Главная Случайная страница


Полезное:

Как сделать разговор полезным и приятным Как сделать объемную звезду своими руками Как сделать то, что делать не хочется? Как сделать погремушку Как сделать так чтобы женщины сами знакомились с вами Как сделать идею коммерческой Как сделать хорошую растяжку ног? Как сделать наш разум здоровым? Как сделать, чтобы люди обманывали меньше Вопрос 4. Как сделать так, чтобы вас уважали и ценили? Как сделать лучше себе и другим людям Как сделать свидание интересным?


Категории:

АрхитектураАстрономияБиологияГеографияГеологияИнформатикаИскусствоИсторияКулинарияКультураМаркетингМатематикаМедицинаМенеджментОхрана трудаПравоПроизводствоПсихологияРелигияСоциологияСпортТехникаФизикаФилософияХимияЭкологияЭкономикаЭлектроника






Индекс Пааше





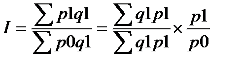
Общепризнанной основной формулой является формула взвешенного агрегатного индекса как наиболее полно отражающего экономическую задачу, решаемую с помощью индексов цен:

где p1 и p0 - цены единицы товара соответственно в отчетном и базисном периодах; q1 и q0 - количества товара в отчетном и базисных периодах.

— фактическая стоимость продукции отчетного периода

— стоимость товаров реализованных в отчетном периоде по ценам базисного периода

Индекс цен Пааше показывает, во сколько раз возрос или уменьшился в среднем уровень цен на массу товара, реализованную в отчетном периоде, или сколько процентов составляет его рост (снижение) в отчетном периоде по сравнению с базисным периодом, т.е. он показывает, на сколько товары в отчетном периоде стали дороже (дешевле), чем в базисном.

Оба эти индекса имеют недостаток: в них не учитываются изменения номенклатуры потребительских товаров, а значит не отражаются сдвиги в товарных корзинах потребителей. Если индекс Ласпейреса несколько завышает рост цен, то индекс Пааше его занижает. Чтобы точнее отразить с помощью ценовых индексов динамику цен используют индекс Фишера.







Date: 2015-07-24; view: 1207; Нарушение авторских прав



mydocx.ru - 2015-2026 year. (0.731 sec.) Все материалы представленные на сайте исключительно с целью ознакомления читателями и не преследуют коммерческих целей или нарушение авторских прав - Пожаловаться на публикацию