Главная Случайная страница


Полезное:

Как сделать разговор полезным и приятным Как сделать объемную звезду своими руками Как сделать то, что делать не хочется? Как сделать погремушку Как сделать так чтобы женщины сами знакомились с вами Как сделать идею коммерческой Как сделать хорошую растяжку ног? Как сделать наш разум здоровым? Как сделать, чтобы люди обманывали меньше Вопрос 4. Как сделать так, чтобы вас уважали и ценили? Как сделать лучше себе и другим людям Как сделать свидание интересным?


Категории:

АрхитектураАстрономияБиологияГеографияГеологияИнформатикаИскусствоИсторияКулинарияКультураМаркетингМатематикаМедицинаМенеджментОхрана трудаПравоПроизводствоПсихологияРелигияСоциологияСпортТехникаФизикаФилософияХимияЭкологияЭкономикаЭлектроника






Розрахунок умовного обсягу робіт при використанні програмного продукту





 

Для визначення умовного обсягу робіт Q2 при використанні но­вого програмного продукту потрібно знати час виконання конкретної функції (роботи) в умовах, коли буде використовуватись новий програмний продукт.

Для визначення умовного обсягу робіт Q1 без використання про­грамного продукту (або при використання існуючого програмного продукту) потрібно знати час виконання конкретної функції (роботи) при умові, що програмний продукт не буде застосовуватись (або при використанні відомого програмного продукту).

Тоді умовні обсяги робіт Р можна розрахувати за формулами:

та ,умов. од. (В.1)

де Q1 – умовний обсяг робіт при застосуванні існуючого програ­много продукту (або без його використання), умовних одиниць, штук тощо;

Q2 – умовний обсяг робіт при застосуванні нового програмного продукту, умовних одиниць, штук тощо;

F – ефективний фонд часу роботи за рік (для однозмінної роботи F = 1700...1800 годин, для двозмінної роботи Р = 3500...3600 годин);

– частка часу, який витрачає працівник на виконання конкретних робіт з застосуванням даного програмного продукту в загальному часі своєї роботи;

t1 та t2 час виконання конкретної функції або роботи при застосуванні відповідно існуючого та нового програмного продукту, хвилин.

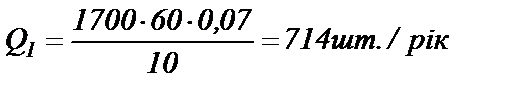
Наприклад, при застосуванні нового програмного продукту певна функція "А" здійснюється за 2 хв. (t2) замість 10 хв. (t1), що мало мі­сце до застосування цього програмного продукту. Домовимося також, що витрати часу оператора на виконання саме цієї функції складають 7% від загального часу роботи.

Тоді для однозмінної роботи показники Р становлять:

,

.

Тобто, впровадження нового програмного продукту підвищує продуктивність при виконанні певної роботи в 3570/714 = 5 разів.

Примітка. За умовний обсяг роботи можна прийняти кількість функцій, які виконуються за допомогою використання існуючого або нового програмного продукту.








Date: 2015-07-24; view: 572; Нарушение авторских прав



mydocx.ru - 2015-2026 year. (0.846 sec.) Все материалы представленные на сайте исключительно с целью ознакомления читателями и не преследуют коммерческих целей или нарушение авторских прав - Пожаловаться на публикацию