Главная Случайная страница


Полезное:

Как сделать разговор полезным и приятным Как сделать объемную звезду своими руками Как сделать то, что делать не хочется? Как сделать погремушку Как сделать так чтобы женщины сами знакомились с вами Как сделать идею коммерческой Как сделать хорошую растяжку ног? Как сделать наш разум здоровым? Как сделать, чтобы люди обманывали меньше Вопрос 4. Как сделать так, чтобы вас уважали и ценили? Как сделать лучше себе и другим людям Как сделать свидание интересным?


Категории:

АрхитектураАстрономияБиологияГеографияГеологияИнформатикаИскусствоИсторияКулинарияКультураМаркетингМатематикаМедицинаМенеджментОхрана трудаПравоПроизводствоПсихологияРелигияСоциологияСпортТехникаФизикаФилософияХимияЭкологияЭкономикаЭлектроника






Зміст економічної частини науково-дослідного дипломного проекту





В цьому випадку в економічній частині студент повинен:

а) скласти кошторис витрат на проведення науково-дослідної чи дослідно-конструкторської роботи – В. Методика розрахунків наведена в додатку Г. При складанні кошторису потрібно ураховувати тільки ті витрати, які характерні для проведення науково-дослідної роботи;

б) визначити ефективність отриманих в результаті виконання науково-дослідної роботи результатів.

Економічна ефективність науково-дослідної роботи базується на визначенні таких видів ефектів:

- науково-технічного, який визначає науково-технічну корисність отриманих наукових результатів. Показниками такого ефекту можуть бути: обсяги накопиченої інформації (тобто, опубліковані монографії, статті, наукові доповіді тощо); визнання НДР, яке характеризується от­риманими патентами, дипломами, преміями, посиланнями на резуль­тати досліджень в наукових виданнях тощо; підвищення кваліфікації кадрів, наприклад, кількість захищених докторських, кандидатських, магістерських дисертацій; покращення виробничих і експлуатаційних показників техніки, при виробництві якої будуть впроваджені отрима­ні результати: наприклад, зниження матеріаломісткості, енергомісткості, підвищення надійності, точності, безвідмовності тощо;

- організаційно-виробничого, який покращує виробничі показ­ники праці (наприклад, підвищення продуктивності праці, зниження трудомісткості), скорочення виробничого циклу, підвищення рівня автоматизації та механізації виробничих процесів, скорочення втрат робочого часу тощо;

- соціального, який передбачає покращення умов праці, техніки безпеки, захист навколишнього середовища, впровадження прогресивних технологій в навчання, медицину, освіту, спорт тощо;

- економічного, який виявляється в економії матеріальних, трудо­вих та фінансових ресурсів і вимірюється в грошових одиницях.

Розрахунок економічного ефекту – складна задача, тому що прогнозовані результати НДР практично завжди носять ймовірносний характер. До того ж самі результати оцінюються відносними показниками, балами тощо. Тому в дипломних роботах розрахунок економічної ефективності НДР можна замінити оцінкою внеску дипломника в досягнення сукупного економічного ефекту від розробки і впровадження результатів НДР.

Для цього спочатку потрібно визначити коефіцієнт наукової зна­чимості отриманих результатів НДР, а потім підрахувати внесок дипломника в досягнення цих результатів.

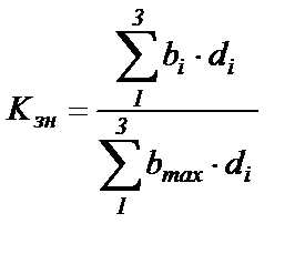
Коефіцієнт наукової значимості результатів проведеної науково-дослідної роботи Кзн можна підрахувати за формулою:

, (1.1.1)

де bi – значимість отриманих результатів:

b1 – ступінь наукової новизни,

b2 – рівень теоретичної обґрунтованості,

bз – ступінь експери­ментальної перевірки результатів. Бальна оцінка отриманих результатів наведена в таблиці 3.2.

Таблиця 1.1 – Показники для оцінювання наукової значимості результатів виконаної НДР.

Характеристики Пито­ма ва­га характеристик di Бальна оцінка характеристик
Ступінь новизни b1 Рівень теоретичної обґрунтованості b3 Ступінь експери­ментальної пере­вірки результатів b3
  3...5 7...10
b1 0,500 Часткове удосконалення виробів, технологій, мате­ріалів, програмно­го продукту тощо Суттєве удосконален­ня виробів, техноло­гій, матеріалів, програмного продукту тощо Нові напрямки в розробці виробів, технологій, матері­алів, програмного продукту тощо. Створення принципово нової техніки
b2 0,333 Позитивне рішення на основі зроб­лених узагальнень Установлення залежностей, які використовувались в інших випадках Відкриття нових шляхів рішення за­дачі
bз 0,167 Експериментальна перевірка не робилась Результати перевірялись на невеликій кількості даних Результати перевірені на великій кількості даних

 

Максимальне значення отриманих за кожною характеристикою результатів можна прийняти в межах 7... 10 балів;

di – питома вага кожної характеристики, значення якої наведені в таблиці 1;

3 – кількість характеристик, за якими була зроблена оцінка результатів науково-дослідної роботи.

Внесок дипломника в досягнення отриманих результатів НДР можна розрахувати за формулою:

, (1.1.2)

де kтві – коефіцієнт творчої участі кожного виконавця НДР, який оцінюється таким чином: проведення досліджень – 3 бали, робоче проектування – 1,5 бали, освоєння – 1,0 балів. Якщо виконавець приймав участь в декількох видах робіт, то береться сума відповідних балів;

Зі – заробітна плата кожного виконавця НДР, грн.;


n – кількість всіх виконавців науково-дослідної роботи: наукові керівники, відповідальні виконавці, спеціалісти, наукові співробітники, робітники різних професій тощо.

Обґрунтування доцільності виконання науково-дослідної роботи НДР часто базується на експертних оцінках і тому носить імовірнісний характер, що ускладнює процес самих обґрунтувань. Разом з тим, в процесі обґрунтування дипломник може зосередити свою увагу на таких моментах:

- по-перше, описати можливі ефекти від проведення НДР та впровадження її результатів. Наголос можна зробити на науково-технічному значенні отриманих результатів, на соціальних наслідках впровадження результатів НДР, на можливій економії матеріальних та трудових ресурсів, на підвищенні організаційно-технічного рівня виробництва тощо;

- по-друге, використати для обґрунтування доцільності виконання НДР спеціальний комплексний показник, що враховує важливість, результативність роботи, можливість впровадження її результатів у виробництво, величину витрат на роботу тощо.

Комплексний показник Кр рівня НДР може бути розрахований за формулою:

, (1.1.3)

де І – коефіцієнт важливості роботи, І = 2...5;

n – коефіцієнт використання результатів роботи;

n = 0, якщо результати роботи не будуть використовуватись;

n = 1, якщо результати будуть використовуватись частково;

n = 2, коли результати роботи будуть використовуватись в дослідно-конструкторських розробках;

n = 3, коли результати можуть використовуватись навіть без проведення дослідно-конструкторських розробок;

Тс – коефіцієнт складності роботи, Тс = 1...3;

К – коефіцієнт результативності роботи;

якщо результати робо­ти плануються вище відомих, то К=4; якщо результати роботи відповідають відомому рівню, то К=3; якщо нижче відомих результатів, то К=2; якщо результат роботи не визначений, то К=1;

В – вартість НДР, тис.грн.;

t – час проведення досліджень, років.

Визначення показників І, n, Тс, К, В, t здійснюється експертним шляхом або на основі нормативів.

Якщо Кр = 1, то науково-дослідну роботу можна вважати ефек­тивною з високим науковим, технічним та економічним рівнем.







Date: 2015-07-24; view: 535; Нарушение авторских прав



mydocx.ru - 2015-2026 year. (0.566 sec.) Все материалы представленные на сайте исключительно с целью ознакомления читателями и не преследуют коммерческих целей или нарушение авторских прав - Пожаловаться на публикацию