Главная Случайная страница


Полезное:

Как сделать разговор полезным и приятным Как сделать объемную звезду своими руками Как сделать то, что делать не хочется? Как сделать погремушку Как сделать так чтобы женщины сами знакомились с вами Как сделать идею коммерческой Как сделать хорошую растяжку ног? Как сделать наш разум здоровым? Как сделать, чтобы люди обманывали меньше Вопрос 4. Как сделать так, чтобы вас уважали и ценили? Как сделать лучше себе и другим людям Как сделать свидание интересным?


Категории:

АрхитектураАстрономияБиологияГеографияГеологияИнформатикаИскусствоИсторияКулинарияКультураМаркетингМатематикаМедицинаМенеджментОхрана трудаПравоПроизводствоПсихологияРелигияСоциологияСпортТехникаФизикаФилософияХимияЭкологияЭкономикаЭлектроника






Розробка програмного продукту для використання в нав­чальному процесі або в інших цілях





В цьому випадку в економічній частині студент повинен:

а) скласти кошторис витрат на розробку програмного продукту – В. Методика розрахунків наведена в додатку Г. При складанні кошторису потрібно ураховувати тільки ті витрати, які характерні для розробки програмного продукту.

У випадку, коли програмний продукт призначений для реалізації на сторону, необхідно розрахувати виробничу собівартість матеріального носія з програмним продуктом – Sв (див. додаток К);

б) розрахувати експлуатаційні витрати, пов'язані з використан­ням нового програмного продукту – Е2. Методика розрахунків наве­дена в додатку Е;

в) розрахувати умовний обсяг роботи Q2, який може бути вико­наний при застосуванні нового програмного продукту. Методика розрахунків наведена в додатку В;

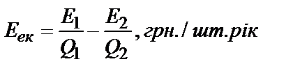
г) розрахувати річний економічний ефект від впровадження нового програмного продукту за формулою:

грн./рік, (1.2.3)

де Е1 – експлуатаційні витрати при використанні існуючого програмного продукту (або без його використання взагалі), грн./рік;

Е2 – експлуатаційні витрати при використанні нового програмного продукту, грн./рік;

Q1 – умовний обсяг роботи, що виконується за рік при використанні існуючого програмного продукту або без його використання взагалі (умовні одиниці, кількість функцій тощо);

Q2 – умовний обсяг роботи, який виконується за рік при застосуванні нового програмного продукту (умовні одиниці, кількість функцій тощо).

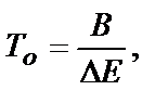
д) розрахувати термін окупності Т0 витрат, які були використані на розробку нового програмного продукту, за формулою:

років, (1.2.4)

При Т0 < 1...3 роки новий програмний продукт вважається еко­номічно ефективним.

Якщо в ході дипломного проектування поставлена задача забезпечити розробку більш ефективного програмного продукту, то спо­чатку для кожного із запропонованих варіантів рішення основної задачі проекту (тобто, для кожного варіанта програмного продукту) роз­раховують умовний обсяг робіт, який можна виконати за рік при конкретних умовах використання цього продукту.

Умовний обсяг робіт Q для кожного із варіантів можна розраху­вати за формулою:

умов. од., (1.2.5)

де F – ефективний фонд часу роботи програмного продукту за рік (для однозмінної роботи F = 1700... 1800 годин, для двозмінної роботи F = 3500...3600 годин);

– частка часу, який витрачає працівник на виконання конкретної роботи з застосуванням даного програмного продукту, в загальному часі своєї роботи;

ti – час виконання конкретної функції при застосуванні даного варіанта програмного продукту, хвилин.

Примітка. За умовний обсяг роботи можна прийняти кількість функцій, які виконуються за допомогою використання кожного із варіантів програмного продукту. Можуть використовуватись і інші показники, характерні для даного виду програмного продукту.

Далі, користуючись формулами А.3, А.4 та А.5 (див. додаток А), здійснюють розрахунок капітальних вкладень, які необхідні для розробки кожного із запропонованих варіантів програмного продукту, а також величину експлуатаційних витрат для кожного із цих варіантів.

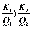
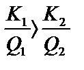
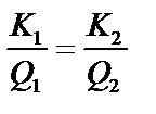
Якщо запропонованих варіантів програмного продукту два, то варіанту з меншими капітальними вкладеннями потрібно присвоїти індекс "1", а варіанту з більшими капітальними вкладеннями – індекс "2". Далі потрібно здійснити зіставлення капітальних вкладень та екс­плуатаційних витрат і зробити висновок щодо оптимального варіанта. Механізм зіставлень та вибір оптимального варіанта програмного продукту наведений в таблиці 3.3.

 

Таблиця 1.3 – Механізм та варіанти зіставлень капітальних вкладень К та експлуатаційних витрат Е для 2-х варіантів програмного продукту.

Співвідношення між капітальними вкладеннями та експлуатаційними витратами   Формули для розрахунку економічних показників   Висновки щодо економічної ефектив­ності нової розробки  
Абсолютна економія на пито­мих капітальних вкладеннях: Кращим буде варіант "2"  
Абсолютна економія на пито­мих експлуатаційних витратах: Кращим буде варіант "2"  
Абсолютна економія як на пи­томих капітальних вкладеннях, так і на питомих експлуатацій­них витратах: Кращим буде варіант "2"  
Термін окупності додаткових питомих капітальних вкладень за рахунок економії на питомих експлуатаційних витратах: Варіант "2" буде кра­щим за умови, коли термін окупності додаткових питомих капітальних вкладень буде меншим за нор­мативний, тобто, Ток2/1 < 1... 3 років  
Термін поглинання економії на питомих капітальних вкладен­нях додатковими експлуатацій­ними витратами: Варіант "2" буде кра­щим за умови, коли термін поглинання економії на капітальних вкладеннях додатковими питомими експлуатаційними витратами буде більшим за нормативний, тобто, Тпогл1/2 >1...3 років  

 


1.2.3 Модернізація або розробка нового технічного рішення (приладу, машини, схемного рішення тощо)

 

В цьому випадку в економічній частині студент повинен:

а) скласти кошторис витрат на розробку нового технічного рі­шення – В. Методика розрахунків наведена в додатку Г. При складанні кошторису потрібно ураховувати тільки ті витрати, які характерні для даної розробки;

б) розрахувати величину експлуатаційних витрат для нової розробки – Е2. Методика розрахунків наведена в додатку Д;

в) розрахувати економічний ефект від впровадження нового (або модернізованого) технічного рішення за формулою:

грн./рік, (1.2.6)

де Е1 – експлуатаційні втрати для аналога, грн./рік;

Е2 – експлуатаційні втрати для нової розробки, грн./рік.

В тому випадку, коли суттєво змінюються значення основних технічних показників нового технічного рішення, розрахунок економічного ефекту можна здійснити за формулою:

грн./рік, (1.2.7)

де Q1 – значення основного технічного показника (чи їх сукупності) для існуючого технічного рішення;

Q2 – значення основного технічного показника (чи їх сукупності) для нового технічного рішення;

г) розрахувати термін окупності Т0 витрат, які були використані на розробку нового технічного рішення, за формулою:

років. (1.2.8)

При Т0 < 3... 5 років, а для обчислювальної техніки Т0 < 1...3 роки, нова розробка вважається економічно ефективною.

Основні випадки, з якими може зіткнутись студент при виконанні техніко-економічного обґрунтування дипломного проекту можуть бути такі:

1. Якщо в ході дипломного проектування поставлена задача забезпечити мінімізацію габаритів і маси нового виробу, то кращим буде той варіант, який забезпечить найменші габарити та масу нової розробки при відповідності останніх нормативним даним.

2. Якщо в ході дипломного проектування поставлена задача забезпечити підвищення надійності нової розробки, то для запропонованих варіантів розраховують коефіцієнти відносної ефективності додаткових витрат G, які були використані на підвищення надійності нової розробки. Коефіцієнт підвищення ефективності додаткових витрат G розраховується за формулою:

, (1.2.9)

де Нi – надійність нового виробу (або певний показник надійності), яку забезпечить і -й варіант рішення основної задачі проекту;

Н1 – надійність (або певний показник надійності) аналога. Показниками надійності можуть бути вибрані ймовірність безвідмовної роботи виробу впродовж певного часу, напрацювання на відмову (середній час безвідмовної роботи) та інші;

Кi – капітальні витрати для реалізації i-го варіанта, грн. Для розрахунку капітальних витрат можна користуватись методикою, наведеною в додатку А;

К1 – капітальні витрати для аналога, їх величина береться з реальних джерел або розраховується за методикою, яка наведена в додатку А.


Для обґрунтування вибору оптимального варіанта рішення основної задачі проекту за даним критерієм студент повинен розрахувати коефіцієнти G для кожного із запропонованих варіантів. Кращим буде той варіант, де коефіцієнт G буде більшим. Окрім цього потрібно пам'ятати, що коефіцієнт G повинен бути більшим за одиницю, інакше додаткові витрати на підвищення надійності нового виробу будуть економічно невиправданими.

3. Якщо в ході дипломного проектування поставлена задача зменшити кількість допоміжних елементів (вузлів та деталей) в кон­струкції нового виробу, то для кожного із запропонованих варіантів розраховують коефіцієнти співвідношень Ксп:

, (1.2.10)

де Nдоп – кількість допоміжних елементів конструкції (каркаси, шасі, панелі, кришки, ковпаки, кожухи тощо) виробу;

Nосн – кількість основних елементів конструкції вибору для даного варіанта.

При приблизно однаковій загальній кількості основних і допоміжних вузлів та деталей конструкції нового виробу кращим буде той ва­ріант, де коефіцієнт Ксп буде нижчим.

4. Якщо в ході дипломного проектування поставлена задача забезпечити оптимальність конструктивних форм деталей, які будуть використані у елементах конструкції виробу, то кращим буде вважатись той варіант, який забезпечить:

- більшу кількість (частку) деталей, що не потребують додаткової обробки;

- більшу кількість (частку) деталей із зручними поверхнями обробки;

- меншу кількість спеціальних та складних деталей, які потребують складної обробки;

- нижчий оптимальний середній клас точності обробки деталей;

- нижчий оптимальний середній клас чистоти поверхні деталей, які оброблюються.

5. Якщо в ході дипломного проектування поставлена задача забезпечити більш широке використання стандартних деталей та вузлів в новому виробі, то для кожного із запропонованих варіантів розраховують коефіцієнт спадкоємності Кс та коефіцієнт повторюваності Кп.

Коефіцієнт спадковості Кс розраховується за формулою:

, (1.2.11)

де Nст – кількість найменувань стандартних деталей та вузлів, що використовуються в конструкції виробу при даному варіанті;

Nу – кількість найменувань уніфікованих деталей та вузлів, що використовуються в конструкції виробу при даному варіанті;

N – загальна кількість найменувань деталей та вузлів, що використовуються в конструкції виробу при даному варіанті, без урахування деталей кріплення.

Коефіцієнт повторюваності Кп розраховується за формулою:

, (1.2.12)

де Nзаг – загальна кількість всіх деталей та вузлів виробу при даному варіанті, без урахування деталей кріплення.

Кращим буде той варіант, який забезпечить більший коефіцієнт спадковості Кс та менший коефіцієнт повторюваності Кп.

6. Якщо в ході дипломного проектування поставлена задача забезпечити більш ефективне використання матеріалів, то для кожного із запропонованих варіантів розраховують коефіцієнти застосування матеріалів, використання матеріалів та дефіцитності матеріалів.


Коефіцієнт застосування матеріалів Кз розраховується за форму­лою:

, (1.2.13)

де Nт-р – загальна кількість марок, типорозмірів чи типономіналів матеріалів, що використовуються в конструкції виробу для даного варіанта;

N – загальна кількість найменувань деталей та вузлів в конструкції виробу для даного варіанта.

Кращим буде той варіант, якому відповідає менший коефіцієнт застосування матеріалів Кз. Варіант, коли Кз = 1 є найгіршим варіан­том, бо це означає, що кожне найменування деталі вимагає викорис­тання іншого різновиду матеріалу.

Коефіцієнт використання матеріалів Кв розраховується за форму­лою:

, (1.2.14)

де Мг – сумарна маса готових деталей, які складають виріб, для даного варіанта;

М – сумарна маса заготівок, із яких виробляються ці деталі, для даного варіанта.

Кращим буде той варіант, де коефіцієнт використання матеріалів Кв буде більшим. Причому, чим ближче цей коефіцієнт до 1, тим технологічнішою буде конструкція виробу.

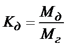
Коефіцієнт дефіцитності матеріалів Кд розраховується за форму­лою:

, (1.2.15)

де Мд – маса дефіцитних матеріалів, які використовуються у конструкції виробу, для даного варіанту.

Кращим буде той варіант, де коефіцієнт дефіцитності матеріалів буде менший.

7. Якщо в ході дипломного проектування поставлена задача забезпечити більш широке застосування взаємозамінних елементів конструкції, то для кожного із запропонованих варіантів розраховують коефіцієнти геометричної взаємозамін­ності та фізичної взаємозамінності.

Коефіцієнт геометричної взаємозамінності Кг розраховують за формулою:

, (1.2.16)

де Тпр – трудомісткість налагоджувальних (наприклад, слюсар­них) робіт на один виріб для даного варіанта, нормо-годин;

Тскл – трудомісткість складання, монтажу та налагодження виробу для даного варіанта, нормо-годин.

Коефіцієнт фізичної взаємозамінності Кф розраховують за фор­мулою:

, (1.2.17)

де Тр – трудомісткість регулювання виробу для даного варіанта, нормо-год.

Кращим буде той варіант, де коефіцієнти геометричної та фізичної взаємозамінності Кг та Кф будуть меншими.

 







Date: 2015-07-24; view: 682; Нарушение авторских прав



mydocx.ru - 2015-2026 year. (1.057 sec.) Все материалы представленные на сайте исключительно с целью ознакомления читателями и не преследуют коммерческих целей или нарушение авторских прав - Пожаловаться на публикацию