Главная Случайная страница


Полезное:

Как сделать разговор полезным и приятным Как сделать объемную звезду своими руками Как сделать то, что делать не хочется? Как сделать погремушку Как сделать так чтобы женщины сами знакомились с вами Как сделать идею коммерческой Как сделать хорошую растяжку ног? Как сделать наш разум здоровым? Как сделать, чтобы люди обманывали меньше Вопрос 4. Как сделать так, чтобы вас уважали и ценили? Как сделать лучше себе и другим людям Как сделать свидание интересным?


Категории:

АрхитектураАстрономияБиологияГеографияГеологияИнформатикаИскусствоИсторияКулинарияКультураМаркетингМатематикаМедицинаМенеджментОхрана трудаПравоПроизводствоПсихологияРелигияСоциологияСпортТехникаФизикаФилософияХимияЭкологияЭкономикаЭлектроника






Нормальные случайные величины





Нормальная случайная величина: :
Стандартная нормальная случайная величина:
Любая нормальная случайная величина: , где
Таким образом достаточно получить датчик стандартной нормальной случайной величины.

Методы:

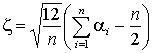
1. Метод суммирования

/* ЦПТ: Для независимых случайных величин произвольным распределением

.*/

Пусть ясно, что , . Тогда Если взять , то получим

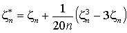
Существуют более точные формулы, типа . В частности, для :

2. Метод обратной функции
- интеграл вероятностей или функция Лапласа.
Свойство:
Метод обратной функции:

Очевидно, что

Т. о. заменяют аппроксимациями, например:

 

где
(Погрешность=0.003).

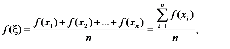
Задание 1.Метод Монте – Карло.

Основывается на теореме о среднем: если на отрезке задана некоторая непрерывная интегрируемая функция то найдется такая точка, принадлежащая этому отрезку, что справедлива формула

(8.11)

Т.е. площадь криволинейной трапеции можно заменить площадью прямоугольника , одной из сторон которого является отрезок , а численное значение другой стороны — (рис.1).

Выберем на отрезке случайных точек Можно

показать, что при достаточно большом выполняется условие

т.е. — среднее между ординатами случайно выбранных точек

— количество испытаний (случайных выборок).

 

Рис.1

 

Для двойного интеграла метод Монте-Карло дает следующую формулу интегрирования:

(8.12)

где — оценка для случайных выборок;

— независимые случайные числа на отрезках

Метод Монте-Карло, как и классические методы, дает приближенные результаты. Погрешность метода Монте-Карло

(8.13)

В отличие от классических методов эта погрешность не зависит от вида подынтегральной функции и от кратности интеграла. Заметим, что ошибку можно сделать сколь угодно малой, увеличивая число испытаний .

 







Date: 2015-07-17; view: 491; Нарушение авторских прав



mydocx.ru - 2015-2026 year. (1.211 sec.) Все материалы представленные на сайте исключительно с целью ознакомления читателями и не преследуют коммерческих целей или нарушение авторских прав - Пожаловаться на публикацию