Главная Случайная страница


Полезное:

Как сделать разговор полезным и приятным Как сделать объемную звезду своими руками Как сделать то, что делать не хочется? Как сделать погремушку Как сделать так чтобы женщины сами знакомились с вами Как сделать идею коммерческой Как сделать хорошую растяжку ног? Как сделать наш разум здоровым? Как сделать, чтобы люди обманывали меньше Вопрос 4. Как сделать так, чтобы вас уважали и ценили? Как сделать лучше себе и другим людям Как сделать свидание интересным?


Категории:

АрхитектураАстрономияБиологияГеографияГеологияИнформатикаИскусствоИсторияКулинарияКультураМаркетингМатематикаМедицинаМенеджментОхрана трудаПравоПроизводствоПсихологияРелигияСоциологияСпортТехникаФизикаФилософияХимияЭкологияЭкономикаЭлектроника






Передача сигналов в систему





Сигнал – проявление движения субстанций: механическое движение, распространение тепла и вещества, электрического тока, света, радиоволны.

При получении информации о протекании процессов строительных технологий в качестве сигналов обычно принимаются механические или физико-химические параметры, изменяющиеся в этом процессе: плотность, прочность, температура, давление, концентрация, пористость. Следует различать первичное изменение (движение) и вторичное, инициируемое первичным. Так, например, изменение плотности, являющееся первичным сигналом к завершению какого-либо процесса, является инициатором изменения скорости прохождения ультразвука, изменению массы, в ряде случаев изменению электрического сопротивления, т.е. к тем вторичным сигналам, которые нужно и можно наблюдать. Важно при выборе сигнала, который характеризует процесс, определить труд, который будет менее всего подвержен влиянию аналогичных процессов либо побочных процессов, которые наблюдать не нужно.

Сигналы характеризуются направленностью действия и его видом. Обычно сигналы подаются тремя способами:

1) ступенчатое возмущение – величину входного сигнала x ступенчато изменяют до нового значения и получают кривую отклика.

2) импульсное возмущение – входной сигнал быстро изменяют в обоих направлениях и получают кривую отклика,

3) синусоидальное возмущение – входной сигнал изменяют по законам гармонических колебаний, получая на выходе измененную по амплитуде и фазе кривую.

Любой процесс строительной технологии можно охарактеризовать как процесс, имеющий некоторую инерцию или задержку, и в зависимости от скорости протекания (изменения) его процессов в сравнении с другими процессами его входные-выходные сигналы можно охарактеризовать как ступенчатое или импульсное возмущение либо синусоидальное при цикличном изменении.

Процессы прессования, резки, штампования могут характеризоваться сигналами импульсного возмущения, а процессы химических преобразований, твердения, изменения концентрации, ступенчатым возмущением.

Типы звеньев:

1) безынерционное (пропорциональное). y = KX.

2) инерционное (апериодическое, емкостное, статическое, релаксационное)

Наиболее характерно для процессов строительных технологий, обладающих инерцией по отношению к поступающему воздействию (аппараты с мешалками, различные емкости, системы уплотнения и т.д.). Инерционному звену соответствует так называемая модель идеального смешивания.

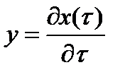
3) дифференцирующие звено . Этому звену соответствует модель идеального вытеснения,

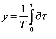
4) интегрирующее звено (астатическое, нейтральное). . Для данного звена при ступенчатом изменении входного сигнала выходной сигнал пропорционален интегралу входного сигнала.

5) звено чистого запаздывания (транспортного запаздывания). Характеризуется временем транспорта субстанции по длине аппарата или транспортных коммуникаций. Выходной сигнал повторяет форму входного сигнала со сдвигом по времени на величину запаздывания

6) колебательное звено. В этом звене при ступенчатом изменении входной величины выходная величина стремиться к новому значению, совершая вокруг него некоторые затухающие колебания.

Помехи технологических систем – искажения сигнала, вызванные другими нежелательными воздействиями, приводящие к искажениям передаваемой информации, в ряде случаев искажениями получаемой информации, нарушению нормального хода функционирования технологических систем, изменению уровня пределов достоверности, понижению уровня информативности и повышению уровня полезных сигналов, несущих информацию.

При реализации технологического процесса часто наблюдается его «невоспроизводимость» (каждый раз он протекает несколько иначе), что объясняется влиянием ряда неуправляемых стохастических факторов и различными уровнями зашумленности составляющих процессов.

В теории информации есть понятие относительного определяемогокак отношение мощности сигнала к мощности помехи и чем выше это соотношение, тем выше помехозащищенность.

При анализе математического описания в основном различаются явления двух типов: дискретно и непрерывно изменяющиеся.

Дискретные состоят из отдельных событий, множество которых может быть конечным или бесконечным, не обязательно счетным, т.е. таким, которое можно описать с помощью ряда чисел. К ним относятся: строение материалов, энергетический уровень электронов в атоме, характеристики технологических линий и т.д.

Непрерывные заполняют исследуемый промежуток таким образом, что разделить рассматриваемое явление на отдельные события, которые можно пронумеровать, не представляется возможным. Замена непрерывного сигнала дискретным называется квантованием, что повышает уровень помехозащищенности, упрощает модели управления, но ухудшает чувствительность системы и ее управляемость, поэтому должна применяться с осторожностью.


Обратная связь, т.е. отраженное влияние на процесс его собственного действия для его усиления (убыстрения) положительная обратная связь или для его замедления с отрицательной обратной связью. Системы с обратной связью могут быть с запаздыванием, что характерно для большинства процессов строительной технологии, без запаздывания (наиболее сложные системы, работающие с предварением).

В системах с запаздыванием информация накапливается, и ее воздействие на процесс осуществляется по истечении некоторого времени (инерционность процесса). Такая технология характерна для процессов строительной технологии при накоплении и обработке статистической информации, так как в наибольшем количестве случаев без накопления достаточного количества испытаний нельзя говорить о каких-то стабильных характеристиках, и соответственно пытаться их достигать путем регулирования.

Компенсация запаздывания и работа с предварения составляют основную задачу теории и практики автоматического управления технологическими процессами строительной технологии.

Работа ряда технологических систем с нужной эффективностью возможна только при достижении некоторого минимального уровня сведений о системе и с другой стороны уровня чувствительности собственно системы.

 







Date: 2015-07-17; view: 513; Нарушение авторских прав



mydocx.ru - 2015-2026 year. (0.621 sec.) Все материалы представленные на сайте исключительно с целью ознакомления читателями и не преследуют коммерческих целей или нарушение авторских прав - Пожаловаться на публикацию