Главная Случайная страница


Полезное:

Как сделать разговор полезным и приятным Как сделать объемную звезду своими руками Как сделать то, что делать не хочется? Как сделать погремушку Как сделать так чтобы женщины сами знакомились с вами Как сделать идею коммерческой Как сделать хорошую растяжку ног? Как сделать наш разум здоровым? Как сделать, чтобы люди обманывали меньше Вопрос 4. Как сделать так, чтобы вас уважали и ценили? Как сделать лучше себе и другим людям Как сделать свидание интересным?


Категории:

АрхитектураАстрономияБиологияГеографияГеологияИнформатикаИскусствоИсторияКулинарияКультураМаркетингМатематикаМедицинаМенеджментОхрана трудаПравоПроизводствоПсихологияРелигияСоциологияСпортТехникаФизикаФилософияХимияЭкологияЭкономикаЭлектроника






Задание 3. Моделирование динамических систем





Задание:

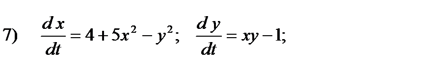
Дана система

  • найти точки равновесия
  • исследовать их тип
  • построить фазовые траектории

 

x = 0.4472136 y = 2.236068

 

1. x1 = -1, y1 = 0

A =

 

4.472136 - 4.472136

0.4472136 2.236068

spec(A)

ans =

3.354102 + 0.8660254i

3.354102 - 0.8660254i

– неустойчивый фокус

 

Построим фазовые траектории:

function dy = syst (t, x) dy =zeros(2,1); dy (1)=4+5* x (1)^2- x (2)^2; dy (2)= x (1)* x (2)-1;endfunctionN=100;rs=1;df=2*%pi/(N-1);fori=1:N xn=xs1+rs*cos(df*(i-1)); yn=ys1+rs*sin(df*(i-1)); x0=[xn;yn];t0=0;t=0:0.001:0.1;ym=ode(x0,t0,t, syst); xf=ym(1,:); yf=ym(2,:); plot (xf,yf)end

C инверсным параметром t:

 

 


 

Заключение

 

К настоящему времени круг вопросов, связанных с разработкой и использованием численных методов, а также с построением на их основе вычислительных алгоритмов, выделился в самостоятельный быстро развивающийся и обширный раздел — вычислительную математику.

Если при численном подходе дискретизации подвергалась полученная система математических соотношений, то при имитационном подходена отдельные элементы разбивается сам объект исследования. В этом случае система математических соотношений для объекта-системы в целом не записывается, а заменяется некоторым алгоритмом, моделирующим ее поведение и учитывающим взаимодействие друг с другом моделей отдельных элементов системы. Модели отдельных элементов могут быть как анали­тическими, так и алгебраическими.

Алгоритмические модели, использующие как численный, так и имитационный подход, не позволяют получить решения задач в аналитической форме, что затрудняет и усложняет процесс анализа результатов моделирования. Так как применение моделей данного типа возможно лишь при наличии вычислительной техники, то их эффективность зависит от мощности и быстродействия ЭВМ. Несомненным достоинством алгоритмических моделей является отсутствие принципиальных ограничений на сложность модели, что позволяет применять их для исследования систем произвольной сложности.

Использование математической модели, построенной алгоритмическими методами, аналогично проведению экспериментов с реальным объектом, только вместо реального эксперимента с объектом проводится вычислительный эксперимент с его моделью. Задаваясь конкретным набором значений исходных параметров модели, в результате вычислительного эксперимента находим конкретный набор приближенных значений искомых параметров. Для исследования поведения объекта при новом наборе исходных данных необходимо проведение нового вычислительного эксперимента.


 

Список используемой литературы

1. http://ru.wikipedia.org/wiki/

2. http://help.scilab.org/


 







Date: 2015-07-17; view: 457; Нарушение авторских прав



mydocx.ru - 2015-2026 year. (0.763 sec.) Все материалы представленные на сайте исключительно с целью ознакомления читателями и не преследуют коммерческих целей или нарушение авторских прав - Пожаловаться на публикацию