Главная Случайная страница


Полезное:

Как сделать разговор полезным и приятным Как сделать объемную звезду своими руками Как сделать то, что делать не хочется? Как сделать погремушку Как сделать так чтобы женщины сами знакомились с вами Как сделать идею коммерческой Как сделать хорошую растяжку ног? Как сделать наш разум здоровым? Как сделать, чтобы люди обманывали меньше Вопрос 4. Как сделать так, чтобы вас уважали и ценили? Как сделать лучше себе и другим людям Как сделать свидание интересным?


Категории:

АрхитектураАстрономияБиологияГеографияГеологияИнформатикаИскусствоИсторияКулинарияКультураМаркетингМатематикаМедицинаМенеджментОхрана трудаПравоПроизводствоПсихологияРелигияСоциологияСпортТехникаФизикаФилософияХимияЭкологияЭкономикаЭлектроника






Занятия 9-10. Тема: Комбинированные задачи





 

Эти занятия посвящены более сложным задачам, которые встречаются на олимпиадах разных уровней. Так как большая часть олимпиадных задач затрагивает небольшое число разделов математики, то школьникам, стремящимся к успеху, полезно знать темы этих разделов и видеть, что многие новые задачи часто не более чем малоузнаваемые вариации прежних.

 

Задача 1. На стороне NP квадрата MNPQ взята точка A, а на стороне PQ – точка B так, что NA:AP = PB:BQ = 2:3. Точка L является точкой пересечения отрезков MA и NB. В каком отношении точка L делит отрезок MA?

Решение: проведем прямую AB, пусть она пересекает прямую MQ в точке F и пусть прямая NB пересекает прямую MQ в точке D (рис.41).

APB ~ FQB, тогда , откуда QF= .

 

NPB ~ DQB, тогда , откуда QD = .

 

FD = QD – QF= .

Из треугольника APB (прямоугольного) по теореме Пифагора AB = k.

Из треугольника QBF (прямоугольного) по теореме Пифагора BF = . Из треугольника AFM по теореме Менелая

 

, , , .

Ответ: 25: 4.

 

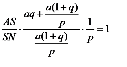
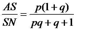
Задача 2. Дан параллелограмм ABCD. Точка M делит отрезок AD в отношении p, а точка N делит отрезок DC в отношении q. Прямые BM и AN пересекаются в точке S. Вычислите отношение AS:SN.

Решение: если MD= b, то AM= pb; если NC = a, то DN = aq.

Пусть B - точка пересечения прямых BM и CD.

MB D ~ BB C, тогда ;

;

1+p = ; x = .

Прямая BB пересекает две стороны и продолжение третьей треугольника AND. По теореме Менелая

, , откуда .

Ответ: .

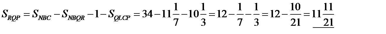
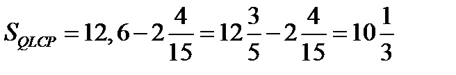
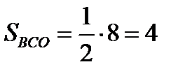
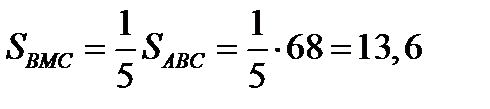
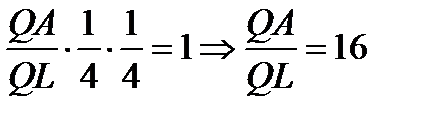
Задача 3. На сторонах AС и BC взяты точки М и L так, что AM:MC=4:1, CL:LB=3:1. Отрезки AL и BM пересекаются в точке Q. .

1) Найти ; 2) На АВ взяли точку N так, что CN – медиана; , . Найти .

Решение:

1) а) Рассмотрим , BM – секущая (рис.43),

по теореме Менелая ,

б) и имеют равные высоты . Так как ,

в) и имеют равные высоты

2) CN-медиана AN=NB. Найдем (рис. 44).

а) , ;

б) (имеют равные высоты),

; .

в) Рассмотрим ABM и секущую NC.

По теореме Менелая ,

, ,

,

.

Ответ: 11 кв.ед.

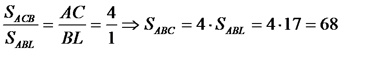
Задача 4. На стороне AB ABC взята точка D, а на стороне AC – точка Е так, что длина AE=BD=2. Прямые . Найти , если AB=BC=5, AC=6.

Решение: 1) , ,

2) Рассмотрим ABE, DC – секущая; D AB, O BE, C AE(рис.45).

По теореме Менелая , ; .

Значит, CO – медиана BCE, .

Из ABC по теореме косинусов

,

; .

Ответ: 4.

 

Примечание 9: если на момент решения задачи теорема косинусов учащимся еще не известна, задачу 4 следует отложить до изучения теоремы.

 

Задача 5. На сторонахАВ, ВС и САтреугольника АВС отмечены точки и соответственно так, что отрезки и пересекаются в одной точке Q, расположенной внутри треугольника АВС. Пусть Р – точка пересечения отрезков и . Доказать, что .

Доказательство. Эта задача может быть решена многими способами, мы разберем решение, использующее теоремы Менелая и Чевы, чрезвычайно полезные для решения задач такого типа.

Если , то утверждение задачи может быть доказано достаточно легко. Рассмотрим случай, когда прямые и пересекаются в точке

М (рис.46). По теореме Менелая для треугольников и имеем:

, , откуда ,

.

Складывая эти равенства, получаем (1)

По теореме Менелая для треугольников и имеем:

,

Учитывая, что , , и складывая уравнения, получаем:

. Из теоремы Чевы для треугольника АВС следует, что .

Поэтому (2)

Сравнивая (1) и (2), получаем требуемое.

Задача 6. В трапеции ABCD с основаниями AD и BC через точку A проведена прямая, которая пересекает диагональ BD в точке E и боковую сторону CD в точке K, причем BE:ED=1:2, CK:KD=1:4. Найдите отношение длин оснований трапеции.

Решение. Пусть BC= a, AD= b. Необходимо найти . Пусть BC AK=Q (рис.47).

1) По теореме Менелая для BCD и секущей AQ имеем CQ= a, BC=CQ=a.

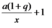
2) CKQ ~ DKA по двум углам, тогда Так как а = BC, b =AD, то

Ответ:







Date: 2015-07-02; view: 5245; Нарушение авторских прав



mydocx.ru - 2015-2026 year. (2.901 sec.) Все материалы представленные на сайте исключительно с целью ознакомления читателями и не преследуют коммерческих целей или нарушение авторских прав - Пожаловаться на публикацию