиологияГеографияГеологияИнформатикаИскусствоИсторияКулинарияКультураМаркетингМатематикаМедицинаМенеджментОхрана трудаПравоПроизводствоПсихологияРелигияСоциологияСпортТехникаФизикаФилософияХимияЭкологияЭкономикаЭлектроника






Варіант 20. Завдання 1 – 5 мають по чотири варіанти відповіді, з яких тільки одна правильна





І частина (5 балів)

Завдання 1 – 5 мають по чотири варіанти відповіді, з яких тільки одна правильна. Оберіть правильну, на Вашу думку, відповідь. Правильне розв’язання кожного завдання оцінюється одним балом.

1. Обчисліть

А) 22; Б) -22; В) 50; Г) -50.

2.Спростіть вираз

А) ; Б) ; В) ; Г) 0.

3. Запишіть число 87000 у стандартному вигляді.

А) 8,7·104; Б) 8,7·103; В) 0,87·105; Г) 87·103.

4. Розв’яжіть рівняння (х + 5)(х - 9) = - 45.

А) 4; 0; Б) немає коренів;

В) 4; Г) 0.

5. На якому з рисунків зображено графік функції ?

А) Б) В) Г)

 

ІІ частина (4 бали)

Розв’язання завдань 6 – 7 може мати короткий запис без обґрунтування. Правильне розв’язання кожного завдання оцінюється двома балами.

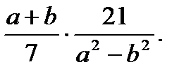
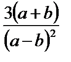
6. Спростіть вираз .

7. Пряма у = кх + b проходить через точки A (4; 1) і B (-6; 4). Знайдіть значення к і b.

 

ІІІ частина (3 бали)

Розв’язання 8 завдання повинно мати обґрунтування. Потрібно записати послідовні логічні дії та пояснення.Правильне розв’язання завдання оцінюється трьома балами.

8.З міста А до міста В виїхав велосипедист. Через 3 год з міста А виїхав мотоцикліст, який прибув до міста В одночасноз велосипедистом. Знайдіть швидкість мотоцикліста, якщо вона на 45 км/год більша за швидкість велосипедиста, а відстань між містами А і В становить 60 км.







Date: 2015-07-24; view: 551; Нарушение авторских прав



mydocx.ru - 2015-2026 year. (0.163 sec.) Все материалы представленные на сайте исключительно с целью ознакомления читателями и не преследуют коммерческих целей или нарушение авторских прав - Пожаловаться на публикацию