Кинематика
s=f(t) – естественный способ задания движения, прямолинейное движение: х=f(t).
Координатный способ: x=f1(t), y=f2(t), z=f3(t). Уравнение траектории: f(x,y,z)=0.
Векторный способ: радиус-вектор = , модуль , направляющие косинусы: и т.д. Переход от координатного способа к естественному: . Скорость точки. Вектор скорости: ; . Проекции скорости: , , . Модуль скорости: , направляющие косинусы: и т.д.
Естественный способ: , , – орт касательной. Движение в полярной системе координат: r=r(t) – полярный радиус, j=j(t) – угол. Проекции скорости на радиальное направление , поперечное направление , модуль скорости .; x=rcosj, y=rsinj. Ускорение точки. . Проекции уск.-я: и т.д. Модуль уск.-я: , направляющ. косинусы: , и т.д. Проекции уск. на радиальное напр-ние , поперечное напр-ние , модуль уск-я . . Модуль нормального ускорения: , r – радиус кривизны траектории, модуль касательного ускорения , ^ , Þ . Прямолинейное движение: r= ¥, аn=0, a=at. Равномерное криволинейное движение: v=const, at=0, a=an. s=s0+v×t, при s0=0 v=s/t. Равномерное прямолинейное движение: а=at=an=0.
4) Равнопеременное криволинейное движение: at=const, v=v0+at×t, .
Угловая скорость: , . Угловое ускорение тела: . Равномерное вращение: w=const, j=wt, w=j/t, равнопеременное вращение: w=w0+et; . Скорости и ускорения точек вращающегося тела: .
v=w×r×sin(a)= w×(CM), (СМ) – расстояние от точки М до оси вращения.
Формулы Эйлера: ,
vx=wyz – wzy; vy=wzx – wxz; vz=wxy – wyx. Если ось вращения совпадает с осью z, то vx= – wy; vy=wx. Ускорение: . Вращательное уск. , авр=e×r×sina, центростремительное уск. , ац=w2×R. Полное ускорение: . Угол, между полным и центростремительным ускорениями: . Плоское движение твердого тела.
Уравнения плоского движения: xA= f1(t), yA= f2(t), j = f3(t), Скорость ; , vBA= w×BA, vAcosa = vBcosb. Мгновенный центр ск-ей – Р: . , . Ускорения: ,
. , , , . Мгновенный центр уск-ий – Q; , , . Сферическое движение твердого тела. Уравнения сферического движения: Y=f1(t); q=f2(t); j=f3(t) Y – угол прецессии, q – угол нутации, j – угол собственного вращения — углы Эйлера. Угловое ускорение: . Скорости точек при сферич. движ.: , модуль v=wr×sina=w×h, h– расстояние от точки до мгновенной оси вращения.
Формулы Эйлера: .
Ускорения: , вращательное ускорение модуль вращат. уск. авр=e×r×sinb=e×h1, h1– расст. от точки до вектора , осестремительное ускорение , аос=w2×h. Движение свободного тв.тела. Ур-иядвиж.св.тв.тела: xA=f1(t); yA=f2(t); zA=f3(t); Y=f4(t); q=f5(t); j=f6(t) (углы Эйлера). Скорость точки св.тв.тела: . Ускорение точки св.тв.тела: .
Сложное движение точки. Теорема о сложении скоростей:
, ; 
, ;
; ; ,
, . Теорема о сложении ускорений -
теорема Кориолиса: 
и т.д.
1) ;
2) 
3) ;
4) ,
; ; .
. , ; ас= 2×|we×vr|×sin(we^vr).
Сложное движение тверд.тела. Правило параллелограмма угловыхск-ей: .
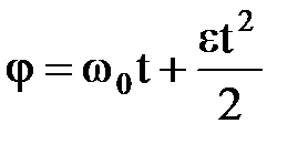
. Угл. ск-сть. прецессии , угл. ск-сть нутации ,
угл. ск. собственного вращ-ия . , – кинематические уравнения Эйлера.
Сложение вращений вокруг 2-х параллельных осей.
Вращения направлены в одну сторону. w=w2+w1, ,
. 2) Вращения направлены в разные стороны. ,
w=w2—w1, . 3) Пара вращений ; vA=vB, v=w1×AB – момент пары угловых скоростей. Винтовое движение: шагом винта – h. Если v и w=const, то h= =const, . Динамика
Основной закон динамики (2-ой закон (Ньютона)): . Дифференциальные уравнения движения материальной точки: ,
; . –
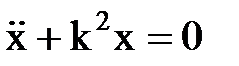
– дифференциальное уравнение прямолинейного движения точки, его общее решение:
x=f(t,C1,C2), начальные условия: t=0, x=x0, =Vx=V0.
Свободные колебания ; c/m=k2, ; x= C1coskt + C2sinkt,
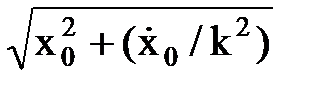
= – kC1sinkt + kC2coskt, С1= х0, С2= /k, т.е. x= х0coskt + ( /k)sinkt.
С1=Аsinb, C2=Acosb, x=Asin(kt+b) – гармонические колебания, А= амплитуда, tgb=kx0/ , b – начальная фаза свободных колебаний; – собственная частота колебаний; период Т=2p/k. Статическое отклонение dст=Р/с. Т=2p .
Затухающие колебания Rx= – b сила сопротивления, , b/m=2n, , характеристическое уравнение: z2 + 2nz + k2= 0, его корни:
z1,2= . а) n<k ,
x=Ae-ntsin(kt+b). , ; частота затухающих колебаний: k*= ; период: . – декремент колебаний; –nT*/2 логарифмический декремент; "n" – коэффициент затухания.
Б) Апериодическое движение n³k. При n>k: , обозначая С1=(В1+В2)/2, С2=(В1-В2)/2, . При n = k: , ,
Вынужденные колебания: возмущающая сила: Q = Hsin(pt+d), р – частота возмущающей силы, d – начальная фаза. , h=Н/m, .
х = х*+х**. х*= C1coskt + C2sinkt, х**= Asin(рt+d).
– количество движения материальной точки, – элементарный импульс силы. – теорема об изменении количества движ. матер. точки в дифф. форме или . – импульс силы за [0,t]. В проекциях на оси координат: и т.д. - момент количества движения матер.
точки относительно центра О. Теорема об изменении момента количества движения матер.точки. . Если МО= 0, Þ =const. =const,
где – секторная скорость. Элементарная работа dA = Ftds, Ft – проекция силы на касательную к траектории, или dA = Fdscosa. dA= – скалярное произведение; dA= Fxdx+Fydy+Fzdz. Работа силы на любом конечном перемещении М0М1:
. ЕслиF=const, то = F×s×cosa. , .
Работа силы тяжести: . A>0, если М0 выше М1.
Работа силы упругости: .
Работа силы трения: , Fтр=fN. Сила притяжения (тяготения): , k=gR2. Работа силы тяготения: .
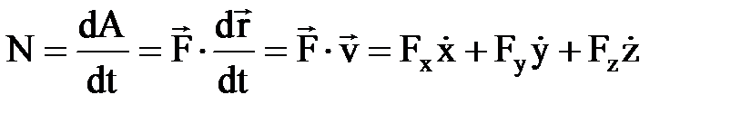
Мощность . Если N=const, то N=A/t.
Теорема об изменении кинетической энергии точки. В дифференциальной форме: . – кинетическая энергия материальной точки. В конечном виде: . , U=U(x1,y1,z1,x2,y2,z2,…xn,yn,zn) – силовой функцией. Элементарная работа сил поля: dА=ådАi= dU. Работа сил на конечном перемещении . Потенциальная энергия – П равна сумме работ сил потенциального поля на перемещении системы из данного положения в нулевое. А1,2= П1– П2. Потенц. энергия поля силы тяжести: П= mgz. Потенциальная энергия поля центральных сил. Центральная сила – , . Гравитационная сила , , f = 6,67×10-11м3/(кгс2) – постоянная тяготения.
Первая космическая скорость v1= » 7,9 км/с, R = 6,37×106м – радиус Земли; вторая космическая скорость: v11= » 11,2 км/с.
Потенциальная энергия восстанавливающей силы пружин: , l – модуль приращения длины пружины. Работа восстанавливающей силы пружины: .
Date: 2015-07-23; view: 1041; Нарушение авторских прав | Понравилась страница? Лайкни для друзей: |
|
|