Главная Случайная страница


Полезное:

Как сделать разговор полезным и приятным Как сделать объемную звезду своими руками Как сделать то, что делать не хочется? Как сделать погремушку Как сделать так чтобы женщины сами знакомились с вами Как сделать идею коммерческой Как сделать хорошую растяжку ног? Как сделать наш разум здоровым? Как сделать, чтобы люди обманывали меньше Вопрос 4. Как сделать так, чтобы вас уважали и ценили? Как сделать лучше себе и другим людям Как сделать свидание интересным?


Категории:

АрхитектураАстрономияБиологияГеографияГеологияИнформатикаИскусствоИсторияКулинарияКультураМаркетингМатематикаМедицинаМенеджментОхрана трудаПравоПроизводствоПсихологияРелигияСоциологияСпортТехникаФизикаФилософияХимияЭкологияЭкономикаЭлектроника






где R-радиус резервуара;





φ- коэффициент, зависящий от условия закрепления днища резервуара по контуру (φ=0,5-0,75).

Изгибающий момент возникающий от собственного веса оболочки (на единицу длины оболочки)

,

где δ- толщина стенки резервуара,

плотность стали, кг/м3.

Изм.
Лист
№ докум.
Подпись
Дата
Лист
55  
ДП 130501.65.10.1.02 ПЗ  
Максимальные значения моментов М1, М2 будут при т.е. по концам горизонтального диаметра

Момент сопротивления определяется по формуле

Расчетное напряжение на изгиб

Подземные резервуары подвержены не только внутреннему давлению от нефтепродукта, но и наружному давлению грунта и действию вакуума.

Грунт сдавливает оболочку резервуара неравномерно. Вертикальное давление грунта

а горизонтальное

ar w:top="1134" w:right="850" w:bottom="1134" w:left="1701" w:header="720" w:footer="720" w:gutter="0"/><w:cols w:space="720"/></w:sectPr></w:body></w:wordDocument>">

Изм.
Лист
№ докум.
Подпись
Дата
Лист
56  
ДП 130501.65.10.1.02 ПЗ  
где плотность грунта;

h- расстояние от поверхности земли до рассматриваемой точки;

α –угол внутреннего трения грунта.

Для практических расчетов эллиптическую эпюру давления грунта заменяют круговой с постоянной интенсивностью давления (рисунок 13).

Рисунок 13 – Эпюра давлений грунта на горизонтальный резервуар

 

Величина изгибающего момента (на единицу длину оболочки) от давления грунта определяется по формуле

 

Изм.
Лист
№ докум.
Подпись
Дата
Лист
57  
ДП 130501.65.10.1.02 ПЗ  

где -глубина заложения оси резервуара в грунт;

R- радиус оболочки резервуара.

Как указывалось выше, оболочка под влиянием внешнего давления может потерять свою форму. Это может произойти еще задолго до того, как напряжения в ней достигнуть расчетных значений. Поэтому оболочку подземного резервуара необходимо всегда проверять на устойчивость цилиндрической формы в радиальном направлении по формуле

где Е-модуль упругости;

l- расстояние между ребрами жесткости резервуара, l=1,5D.

Для устойчивости формы резервуара внешнее давление грунта должно быть меньше на величину коэффициента запаса устойчивости n, равную

Условие выполняется.

2.5 Расчет днища резервуара на прочность

Вместимость резервуара V=40м3;

Диаметр резервуара D=2,5м;

Избыточное давление

Давление вакуума

Толщина днища

Резервуар выполнен из стали с кН/см2.

 

Изм.
Лист
№ докум.
Подпись
Дата
Лист
58  
ДП 130501.65.10.1.02 ПЗ  
При расчете на прочность будем учитывать избыточное и гидростатическое давления жидкости (бензин) =740 кг/м3. Примем угол между образующей и его осью (рисунок 14) β=60С°.

 

Рисунок 14 –Воздействие на коническое днище.

Изм.
Лист
№ докум.
Подпись
Дата
Лист
59  
ДП 130501.65.10.1.02 ПЗ  
Суммарное гидростатическое и избыточное давление на уровне центра днища

Проверим на прочность днище

,

т.о. ,

 

значит прочность днища достаточна.

Проверка днища на устойчивость по формуле

=

,

устойчивость днища обеспечена.

2

Изм.
Лист
№ докум.
Подпись
Дата
Лист
 
ДП 130501.65.10.1.02 ПЗ  
ЭКОНОМИЧЕСКАЯ ЧАСТЬ

Долгосрочные инвестиции в промышленное производство и транспорт составляют основу развития экономики любой отрасли. Особенно важен этот фактор для развития нефтегазодобывающей промышленности и трубопроводного транспорта, требующих значительных сумм капиталовложений.

Методика оценки экономической эффективности инвестиций – один из важнейших вопросов. Основное внимание в данной работе уделяется оценке эффективности инвестиций на предприятиях нефтеперерабатывающей промышленности.

 

3.1 Методика оценки экономической эффективности инвестиционных проектов

Инвестиции – средства (денежные средства, ценные бумаги, иное имущество, в том числе имущественные права, имеющие денежную оценку),

Вкладываемые в объекты предпринимательской и (или) иной деятельности с целью получения прибыли и (или) достижения иного полезного эффекта.


Различаются:

– капиталообразующие (реальные) инвестиции (real investment), обеспечивающие создание и воспроизводство фондов; состоят из капитальных вложений, оборотного капитала, а также иных средств, необходимых для проекта;

– портфельные инвестиции (portfolio investment) – помещение средств в финансовые активы.

Капитальные вложения – инвестиции в основной капитал (основные средства), в том числе затраты на новое строительство, расширение, реконструкцию и техническое перевооружение действующих предприятий, приобретение машин, оборудования, инструмента, инвентаря, проектно-изыскательские работы и другие затраты.

Изм.
Лист
№ докум.
Подпись
Дата
Лист
 
ДП 130501.65.10.01.02 ПЗ  
Проект – комплекс действий (работ, услуг, приобретений, управленческих операций решений), направленных на достижение сформулированной цели.

Инвестиционный проект (ИП) – обоснование экономической целесообразности, объема и сроков осуществления капитальных вложений, в том числе необходимая проектно-сметная документация, разработанная в соответствии с законодательством РФ и утвержденными в установленном порядке стандартами (нормами и правилами), а также описанием практических действий по осуществлению инвестиций (бизнес-план).

Эффективность инвестиционного проекта характеризуется системой показателей, отражающих соотношение затрат и результатов применительно к интересам его участников.

Необходимо различать понятия: экономическая эффективность (efficiency) и экономический эффект (effect).

Под экономическим эффектом в общем случае понимается величина экономии затрат в рублях в результате осуществления какого-либо мероприятия или их совокупности. В традиционных технико-экономических расчетах чаще всего используется величина годового экономического эффекта, т.е. экономии средств за год. Под экономической эффективностью понимается относительная величина, получаемая в результате сопоставления экономического эффекта с затратами, вызвавшими этот эффект. Причем это может быть простое отношение эффекта к соответствующим затратам (efficiency ratio) и более сложные отношения.

Анализ эффективности ИП основывается на моделировании денежных потоков (cash flow), складывающихся в течение всего срока жизни проекта. Денежный поток (поток реальных денег) складывается из всех притоков и оттоков денежных средств в некоторый момент времени (или на некотором шаге расчета).

Приток денежных средств равен величине денежных поступлений (результатов в стоимостном выражении) на соответствующем шаге.

Изм.
Лист
№ докум.
Подпись
Дата
Лист
61  
 
Отток равен платежам (затратам) на этом шаге.

Изм.
Лист
№ докум.
Подпись
Дата
Лист
62  
ДП 130501.65.10.1.02 ПЗ  
Срок жизни проекта (расчетный период) должен охватывать весь жизненный цикл разработки и реализации проекта вплоть до его прекращения. Срок жизни проекта включает в себя следующие основные стадии (этапы):

– инвестиционную;

– эксплуатационную;

– ликвидационную.

 

3.1.1 Показатели эффективности инвестиционных проектов


Для оценки экономической эффективности инвестиционных проектов могут использоваться следующие критерии:

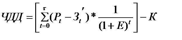
– чистый дисконтированный доход (ЧДД);

– индекс доходности (ИД);

– внутренняя норма доходности (ВНД);

– срок окупаемости с учетом фактора времени (дисконтирования).

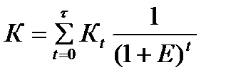
Чистый дисконтированный доход определяется как сумма следующего вида:

(1)

или

,

где – шаги расчета;

– стоимостная оценка результата реализации проекта (приток денежных средств);

– стоимостная оценка затрат, включая капитальные вложения (отток денежных средств);

– срок жизни проекта (расчетный период);

– ставка (норма) дисконта;

– поток реальных денег для проекта в целом или отдельного его участника;

 

– коэффициент дисконтирования в момент времени .

Изм.
Лист
№ докум.
Подпись
Дата
Лист
63  
ДП 130501.65.10.1.02 ПЗ  
Расчетный период разбивается на шаги, в пределах которых производится агрегирование данных, используемых для оценки финансовых показателей. Шаги расчета определяются их номерами (0,1…). Время в расчетном периоде измеряется в годах или долях года и отсчитывается от фиксированного момента, принимаемого за базовый (обычно в качестве базового принимается момент начала или конца нулевого шага).

Норма дисконта (привидения) отражает возможную стоимость капитала, соответствующую возможной прибыли инвестора, которую он мог получить на туже сумму капитала, вкладывая его в другом месте, при допущении, финансовые риски одинаковы для обоих вариантов инвестирования. Другими словами, норма дисконта должна являться минимальной нормой прибыли, ниже которой предприниматель счел бы инвестиции невыгодными для себя.

Для инвестиционного проекта в качестве нормы дисконта иногда используется ставка процента, которая уплачивается получателем ссуды.

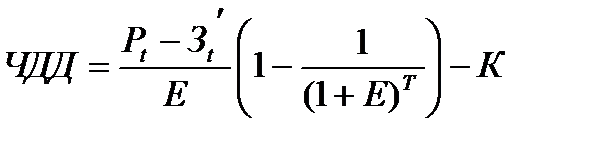
Если из состава затрат исключить капитальные вложения (инвестиции) , то формула (1) примет следующий вид:

,

где – затраты на t-м шаге без учета капитальных вложений;

– дисконтированные капитальные вложения, определяемые по формуле:

(2)

Если разница между стоимостными оценками результатов и затрат постоянна в течение всего срока жизни проекта , то формула (2) может быть преобразована в следующий вид:

Изм.
Лист
№ докум.
Подпись
Дата
Лист
64  
ДП 130501.65.10.1.02 ПЗ  
В данном случае величина получена как сумма членов геометрической прогрессии.

Значения коэффициентов и можно получить из специальных таблиц дисконтированных величин.

Величину можно представить в виде

,

где – выручка от реализации продукции (услуг) на t-м шаге;

– амортизационные отчисления выплаты из прибыли на t-м шаге.

В свою очередь:

,

где – прибыль до налогообложения на t-м шаге.

Следовательно:


,

где – чистая прибыль на t-м шаге.

Если рассчитанный ЧДД положителен, то прибыль инвестиций выше нормы дисконта и проект следует принять. Если ЧДД равен нулю, то прибыльность равна норме дисконта. Если ЧДД меньше нуля, то прибыльность инвестиций ниже нормы дисконта и от проекта следует отказаться.

При сравнении альтернативных проектов предпочтение должно отдаваться проекту с большим значением ЧДД.

Индекс доходности (ИД) определяется как отношение суммы дисконтированных эффектов к сумме дисконтированных капитальных вложений:

или

.

Изм.
Лист
№ докум.
Подпись
Дата
Лист
65  
ДП 130501.65.10.1.02 ПЗ  
Индекс доходности тесно связан с ЧДД. Если ЧДД положителен, то ИД >1. Если ЧДД отрицателен, то ИД <1. Если ИД>1, то проект эффективен; если ИД <1 – неэффективен.

Внутренней нормой доходности (ВНД) называется такое положительное число , что при норме дисконта чистый дисконтированный доход проекта обращается в 0, при всех больших значениях Е – отрицателен, при всех меньших значениях Е – положителен. Если не выполнено хотя бы одно из этих условий, считается, что ВНД не существует.

Экономический смысл показателя ВНД состоит в том, что он показывает максимальную ставку платы за инвестиции, при которой они остаются безубыточными. Таким образом, ВНД может трактоваться как нижний гарантированный уровень прибыльности инвестиционных затрат.

ВНД определяется из уравнения, которое можно записать в виде:

.

Для оценки эффективности ИП значение ВНД необходимо сопоставлять с нормой дисконта Е. Инвестиционные проекты у которых ВНД >Е, имеют отрицательный ЧДД и поэтому неэффективны.

Сроком окупаемости с учетом дисконтирования называется продолжительность периода от начального момента до момента окупаемости. Моментом окупаемости с учетом дисконтирования называется тот наиболее ранний момент времени в расчетном периоде, после которого текущий ЧДД становится и в дальнейшем остается неотрицательным (иными словами, результаты реализации проекта превышают первоначальные капитальные вложения и другие затраты).

При определении срока окупаемости с учетом дисконтирования


Изм.
Лист
№ докум.
Подпись
Дата
Лист
66  
ДП 130501.65.10.1.02 ПЗ  
используется следующая формула:

Расчет срока окупаемости можно проводить графически.

Применение программного продукта Microsoft Excel 5.0a (русифицированная версия) позволяет автоматизировать расчет показателей ЧДД, ВНД, срок окупаемости. С этой целью используются встроенные в Ms Excel стандартные финансовые функции. При этом в качестве аргументов при проведении расчетов вводятся значения денежных потоков .

Любой инвестиционный проект должен оцениваться не изолированно, а рассматриваться с учетом его связей с другими проектами и текущей деятельностью предприятия. В простейшем случае, когда предприятие пытается реализовать только один новый инвестиционный проект, необходимо рассмотреть, по меньшей мере, две альтернативные возможности:

1) реализация проекта (ситуация «с проектом»)

2) отказ от реализации проекта (ситуация «без проекта»).

Приближенным методом оценки ИП на действующем предприятии является так называемый приростный метод. В этом случае в качестве выручки от реализации продукции, себестоимости и других показателей проекта принимается изменение соответствующих показателей по предприятию в целом, обусловленное реализацией проекта.

Для расчета денежных потоков проекта могут использоваться различные виды цен: базисные, прогнозные, мировые.

Расчет стоимости и объем строительно-монтажных работ определяем с учетом коэффициентов на проектные и изыскательные работы для строительства каждого объекта АЗС (таблица 7).

 

 

Изм.
Лист
№ докум.
Подпись
Дата
Лист
67  
ДП 130501.65.10.1.02 ПЗ  
Таблица 7- Расчет стоимости строительно-монтажных работ на АЗС

Характеристика предприятия, здания, сооружения Коэффициенты на проектные и изыскательные работы для строительства Расчет стоимости (объем строительно-монтажных работ),% Стиоимость, руб.
  АЗС для обслуживания автотранспорта, пропускная способность 93 авт/час (с магазином) К=0,88 на РП К=2,08 индекс цен ОАО «ТН» 9953,60  
  Разработка эскизного проекта К=0,15 К=0,4   57216,10
  Автомобильная газозаправочная станция производительностью 200 заправок в сутки К=1,25 К=0,45 К=2,06 индекс цен ОАО «ТН» 136578,78
  Автономный источник тепла производительностью 0,05 мВт К=1,25 К=0,25привязка К=0,2 на объем работ К=2,08 индекс цен ОАО «ТН» 31622,89
  Расчет токов короткого замыкания электросетей К-0,5 на РП К=2,08 индекс цен ОАО «ТН» 832,00
  Воздушная линия напряжения 3-20кВ, длиной от 0,015 до1км К=1,13 на РП К=16,00 индекс цен ОАО «ТН» 4194,56
  Трансформаторная подстанция (КТП) напряжением 6-20 кВ К=1,105 на РП К=16,00 индекс цен ОАО «ТН» 12658,88    
  Воздушная линия напряжения до 1 кВ К=1,14 на РП К=16,00 индекс цен ОАО «ТН» 2845,44
  Кабельная линия телефонной связи в проектируемой одноотверстной кабельной канализации К=0,79 на РП К=1,1 К=16,00 индекс цен ОАО «ТН»   4838,59

 

 

Изм.
Лист
№ докум.
Подпись
Дата
Лист
68  
ДП 130501.65.10.1.02 ПЗ  
Продолжение таблицы 7

  Переход кабельной линии связи под автомобильной дорогой способом прокола К=1,25 К=0,2 К=2,08 индекс цен ОАО «ТН» 10140,00
  Две кабельные вставки на ВЛ-10кВ К=1,13 на РП К=16,00 индекс цен ОАО «ТН» 1048,64
  Переход кабельной линии 10 кВ под автомобильной дорогой способом прокола К=0,7 К=0,2 на объем работ К=2,08 индекс цен ОАО «ТН» 10140,00
  Водопровод при подземной прокладке К=0,7 К=0,5 на объем работ К=2,08 индекс цен ОАО «ТН» 50566,88
  Два перехода под автомобильной дорогой способом прокола К=1,25 К=0,2 на объем работ К=2,08 индекс цен ОАО «ТН» 20280,00
  Разработка раздела «Перечень мероприятий по охране окружающей среды» договорная   32000,00
  Разработка раздела «Мероприятий по обеспечению пожарной безопасности» договорная   25000,00
      Итого 1353564,66
  НДС 18% 243641,62
  Итого по смете     1597206,17

 

Изм.
Лист
№ докум.
Подпись
Дата
Лист
69  
ДП 130501.65.10.1.02 ПЗ  
4 БЕЗОПАСНОСТЬ И ЭКОЛОГИЧНОСТЬ ПРОЕКТА

 

4.1 Общие сведения о проектируемом объекте

Автозаправочная станция предназначена для заправки легкового и грузового автотранспорта шестью видами жидкого моторного топлива: Аи-95, Аи-92, Аи-80 и ДТ, ДТ-Евро, ДТ (зимнее), а также сжиженным углеводородным газом. Завоз топлива осуществляется автомобильным транспортом (бензовозами и газовозами) объемом секций до 9 м3.

В целях экологической безопасности все объекты МАЗС расположены на отдельных площадках.

Для исключения выбросов паровоздушной смеси топлива в атмосферу при сливных операциях применена линия рециркуляции паров по схеме «резервуар – автоцистерна» и линия возврата паров «бензобак – резервуар».

Для сбора возможных проливов при топлива из автоцистерны предусмотрена аварийная емкость V=10м3 с соответствующим оборудованием.

Проектом предусмотрен замкнутый трубопровод рециркуляции паров жидкого моторного топлива по схемам «Резервуар – АЦ», «ТРК – Резервуар», максимально исключающий загазованность АЗС, а также система деаэрации паров топлива и аварийного резервуаров сведенная в вентиляционную группу, расположенную на отдельной площадке. Трубопроводы деаэрации выведены на 4,5м над уровнем площадки, оборудованы дыхательными клапанами с огневым предохранителем и запорной арматурой, которая закрыта в режиме заправки автомобилей и открыта на соответствующей линии во время слива топлива из автоцистерны. Данная система является системой закольцовки паров бензина.

Также предусмотрена система закольцовки паров сжиженного углеводородного газа.

Рельеф местности спокойный ровный. Абсолютные отметки колеблются от 324,11 до 325,17м. Организация рельефа площадкирешена методомпроектных горизонталей с учетом стока поверхностных вод, расположения внутриплощадочных проездов и типа покрытия.

Технологические трубопроводы прокладываются подземно.

Наружное пожаротушение автозаправочного комплекса в количестве 14,2л/сек предусматривается: передвижной пожарной техникой от четырех пожарных резервуаров общей емкостью 200м3, а также при помощи первичных средств пожаротушения, расположенных у мест заправок. Также проектом предусмотрено устройство системы водяного орошения площадки автоцистерны СУГ.

Хозяйственно-бытовые стоки самотеком отводятся в проектируемый выгреб V=5м3, расположенный на территории АЗС, с последующим вывозом на действующие очистные сооружения района.

Атмосферные осадки с территории АЗС отводятся по подземной сети в резервуар – сборник V=25м3 с последующей очисткой в локальной очистной установке сточных вод «БЛИК -2К». После очистки поверхностные воды поступают в резервуар – сборник V=10м3, для использования поливов территории.

4.2 Промышленная безопасность

4.2.1Санитарно-защитные мероприятия

Безопасная эксплуатация объектов, сооружений и оборудования АЗС обеспечивается выполнением требований межотраслевых правил по охране труда при эксплуатации нефтебаз, складов ГСМ, стационарных и передвижных автозаправочных станций, в строгом соответствии с «Правилами технической эксплуатации автозаправочных станций (АЗС)» и законодательств по охране труда при эксплуатации предприятий нефтепродуктообеспечения.

Общее руководство работой по охране труда возлагается на руководителя организации. При организации работ по охране труда на АЗС

Изм.
Лист
№ докум.
Подпись
Дата
Лист
70  
ДП 130501.65.10.1.02 ПЗ  
следует учитывать опасные свойства нефтепродуктов: испаряемость, токсичность, способность электризоваться, высокая взрывопожароопасность.

 

 

Изм.
Лист
№ докум.
Подпись
Дата
Лист
71  
ДП 130501.65.10.1.02 ПЗ  
4.2.2 Опасные свойства бензина

Бензин относится к легковоспламеняющимся жидкостям (ЛВЖ) и представляет собой прозрачный летучий нефтепродукт с характерным запахом. Скорость распространения пламени по поверхности зеркала бензина при обычных условиях составляет от 10 до 15 м/с. ПДК – 100мг/м3.

Человек с нормальным обонянием ощущает запах паров бензина при концентрациях их в воздухе около 400 мг/м3. Легкое отравление парами бензина может наступить после 5-10 мин. пребывания человека в атмосфере с концентрацией паров бензина в пределах от 900 до 3612 мг/м3. При отравлении парами бензина появляются головная боль, головокружение, сердцебиение, психическое возбуждение, беспричинная вялость, мышечные судороги, кашель, раздражение слизистых оболочек носа, глаз. Кроме того, первыми признаками острого отравления парами бензина являются понижение температуры тела, замедление пульса и другие симптомы.

При концентрации паров бензина в воздухе свыше 2,2% (30г/м3) после 10-12 вдохов человек теряет сознание; свыше 3% (40г/м3) происходит молниеносное отравление (2-3 вдоха) - быстрая потеря сознания и смерть.

С повышением температуры бензина или окружающей среды сила токсического воздействия бензина резко повышается. При воздействии на кожу бензин может вызвать кожные заболевания – дерматиты и экземы. Бензин не накапливается в организме, но ядовитые вещества, растворенные в нем (тетраэтилсвинец), остаются в организме.

 

4.2.3 Оказание первой помощи при отравлении парами бензина

При отравлении парами бензинов пострадавшего необходимо вынести на свежий воздух, освободить от стесняющей одежды, растереть конечности для улучшения циркуляции крови, напоить крепким кофе или чаем. В холодное время года важно согреть пострадавшего. При попадании бензина через рот следует промыть желудок 1,5-2л воды с 1-ой ст. ложкой питьевой соды, вызвать рвоту. В тяжелых случаях необходимо вызвать врача, до его прибытия обеспечить вдыхание кислорода, паров нашатырного спирта, при необходимости провести искусственное дыхание.

 

4.2.4 Меры безопасности при работе с дизельным топливом

Меры предосторожности при работе с дизельным топливом такие же, как и при работе с бензином. При загорании топлива следует применять распыленную воду, пену углекислый газ, перегретый пар. При попадании на кожу дизтопливо следует смывать теплой водой с мылом.

 

4.2.5 Охрана труда и техника безопасности

Все работники и специалисты, поступающие на АЗС, допускаются к самостоятельной работе после прохождения вводного инструктажа по охране труда, обучения, стажировки на рабочем месте и последующей проверки полученных знаний специальной квалификационной комиссией.

Работники, допущенные к самостоятельной работе, проходят повторный периодический инструктаж по правилам охраны труда и техники безопасности. Повторный инструктаж и обучение для работников АЗС проводится ежеквартально, а для специалистов – не реже одного раза в полугодие. По окончании обучения работники должны сдать экзамены на знание правил техники безопасности, инструкций по эксплуатации оборудования, пожарной безопасности и электробезопасности в рамках выполнения своих служебных обязанностей. Лица, не достигшие 18 лет, и беременные женщины к обслуживанию АЗС по основному производству не допускаются.

В помещении операторной на видном месте должны быть вывешены технологическая схема всех инженерных коммуникаций АЗС и плакаты по

Изм.
Лист
№ докум.
Подпись
Дата
Лист
72  
ДП 130501.65.10.1.02 ПЗ  
безопасному ведению работ. Все работники обеспечиваются инструкциями по охране труда, утвержденными в установленном порядке, а также средствами индивидуальной защиты, спецодеждой, спецобувью согласно установленным перечням и нормам. Весь персонал обучается способам оказания первой помощи пострадавшим при несчастных случаях.

Для выполнения положений, предусмотренных действующими нормативными документами, проектом предлагаются следующие мероприятия по охране труда и технике безопасности:

- размещение оборудования выполнено в строгом соответствии с действующими нормами технологического проектирования, с соблюдением нормативных расстояний между оборудованием, зданиями и сооружениями;

- слив топлива в подземные резервуары герметизирован, с исключением падающей струи, осуществляется через сливные муфты с быстросъемными заглушками в присутствии заправщика и оператора АЗС при наличии заземления АЦ и с выключенным двигателем АЦ;

- управление колонками осуществляется дистанционно из помещения операторной АЗС;

- ТРК оборудованы устройствами автоматического отключения при полном баке автомобиля клиента и предохранительными расцепителями;

- для исключения движения огня по трубопроводам все технологические узлы и модули обеспечены огнепреградителями, быстродействующими на закрытие предохранительными клапанами и запорной арматурой;

- электрооборудование, кабельная продукция, пусковая аппаратура приняты во взрывобезопасном исполнении;

- предусматривается защитное заземление нетоковедущих частей электрооборудования;

- оптимальные планировочные решения, размещение оборудования, конструктивные особенности зданий и сооружений предполагают рациональную организацию рабочих мест;

Изм.
Лист
№ докум.
Подпись
Дата
Лист
73  
ДП 130501.65.10.1.02 ПЗ  
- предусмотрена установка на территории АЗС необходимых дорожных, информационных и предупредительных знаков;

- скорость движения автотранспорта по территории АЗС ограничена до 5 км/час;

- в проекте предусмотрены системы пожарной и охранной сигнализации;

- освещение рабочих мест принято расчетное в соответствии с нормативными документами;

- крышки люков резервуаров и колодцев, сливные муфты, наконечники шлангов выполняются из искробезопасных материалов.

- предусмотрен непрерывный автоматический контроль за концентрацией паров бензина с подачей светового и звукового сигнала и отключением электрического питания насосов линии выдачи;

- все показатели работы технологического оборудования выведены в операторную АЗС;

- покрытие всех проездов предусмотрено бензомаслостойким из асфальтобетона, по всему периметру АЗС ограждается бордюрным камнем высотой 150мм;

- проектом предусмотрены первичные средства пожаротушения в соответствии с ППБ 01-03.

При проведении любых ремонтных работ или мероприятий по техническому обслуживанию оборудования АЗС должна временно прекратить свою работу по заправке автомобилей.

Работы по зачистке емкостей от грязи должны выполняться звеном не менее двух человек с применением противогаза и омедненного инструмента. На все виды работ должны быть разработаны инструкции, а персонал – обучен и проинструктирован с записью в специальном журнале, иметь соответствующий допуск с указанием в нем ответственного за проведение работ лица.

На территории АЗС не допускается:

- курить и пользоваться открытым огнем;

Изм.
Лист
№ докум.
Подпись
Дата
Лист
74  
ДП 130501.65.10.1.02 ПЗ  
- производить какие-либо работы, не связанные с приемом, хранением, и отпуском топлива;

- хранить в помещении легковоспламеняющиеся жидкости (ЛВЖ);

- мыть руки, стирать одежду и протирать полы помещений ЛВЖ;

- заправлять транспорт, водители которого находятся в нетрезвом состоянии;

- отпускать топливо в полиэтиленовые канистры и стеклянную тару;

- производить слив топлива двух и более АЦ одновременно.

 

4.2.6 Требования охраны труда в аварийных ситуациях

Аварийной ситуацией на АЗС следует считать:

- загорание АЗС;

- неисправность в электрооборудовании;

- утечки нефтепродукта из топливораздаточной колонки, резервуара;

- загазованность в здании и в рабочей зоне вне помещения (свыше ПДК=100 мг/м3);

- пролив и перелив при приеме нефтепродуктов.

Во всех аварийных ситуациях следует немедленно отключить общий рубильник, прекратить заправку автомашин, освободить территорию АЗС от автомобильной техники, оповестить руководство организации, вызвать аварийную бригаду, сделать соответствующие записи в журнале. При возникновении пожара необходимо вызвать пожарную команду, оповестить поставщиков нефтепродуктов, приступить к тушению пожара имеющимися средствами.

При проливе (переливе) нефтепродуктов прекратить все технологические операции, локализовать и удалить пролитый нефтепродукт, место пролива засыпать песком.

Изм.
Лист
№ докум.
Подпись
Дата
Лист
75  
ДП 130501.65.10.1.02 ПЗ  
4.2.7 Организация и условия труда работников АЗС

Технологический процесс АЗС состоит из следующих основных видов работ:

1. Прием и слив ЖМТ через сливную ванну в заглубленные резервуары и прием и слив СУГ из автоцистерны в резервуары для хранения сжиженного углеводородного газа.

2. Хранение нефтепродуктов по маркам в заглубленных резервуарах.

3. Выдача нефтепродуктов через раздаточные колонки потребителю.

4. Мойка легковых автомобилей в проектируемом помещении автомойки с соответствующим оборудованием, системой вентиляции, водоснабжения и канализации.

Все работники обеспечены санитарно-бытовыми помещениями, состав и площади которых определены из требований санитарных норм, технологии производства и с учетом пожеланий заказчика. В проектируемом здании операторной предусмотрены отдельные бытовые помещения для персонала АЗС и персонала автомойки, душевая, санузлы с умывальниками, кладовая для хранения инвентаря и помещение для посетителей.

Отопление, вентиляция, освещение рабочих мест и помещений выполнено в соответствии с нормативными документами.

Водоснабжение – централизованное от проектируемого водовода. Подогрев воды – при помощи электроводоподогревателей, отопление помещений – автономное при помощи электрического котла.

Для выполнения своих функций работники АЗС и автомойки обеспечиваются спецодеждой, спецобувью и средствами индивидуальной защиты в соответствии с действующими нормами и, при необходимости, специальными приспособлении.

На АЗС предусмотрена громкоговорящая связь. Предусмотрена также телефонная связь с основным диспетчерским пунктом, с поставщиками

Изм.
Лист
№ докум.
Подпись
Дата
Лист
76  
ДП 130501.65.10.1.02 ПЗ  
топлива, ближайшей пожарной частью и правоохранительными органами. Номера телефонов экстренного вызова должны быть указаны на планах локализации и ликвидации аварий и пожаров, вывешены на видном месте в помещении операторной АЗС.

В бытовых помещениях необходимо предусмотреть аптечки с набором необходимых медикаментов для оказания первой помощи пострадавшим.

 

 

Изм.
Лист
№ докум.
Подпись
Дата
Лист
77  
ДП 130501.65.10.1.02 ПЗ  
4.3 Мероприятия по предотвращению пожаров

Все сооружения АЗС запроектированы в соответствии с требованиями СНиП II-89-80*, НПБ 111-98* и ППБ 01-03 с соблюдением противопожарных и санитарных норм проектирования. Площадка расположена на расстоянии 5м от автодороги с твердым покрытием на которой предполагается строительство трубопровода водоснабжения Ду-300мм. Ближайший проектируемый колодец с пожарным гидрантом будет расположен на расстоянии 20 м. от въезда на проектируемую МАЗС. Проектом предлагается строительство четырех подземных емкостей V=50 м3 каждая для обеспечения АЗС запасом воды на случай пожара на период строительства централизованного водоснабжения. Проектом предусмотрено два заезда на территорию МАЗС.

4.3.1 Общие требования пожарной безопасности

К работе на АЗС должны допускаться работники только после прохождения противопожарного инструктажа по предупреждению и тушению возможных пожаров на объекте.

На АЗС приказом по подразделению должно быть назначено лицо, ответственное за пожарную безопасность объекта. На видных местах как в помещениях, так и на территории АЗС должны быть вывешены таблички с номерами телефонов пожарной охраны.

Для персонала АЗС в установленном порядке должны быть разработаны инструкции о мерах пожарной безопасности ведения любых

работ для каждого участка АЗС в соответствии с приложением 1, ППБ 01-03.

На АЗС распорядительным документом должен быть установлен противопожарный режим:

- определены и оборудованы места для курения;

- установлен порядок уборки горючих продуктов, хранения промасленной спецодежды;

 

- определен порядок обесточивания электрического оборудования по окончании рабочего дня и при пожаре;

- разработан план локализации и ликвидации пожароопасных ситуаций и пожаров на АЗС.

- определен перечень и назначение журналов регистрации, учета и сменных журналов.

Регламентированы:

- порядок проведения временных огневых и других пожароопасных работ;

- порядок осмотра и закрытия помещений после окончания работы;

- действия работников при обнаружении пожара;

- определен порядок и сроки прохождения противопожарного инструктажа и занятий по пожарно-техническому минимуму, а также назначены ответственные лица за их проведение;

 

4.3.2 Здание операторной и мойки автомобилей

Категория здания операторной и мойки легковых автомобилей в соответствии с НПБ 105-03 принята «Д», класс по ПУЭ – невзрыво- и непожароопасный. Степень огнестойкости здания – IV. Строительный объем составляет 1123 м3 < 5000м3, что позволяет не предусматривать внутренний противопожарный водовод согласно нормам и правилам[11].

Изм.
Лист
№ докум.
Подпись
Дата
Лист
78  
ДП 130501.65.10.1.02 ПЗ  
Для охраны материальных ценностей и раннего обнаружения возгорания в помещениях операторной и мойки предусмотрена система пожарной сигнализации с выводом сигналов на центральный пульт операторной, установлены звуковые и световые извещатели.

С целью локализации местных очагов пожара в соответствии с НПБ 01-03, приложение 3, таблицы 1, 2 для помещений категории «В» и «Д» и пожара класса А предусмотрены следующие типы огнетушителей:

- порошковые ОП-5, вместимостью 5л, заряд класса АВС(Е) – 2шт;

- воздушно-пенные ОВП-10, вместимостью 10л, заряд класса АВС(Е) – 2шт;

- углекислотные ОУ-5, вместимостью 5л – 2шт.

 

4.3.3 Технологическая площадка АЗС

Автозаправочная станция отнесена ко второй группе по пожарной опасности. Взрывоопасные установки проектируемой МАЗС и характеристика топлива представлены в таблице 4 и таблице 5 соответственно.

Таблица 4 – Взрывоопасные установки МАЗС

  Н а и м е н о в а н и е у с т а н о в к и Категория по НПБ-105-03 Класс по ПУЭ-2002
Топливораздаточные колонки (бензин и дизельное топливо) Ан В-1г
Резервуары для приема и хранения ЛВЖ подземные (шахты) Ан В-1г
Площадка для автоцистерн при сливе топлива, сливная ванна Ан В-1г
Дыхательные устройства Ан В-1г

 

 

Изм.
Лист
№ докум.
Подпись
Дата
Лист
79  
ДП 130501.65.10.1.02 ПЗ   КЛУШ. 073736. О34 ПЗ.    
Таблица 5 - Характеристика топлива по взрывоопасности

  №   Показатели пожаровзрывоопасности бензина   Аи-92   Аи-95   Аи-98   СУГ
  Группа горючести ЛВЖ ЛВЖ ЛВЖ ЛВЖ
  Концентрационные пределы распространения пламени, % объемные Нижний - 0,76 Верхний – 5,16 Нижний - 0,76 Верхний– 5,16 Нижний - 0,76 Верхний– 5,16 Нижний - 0,76 Верхний– 5,16

Так же проектом предусмотрены следующие противопожарные мероприятия на АЗС:

- устройство дорог с твердым покрытием, радиусы их поворота обеспечивают возможность свободной эвакуации людей, транспортных средств, а также заезд пожарной техники;

- герметичный слив топлива из АЦ в резервуары обеспечивается быстроразъемными муфтами в герметичной ванне, которая обеспечена приямком для сбора и удаления возможных проливов по проектируемому трубопроводу в подземную аварийную емкость V=10м3;

- применено технологическое оборудование заводского изготовления, исключающее проливы горючих материалов при работе в пределах параметров рабочего режима эксплуатации;

- предусмотрен контроль герметичности резервуаров в соответствии с рекомендациями НПБ 111-98;

- на въезде и выезде с территории АЗС предусмотрено устройство повышенных участков (валиков) высотой 200 мм, а сама территория АЗС по периметру ограждается бордюрным камнем h=150 мм. для локализации возможных проливов при нештатных ситуациях;

- площадка для АЦ ограждается бортовым камнем h=0,2м, обеспечен сбор утечек с площадки;

Изм.
Лист
№ докум.
Подпись
Дата
Лист
80  
ДП 130501.65.10.1.02 ПЗ  
- помещения персонала АЗС отделены от помещений сервисного обслуживания водителей и пассажиров противопожарными перегородками;

- для организации переговорной и распорядительной связи предусмотрена двухсторонняя переговорная связь типа ПГС связь, которая устанавливается в операторной;

- предусмотрена кнопка аварийного отключения электропитания ТРК и вентиляторов;

- электрощиты оборудованы автоматическими предохранителями, дверь в щитовую заперта на замок, выполнена из огнестойкого материала;

- предусмотрена молниезащита оборудования АЗС;

- предусмотрены контейнеры с песком для сбора проливов и хранения загрязненного песка;

- наружные стены здания операторной и мойки выполнены из негорючих материалов;

- в здании операторной и мойки АЗС имеется так же эвакуационный выход, который выходит в противоположную от ТРК сторону;

- воздуховоды приточно-вытяжной вентиляции приняты из несгораемых материалов;

- для обнаружения возгорания и сообщении о месте его обнаружении (в т. ч. возле сливной ванны и АЦ) в операторной АЗС предусматривается установка прибора приемноконтрольного охранно-пожарного типа «Сигнал-20П»; в сеть пожарной сигнализации включаются дымовые оптико-электронные извещатели ИП 212-45М и пожарные ручные извещатели ИПР-ЗСУ;

- все нетоковедущие металлические части злектрооборудования подлежат заземлению.

Проектируемая технологическая площадка АЗС до начала ввода в эксплуатацию водовода пресной воды и проектируемого колодца с пожарным гидрантом обеспечивается противопожарным запасом воды в

Изм.
Лист
№ докум.
Подпись
Дата
Лист
81  
ДП 130501.65.10.1.02 ПЗ  
четырех проектируемых подземных емкостях объемом 50м3 каждая, которые предполагается расположить на площадке АЗС;

- порошковые ОП-5, вместимостью 5л, заряд класса АВС(Е) – 1шт; (на 4 заправочных островка);

- воздушно-пенные ОВП-10, вместимостью 10л, заряд класса АВС(Е) – 1шт; (на 4 заправочных островка);

- ОПП-50 порошковый передвижной вместимостью 50л, заряд класса АВС(У) – 2шт. (хранить в помещении операторной, размещать вблизи АЦ при сливе топлива).

Места размещения огнетушителей должны обозначаться соответствующими указательными знаками.

Во всех производственных, административных, складских и вспомогательных помещениях и на наружных установках на видном месте должны быть предусмотрены таблички с указанием:

- категории помещения по взрывопожарной и пожарной опасности;

- класса взрывоопасных и пожароопасных зон [12];

- работника, ответственного за пожарную безопасность;

- инструкции о мерах пожарной безопасности;

- номеров телефонов экстренного вызова.

В операторной АЗС должен быть в наличии полный комплект документации и информации по АЗС: лицензия, сертификат, проектная документация, заключение







Date: 2015-07-23; view: 932; Нарушение авторских прав



mydocx.ru - 2015-2026 year. (1.215 sec.) Все материалы представленные на сайте исключительно с целью ознакомления читателями и не преследуют коммерческих целей или нарушение авторских прав - Пожаловаться на публикацию