Главная Случайная страница


Полезное:

Как сделать разговор полезным и приятным Как сделать объемную звезду своими руками Как сделать то, что делать не хочется? Как сделать погремушку Как сделать так чтобы женщины сами знакомились с вами Как сделать идею коммерческой Как сделать хорошую растяжку ног? Как сделать наш разум здоровым? Как сделать, чтобы люди обманывали меньше Вопрос 4. Как сделать так, чтобы вас уважали и ценили? Как сделать лучше себе и другим людям Как сделать свидание интересным?


Категории:

АрхитектураАстрономияБиологияГеографияГеологияИнформатикаИскусствоИсторияКулинарияКультураМаркетингМатематикаМедицинаМенеджментОхрана трудаПравоПроизводствоПсихологияРелигияСоциологияСпортТехникаФизикаФилософияХимияЭкологияЭкономикаЭлектроника






Нарисуйте прибор для определения в топливе водорастворимых кислот и щелочей





Определение в топливе водорастворимых кислот и щелочей

1–делительная воронка; 2–штатив с пробирками; 3–индикаторы;

4– вода; 5-топливо.

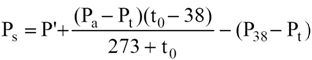
9. Произвести расчет давления насыщенных паров топлива, если:

- показания ртутного манометра 550 мм.рт. ст.;

- барометрическое давление 765 мм.рт. ст.;

- температура воздуха в верхней камере бомбы, 27ºС;

- давление насыщенных паров воды: - 5 мм.рт. ст. при tо;

- 28 мм.рт. ст. при t=38ºC.

Для расчета воспользуемся формулой

где: PS – искомое давление насыщенных паров топлива (мм.рт. ст.);

P′ – показания ртутного манометра после стабилизации давления (550 мм.рт. ст.);

Pa – барометрическое давление во время опыта (765 мм.рт. ст.);

tо – температура воздуха в верхней камере бомбы, 27ºС;

Pt, P38 – давление насыщенных паров воды (28 мм. рт. ст.) при tо=5 мм.рт.ст. и при t=38ºC.

Подставив значения в формулу получим искомое давление насыщенных паров равное 440 мм.рт. ст.

 

МИНИСТЕРСТВО ОБРАЗОВАНИЯ РОССИЙСКОЙ ФЕДЕРАЦИИ

Государственное образовательное учреждение высшего профессионального

образования

«Ижевский государственный технический университет»

 

Кафедра: «Тепловые двигатели и установки»

 







Date: 2015-07-23; view: 1189; Нарушение авторских прав



mydocx.ru - 2015-2026 year. (0.721 sec.) Все материалы представленные на сайте исключительно с целью ознакомления читателями и не преследуют коммерческих целей или нарушение авторских прав - Пожаловаться на публикацию