Главная Случайная страница


Полезное:

Как сделать разговор полезным и приятным Как сделать объемную звезду своими руками Как сделать то, что делать не хочется? Как сделать погремушку Как сделать так чтобы женщины сами знакомились с вами Как сделать идею коммерческой Как сделать хорошую растяжку ног? Как сделать наш разум здоровым? Как сделать, чтобы люди обманывали меньше Вопрос 4. Как сделать так, чтобы вас уважали и ценили? Как сделать лучше себе и другим людям Как сделать свидание интересным?


Категории:

АрхитектураАстрономияБиологияГеографияГеологияИнформатикаИскусствоИсторияКулинарияКультураМаркетингМатематикаМедицинаМенеджментОхрана трудаПравоПроизводствоПсихологияРелигияСоциологияСпортТехникаФизикаФилософияХимияЭкологияЭкономикаЭлектроника






Перечень мероприятий по предотвращению (сокращению) выбросов и сбросов вредных веществ в окружающую среду





 

Описание основных технологических решений проектируемого объекта смотри п. 2 данной текстовой части.

Основными вредностями для атмосферы, водоемов и почвы являются автомобильный транспорт и моторное топливо, находящиеся в обращении МАЗС: проливы топлива ЖМТ и СУГ при его сливе и выдаче, проливы при ремонтных работах, утечки через неплотности разъемных соединений, а также сброс паров топлива через дыхательные устройства при превышении давления в резервуарах.

В данном подразделе проектной документации освещены принятые технологические решения, обеспечивающие минимальное вредное воздействие моторного топлива и его паров на окружающую среду при работе МАЗС в штатном режиме и свед е ние к минимуму причин возникновения аварийных ситуаций на проектируемом объекте.

Основным условием обеспечения охраны окружающей среды является выполнение мероприятий, изложенные в главе 9 «Перечень мероприятий по обеспечению выполнения требований, предъявляемых к техническим устройствам, оборудованию, зданиям и сооружениям на опасных производственных объектах», изложенных в данной текстовой части.

Для уменьшения вредного воздействия на окружающую среду данным разделом проектной документации приняты следующие мероприятия по защите почвы, водоемов и воздушного бассейна района размещения проектируемого участка СУГ.

В целях рационального использования и охраны земель, а также для защиты почвы от ветровой и водной эрозии предлагаются следующие мероприятия:

· Для хранения СУГ предусмотрены два надземных одностенных резервуара, оснащенных специальной системой теплоизоляции (конструктивной огнезащиты), обеспечивающей целостность защищаемого оборудования в течение не менее 80 минут с момента огневого воздействия;

· Стальные трубопроводы для СУГ с антикоррозийным наружным покрытием прокладываются в железобетонных каналах, полностью засыпаются песком и герметично закрываются крышками. Контроль над наличием загазованности внутри каналов производится через контрольные трубки при помощи переносных газоанализаторов;

· Производится (в заводских условиях) контроль всех сварных соединений емкости и технологических трубопроводов, гидравлические испытания и продувка всей технологической системы в соответствии со СНиП 3.05.05-84;

· Обеспечивается трамбовка и планировка грунта при строительстве площадок под ТС и площадку АЦ;

· Все проезды для автомобильного транспорта выполнены из твердого маслобензостойкого покрытия по спланированной территории МАЗС; обеспечен водосток в сторону существующих сборных колодцев ливневой канализации;

· Для слива топлива из АЦ предусмотрена огражденная бортовым камнем площадка с твердым маслобензостойким, искробезопасным покрытием, а на въезде и выезде с площадки АЦ предусмотрены «валики» высотой 150 мм;

· Слив топлива из АЦ производится через специальные герметичные сливные устройства, исключающие проливы СУГ в штатном режиме.

При обустройстве временных бытовых и вспомогательных помещений при строительстве объекта запрещается загрязнение почвы отходами производства и хозяйственно-бытовыми отходами. Отходы необходимо складировать в герметичные емкости (контейнеры) и вывозить в ближайшие пункты санкционированного приема ТБО.

Для защиты водоемов от загрязнения помимо вышеуказанных мероприятий необходимо также:

· Содержать территорию МАЗС в удовлетворительном состоянии;

· Не допускать разлива топлива, масел и других загрязняющих веществ на не канализованных площадках;

· Хранить отходы в специально отведенных местах, исключающих загрязнение почвы, своевременно вывозить отходы;

Мероприятия по охране воздушного бассейна особенно при неблагоприятных метеорологических условиях (НМУ) носят в основном организационно-технический характер:

· Максимальная герметизация оборудования, коммуникаций, фланцевых соединений по всей технологической цепочке;

· Выбор запорно-регулирующей арматуры и технологического оборудования, в соответствии с рабочими параметрами производства, климатическому исполнению и коррозионной активности среды;

· Испытание оборудования и трубопроводов на прочность и плотность гидравлическим или пневматическим способом по окончании монтажа ТС;

· Запрет движения транспорта, не предусмотренного Проектом производства работ для данного объекта;

· Запрет работы двигателя автотранспорта при проведении погрузочно-разгрузочных работ;

· Соблюдение технологического режима слива топлива из АЦ и выдачи топлива клиентам МАЗС;


· Постоянный автоматический контроль содержания углеводородов в местах их возможного возникновения и периодический контроль над состоянием воздушной среды площадки МАЗС переносными газоанализаторами.

· Работа МАЗС во время грозы, снежных бурь, ураганов приостанавливается.

Строгое соблюдение технологического процесса, трудовой дисциплины, а также нормативных правовых актов в области промышленной и пожарной безопасности сводит к минимуму возникновение возможных аварийных ситуаций на МАЗС и последствий их воздействия на окружающую среду.

 

1 РАСЧЕТНАЯ ЧАСТЬ

 

Изм.
Лист
№ докум.
Подпись
Дата
Лист
43  
ДП 130501.65.10.1.02 ПЗ    
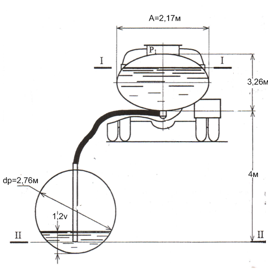
2.1 Расчет продолжительности слива бензина из автоцистерны самотеком выполняется по методике .

Исходные данные:

Марка автоцистерны АЦ-10-260;

Длина приемного трубопровода резервуара

Диаметр приемного трубопровода резервуара

Длина сливного патрубка

Диаметр сливного патрубка

h(0)=4;

Давление при сливе нефтепродукта S=53000 Па;

Плотность бензина

Потери в трубопроводе

Начальный взлив в резервуаре АЗС равен 1,2м;

Объем резервуара V=25 ;

Согласно таблице 1.9 V резервуара 10; 25; 50

Поэтому взяли V=25

Резервуар оснащен дыхательным клапаном АЗТ 5-890-820.

Различием диаметров местных сопротивлений и приемного трубопровода пренебречь, согласно таблице 1.19

Для АЦ-10-260 находим А=2,17м; В=1,63м; при подаче .

 

Для дыхательного клапана АЗТ 5-890-802

Коэффициент гидравлического сопротивления рукава автоцистерны определяем по формуле

 

Рисунок 12 – Схема слива топлива из автоцистерны самотеком

 

Изм.
Лист
№ докум.
Подпись
Дата
Лист
44  
ДП 130501.65.10.1.02 ПЗ  
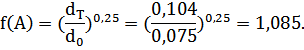
Так как течение бензина происходит в зоне смешанного трения турбулентного режима, находим величину функции

 

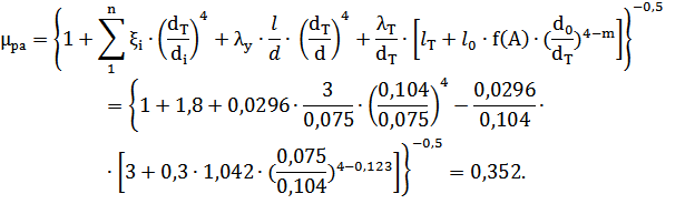
Принимая в первом приближении , вычисляем коэффициент расхода сливной коммуникации по формуле 12.26 :

 

e cHjkmAWJyuBpwugShtrg0iYMX+WHYZfLGQkjRAM+ULsIAzk8SNQKCT+RpQnjxIShUniaMLqEofYn dQhDJYjPQBi+j+QuutCBTUydbU02yP5wk6U8kQg+NGFownjr8dRjIgyVw7sUwuCHrOG0OpeM5cl6 dhy+XYbr9vn/m38AAAD//wMAUEsDBBQABgAIAAAAIQCCoNkh4QAAAAwBAAAPAAAAZHJzL2Rvd25y ZXYueG1sTI9Ba8JAEIXvhf6HZYTe6ibVBInZiEjbkxSqhdLbmB2TYHY3ZNck/vuOp/Y2j3m89758 M5lWDNT7xlkF8TwCQbZ0urGVgq/j2/MKhA9oNbbOkoIbedgUjw85ZtqN9pOGQ6gEh1ifoYI6hC6T 0pc1GfRz15Hl39n1BgPLvpK6x5HDTStfoiiVBhvLDTV2tKupvByuRsH7iON2Eb8O+8t5d/s5Jh/f +5iUeppN2zWIQFP4M8N9Pk+Hgjed3NVqL1rW8YpZgoJFwgh3Q5wkKYgTX+kyWoIscvkfovgFAAD/ /wMAUEsBAi0AFAAGAAgAAAAhALaDOJL+AAAA4QEAABMAAAAAAAAAAAAAAAAAAAAAAFtDb250ZW50 X1R5cGVzXS54bWxQSwECLQAUAAYACAAAACEAOP0h/9YAAACUAQAACwAAAAAAAAAAAAAAAAAvAQAA X3JlbHMvLnJlbHNQSwECLQAUAAYACAAAACEAyUq25S4GAABHQAAADgAAAAAAAAAAAAAAAAAuAgAA ZHJzL2Uyb0RvYy54bWxQSwECLQAUAAYACAAAACEAgqDZIeEAAAAMAQAADwAAAAAAAAAAAAAAAACI CAAAZHJzL2Rvd25yZXYueG1sUEsFBgAAAAAEAAQA8wAAAJYJAAAAAA== ">

Изм.
Лист
№ докум.
Подпись
Дата
Лист
45  
ДП 130501.65.10.1.02 ПЗ  
Параметры приемного резервуара на АЗС согласно таблицы 1.9 : диаметр

Отсюда начальный объем бензина в приемном резервуаре


Так как вместимость автоцистерны равна 10 , то после завершения слива объем бензина в приемном резервуаре станет равным 20,7 . Следовательно, на момент окончания слива

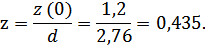
Соответствующую безразмерную высоту заполнения резервуара найдем из уравнения

Методом последовательных приближений находим, что в данном случае =0,75. Следовательно, изменение высоты взлива в резервуаре

Средняя скорость нефтепродукта в начале и конце слива

,

Согласно формуле 12.33

 

Средняя скорость нефтепродукта в приемном трубопроводе

Изм.
Лист
№ докум.
Подпись
Дата
Лист
46  
ДП 130501.65.10.1.02 ПЗ  

Число Рейнольдса и коэффициент гидравлического сопротивления для приемного трубопровода

Так как в данном случае

и

 

то в среднем слив происходит зоне квадратичного трения турбулентного режима и поэтому

 

Уточненная величина функции по формуле

Уточненная величина коэффициента расхода, согласно формулы 12.66

Так вновь найденное значение отличается от первоначального

Что меньше допустимой погрешности инженерных расчетов (5%), а значит уточнять величину средней скорости нет необходимости.

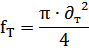
Площадь сечения сливного трубопровода по формуле 12.32

Изм.
Лист
№ докум.
Подпись
Дата
Лист
47  
ДП 130501.65.10.1.02 ПЗ  
Время полного слива автоцистерны

s w:space="720"/></w:sectPr></w:body></w:wordDocument>">

 

2.2. Гидравлический расчет всасывающей линии трубопровода

Изм.
Лист
№ докум.
Подпись
Дата
Лист
48  
ДП 130501.65.10.1.02 ПЗ  
В данном случае гидравлический расчет будем вести при средне -минимальной температуре нефтепродукта.

Кинематическая вязкость ;

Длина всасывающей линии L = 70,7 м;

Наружный диаметр всасывающего трубопровода Dвс =0,063 м;

Толщина стенки трубопровода м;

Геодезическая отметка резервуара z рез = 324,7 м;

Геодезическая отметка ТРК м;

Эквивалентная шероховатость труб ;

Производительность насоса Q=0,0033

Таблица 3 - Местные сопротивления на всасывающей линии

Тип местного сопротивления Количество
Фильтр   1,7
Задвижка   0,15
Поворотов   0,3

 

1. Находим внутренний диаметр трубопровода

2. Скорость движения потока

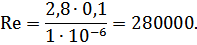
3. Число Рейнольдса для потока нефтепродуктов в трубопроводе

4. Критические значения числа Рейнольдса

Змн.
Арк.
№ докум.
Подпись
Дата
Лист
 
ДП 130501.65.10.1.02 ПЗ  
Так как , режим турбулентный, т.е. поток нефтепродукта находится в области гидравлически гладких труб, для которой коэффициент гидравлического сопротивления вычисляется по формуле


5. Потери напора по длине трубопровода

6. Потери напора на местные сопротивления

7. Потеря напора на преодоление сил тяжести

8. Полная потеря напора на всасывающей линии

9. Проверка всасывающего трубопроводов на холодное кипение паров бензина. Условие, которое должно выполнятся, чтобы не произошло срыва потока

 

Па – давление насыщенных паров бензина при 26,9 С

Па – атмосферное давление.

 

Условие выполняется.

 

2.3 Расчет на прочность полиэтиленовых труб

2.3.1 Расчетные характеристики полиэтиленовых труб

Расчетное сопротивление материала труб R следует определять по формуле

,

E L15xWKTPakRH7wxfdPhCb2tp84U8sqX2Uh2RLyI8Ev20iy+wK2aIRhsRB7AMXxyYL3T4zvBFhy/0 rqQOX+jQMOy9PDRfBAFWW+ciF7YudaVUkPshk0c7sZx6GL4wfPHaw6h95hc6fncqfCFOVMPJdKEV q1P0/Oh7Ow3X7bP+F/8CAAD//wMAUEsDBBQABgAIAAAAIQDzzTCy4QAAAAwBAAAPAAAAZHJzL2Rv d25yZXYueG1sTI/NasMwEITvhb6D2EJvjfzTmOJaDiG0PYVCk0LpbWNtbBNLMpZiO2/fzam5zbDD 7DfFajadGGnwrbMK4kUEgmzldGtrBd/796cXED6g1dg5Swou5GFV3t8VmGs32S8ad6EWXGJ9jgqa EPpcSl81ZNAvXE+Wb0c3GAxsh1rqAScuN51MoiiTBlvLHxrsadNQddqdjYKPCad1Gr+N29Nxc/nd Lz9/tjEp9fgwr19BBJrDfxiu+IwOJTMd3NlqLzr2ScZbgoJ0mYG4BuIsZXVglT1HCciykLcjyj8A AAD//wMAUEsBAi0AFAAGAAgAAAAhALaDOJL+AAAA4QEAABMAAAAAAAAAAAAAAAAAAAAAAFtDb250 ZW50X1R5cGVzXS54bWxQSwECLQAUAAYACAAAACEAOP0h/9YAAACUAQAACwAAAAAAAAAAAAAAAAAv AQAAX3JlbHMvLnJlbHNQSwECLQAUAAYACAAAACEAX55VODEGAAAzQAAADgAAAAAAAAAAAAAAAAAu AgAAZHJzL2Uyb0RvYy54bWxQSwECLQAUAAYACAAAACEA880wsuEAAAAMAQAADwAAAAAAAAAAAAAA AACLCAAAZHJzL2Rvd25yZXYueG1sUEsFBgAAAAAEAAQA8wAAAJkJAAAAAA== ">

Изм.
Лист
№ докум.
Подпись
Дата
Лист
50  
ДП 130501.65.10.1.02 ПЗ  
где RH нормативное длительное сопротивление разрушению мате­риала труб из условия работы на внутреннее давление, RH =1,3МПа;

KY—коэффициент условий ра­боты трубопровода, KY =0,5;

Кс коэффициент проч­ности соединения труб, Кс =0,95[13].

Модуль ползучести материала труб Е, принимается с учетом его изменения при длительном действии нагрузки и температуры на трубопро­вод по формуле

где Е0 — модуль-ползучести материала трубы при растяжении, Е0 =32 МПа,в зависимости от проектируемого срока службы трубопровода и величины действующих в стенке тру­бы напряжений;

Ке — коэффициент, учитывающий влияние температуры на деформационные свойства материала труб, Ке =0,40.

 

2.3.2 Расчет нагрузок и воздействия на трубопровод

При расчете трубопроводов следует учитывать нагрузки и воздействия, возникающие при их сооружении, испытании и эксплуатации.

Рассчитаем нормативную нагрузку от массы 1 м трубопро­вода

Изм.
Лист
№ докум.
Подпись
Дата
Лист
51  
ДП 130501.65.10.1.02 ПЗ  
где gT—плотность материала трубопровода, кг/м3;

D наружный диаметр трубы, м;

d—толщина стенки трубы, м.

В тех случаях, когда для трубопровода требуется устройство наружной изоляции, в нормативную нагрузку qHT следует включать нагрузку от массы изолирующего слоя.

Нормативная вертикальная нагрузка от давле­ния грунта на трубопровод

где gГР— плотность грунта, кг/м3;

h—расстояние от верха трубопровода до поверхности земли, м, назначаемое из усло­вия исключения возможности воздействия на трубопровод динами­ческих нагрузок.

Нормативную нагрузку от гидростатического давления грунтовых вод, вызывающую всплытие трубо­провода

где gВ — плотность воды с учетом растворенных в ней солей, Н/м3 (кгс/м3),

D — наружный диаметр трубопровода с учетом изоляционного покрытия, м.

 

2.3.3 Проверка прочности и устойчивости подземных трубопровод

Подземные трубопроводы следует проверять по прочности и деформациям поперечного сечения.

Расчетные сопротивления материала труб для подземного трубопровода следует определять по фор­муле

где R расчетное сопротивление материала труб;

К1 коэффициент условий прокладки подземного трубопровода, принимаемый равным 0,8—для трубопроводов, про­кладываемых в местах, труднодоступных для рытья траншей в слу­чае его повреждения; 0,9—для трубопроводов, прокладываемых под усовершенствованными покрытиями; 1,0—для остальных тру­бопроводов.

Несущая способность подземных трубопроводов должна проверяться путем сопоставления предельно до­пустимых расчетных характеристик материала трубо­провода с расчетными нагрузками на трубопровод, при этом внешние, нагрузки приводятся к двум эквивалент­ным противоположно направленным вдоль вертикально­го диаметра линейным нагрузкам.

Изм.
Лист
№ докум.
Подпись
Дата
Лист
52  
ДП 130501.65.10.1.02 ПЗ  
Полная расчетная приведенная (эквивалент­ная) линейная нагрузка Рпр

где Q — равнодействующие расчетных вертикальных нагрузок;

b — коэффициент приведения нагрузок;

h — коэффициент, учитывающий боковое давление грунта на трубопровод.

- расчетная нагрузка на трубопровод от тран­спорта;

- расчетная нагрузка на трубопровод от равно­мерно распределенной нагрузки на поверхности засыпки.

 

Расчетная нагрузка на трубопровод от тран­спорта

где nтр — коэффициент перегрузки от транспортных нагрузок, hтр =1,4;

qНТР—нормативное равномерно распределенное давление от транспорта, qНТР =10Н/м2;

D—наружный диаметр трубопровода, м.

 

Расчетная нагрузка на трубопровод от равно­мерно распределенной нагрузки на поверхности засыпки

где РГР—параметр, характеризующий жесткость засыпки, МПа (кгс/см2), рассчитываемый по соотношению

.

РЛ параметр, характеризующий жесткость трубопро­вода

Изм.
Лист
№ докум.
Подпись
Дата
Лист
53  
ДП 130501.65.10.1.02 ПЗ  
где ЕГР —модуль деформации грунта засыпки, принимаемый в зависимости от степени уплотнения грунта: для песчаных грунтов—от 8,0 до 16,0 МПа), для супесей и суглинков—от 2,0 до 6,0 МПа), для глин—от 1,2 до 2,5 МПа;

Е —мо­дуль ползучести материала труб;

nP — коэффициент перегрузки от нагрузок на поверхности грунта.

Значение коэффициента приведения нагрузок b следует принимать зависимости от способа опирания трубопровода на грунт:

а) для нагрузок от давления грунта: при укладке на плоское основание—0,75; при укладке на спрофилиро­ванное основание с углом охвата трубы 2а= 70°—0,55, 2а =90°— 0,50, 2а = 120° — 0,45;

б) для нагрузок от массы трубопровода и транспортируемого вещества: при укладке на плоское основание — 0,75, при укладке на спрофилированное основание с углом охвата трубы 2а = 75°— 0,35, 2а =90°— 0,30, 2а= 120°—0,25.

Величину коэффициента h, учитывающего боко­вое давление грунта на трубопровод, следует принимать в зависимости от степени уплотнения засыпки в преде­лах от 0,85 до 0,95.

Несущую способность подземных трубопрово­дов по условию прочности следует проверять на дейст­вие только внутреннего давления транспортируемого ве­щества, при этом полное расчетное приведенное (экви­валентное) напряжение sпр, МПа (кгс/см2), вычисленное в соответствии с требованиями п. 5,18 должно удовлет­ворять неравенству

Изм.
Лист
№ докум.
Подпись
Дата
Лист
54  
ДП 130501.65.10.1.02 ПЗ  
условие выполняется.

 

2.4 Расчет оболочки резервуара

В горизонтальной оболочке, покоящейся на сплошном основании, под действием веса нефтепродукта и собственного веса возникают изгибающие

моменты М1, М2, стремящиеся сплющить оболочку – увеличить горизонтальный диаметр. При наличии избыточного давления в стенках корпуса, возникают равномерно распределенные растягивающие напряжения, способствующий сохранению формы корпуса. Поэтому корпус резервуара, рассчитанный на действие изгибающих моментов, обязательно должен быть проверен на растягивающие напряжения от внутреннего избыточного давления.

Изгибающий момент, возникающий в оболочке под действием гидростатического давления нефтепродукта равен







Date: 2015-07-23; view: 1529; Нарушение авторских прав



mydocx.ru - 2015-2026 year. (0.633 sec.) Все материалы представленные на сайте исключительно с целью ознакомления читателями и не преследуют коммерческих целей или нарушение авторских прав - Пожаловаться на публикацию