Главная Случайная страница


Полезное:

Как сделать разговор полезным и приятным Как сделать объемную звезду своими руками Как сделать то, что делать не хочется? Как сделать погремушку Как сделать так чтобы женщины сами знакомились с вами Как сделать идею коммерческой Как сделать хорошую растяжку ног? Как сделать наш разум здоровым? Как сделать, чтобы люди обманывали меньше Вопрос 4. Как сделать так, чтобы вас уважали и ценили? Как сделать лучше себе и другим людям Как сделать свидание интересным?


Категории:

АрхитектураАстрономияБиологияГеографияГеологияИнформатикаИскусствоИсторияКулинарияКультураМаркетингМатематикаМедицинаМенеджментОхрана трудаПравоПроизводствоПсихологияРелигияСоциологияСпортТехникаФизикаФилософияХимияЭкологияЭкономикаЭлектроника






Управление договорами





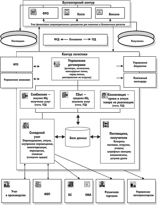
Договоры и контракты являются важными юридическими документами, регулирующими взаимоотношения между субъектами хозяйствования и влияющими на их деятельность. Не нужно лишний раз доказывать необходимость тщательного составления договора, а затем точного исполнения обязательств. Казалось бы, ничего сложного в этом нет. Все просто, если ваша организация состоит из двух человек и есть только пара краткосрочных договоров. Но что делать, если у вас десятки и сотни постоянных клиентов, с каждым из которых заключены сложные долгосрочные контракты? Как скоординировать действия менеджеров всех служб предприятия и иметь возможность получения оперативной информации о состоянии любого из договоров? Как не запутаться в многочисленных изменениях и дополнениях договоров? Это вопросы, которые задают себе руководители современных предприятий. Помочь в данной ситуации может модуль Управление договорами, входящий в Контур логистики системы Галактика.

Модуль Управление договорами предназначен для автоматизации бизнес-процедур, связанных с заключением, исполнением и учетом договоров и контрактов. Он может использоваться для автоматизации договорной деятельности во многих отраслях промышленности, транспорта, торговли и т.д. При этом упрощается решение следующих задач:

  • Заключение договоров (конкретных и рамочных), связанных, в первую очередь, со снабжением и сбытом. Учет расчетов по договорам, в том числе векселями и ценными бумагами.
  • Конкретизация рамочных договоров путем периодического заключения дополнительных соглашений, уточняющих взаимоотношения сторон на определенный период.
  • Формирование календарных планов движения товаров, услуг и платежей. Расчет штрафов за нарушение условий и сроков отгрузки и оплаты.
  • Формирование наряд-заказов на отгрузку товаров на внутренний рынок и на экспорт.
  • Организация транспортировки и формирование платежных документов. При этом выполняется расчет потребности в единицах подвижного состава и транспортных средствах, формируются счета на предоплату за товары/услуги по транспортировке. Возможна отгрузка товаров железнодорожным и автомобильным транспортом с формированием сопроводительных документов. При этом определяются приоритеты отгрузок, формируются распоряжения на отгрузку, разнарядки, накладные на отпуск.
  • Формирование отчетности и проведение окончательных расчетов. На этом этапе, на основании товарно-сопроводительных документов, осуществляется учет выполнения наряд-заказов, формируются платежные документы для оплаты услуг по транспортировке, контролируется дебиторская и кредиторская задолженности, анализируется состояние взаиморасчетов. Для этого используются акты сверки взаиморасчетов, в которых фиксируются объемы отгруженных товаров и расходы на транспортировку в стоимостном выражении, суммы платежей, суммы оказанных услуг, наличие задолженности.


Рис. 4. Схема информационных потоков Контура логистики


Модуль Управление договорами (Рис. 5) позволяет автоматизировать следующие типовые бизнес-процессы:







Date: 2015-07-10; view: 510; Нарушение авторских прав



mydocx.ru - 2015-2026 year. (0.711 sec.) Все материалы представленные на сайте исключительно с целью ознакомления читателями и не преследуют коммерческих целей или нарушение авторских прав - Пожаловаться на публикацию