Главная Случайная страница


Полезное:

Как сделать разговор полезным и приятным Как сделать объемную звезду своими руками Как сделать то, что делать не хочется? Как сделать погремушку Как сделать так чтобы женщины сами знакомились с вами Как сделать идею коммерческой Как сделать хорошую растяжку ног? Как сделать наш разум здоровым? Как сделать, чтобы люди обманывали меньше Вопрос 4. Как сделать так, чтобы вас уважали и ценили? Как сделать лучше себе и другим людям Как сделать свидание интересным?


Категории:

АрхитектураАстрономияБиологияГеографияГеологияИнформатикаИскусствоИсторияКулинарияКультураМаркетингМатематикаМедицинаМенеджментОхрана трудаПравоПроизводствоПсихологияРелигияСоциологияСпортТехникаФизикаФилософияХимияЭкологияЭкономикаЭлектроника






Релейная защита и автоматика





В электрических сетях для защиты линий, трансформаторов, двигателей, преобразовательных агрегатов, применяют релейную защиту, которая является основным видом электрической автоматики.

Релейной защитой называют специальные защитные устройства, выполненные при помощи реле и других аппаратов и предназначенные для отключения выключателем в установках напряжением выше 1кВ или автоматическим выключателем в установках напряжением до 1кВ поврежденного элемента системы электроснабжения, если данное повреждение представляет собой непосредственную опасность для этой системы, или воздействующие на сигнализацию, если опасность отсутствует.

К релейной защите предъявляют следующие требования:

избирательность (селективность) действия;

быстродействие;

надежность действия;

чувствительность.

В настоящее время применяют следующие виды автоматики: автоматическое повторное включение (АПВ) воздушных и кабельных линий, трансформаторов, сборных шин, электродвигателей; автоматическое включение резервного питания и оборудования (АВР); автоматическое регулирование мощности компенсирующих устройств; автоматическая аварийная разгрузка по частоте потребителей на стороне высокого и низкого напряжения (АЧР); самозапуск синхронных и асинхронных двигателей.

Выбор схемы и расчет релейной защиты трансформатора КП4

В процессе эксплуатации возможны повреждения на трансформаторах и на их соединениях с коммутационными аппаратами, а также опасные ненормальные режимы работы, не связанные повреждением трансформатора или его соединений. Возможность повреждений и ненормальных режимов обуславливает необходимость установки на трансформаторах защитных устройств. В качестве таковых применяются: токовая отсечка, дифференциальная, газовая, температурная защиты. Система релейной защиты трансформатора имеет два назначения: основное −автоматическое, без выдержки времени, отключение трансформатора от энергосистемы при возникновении внутреннего к.з. и дополнительное – сигнализация или отключение трансформатора с выдержкой времени при возникновении опасного ненормального режима работы.

 

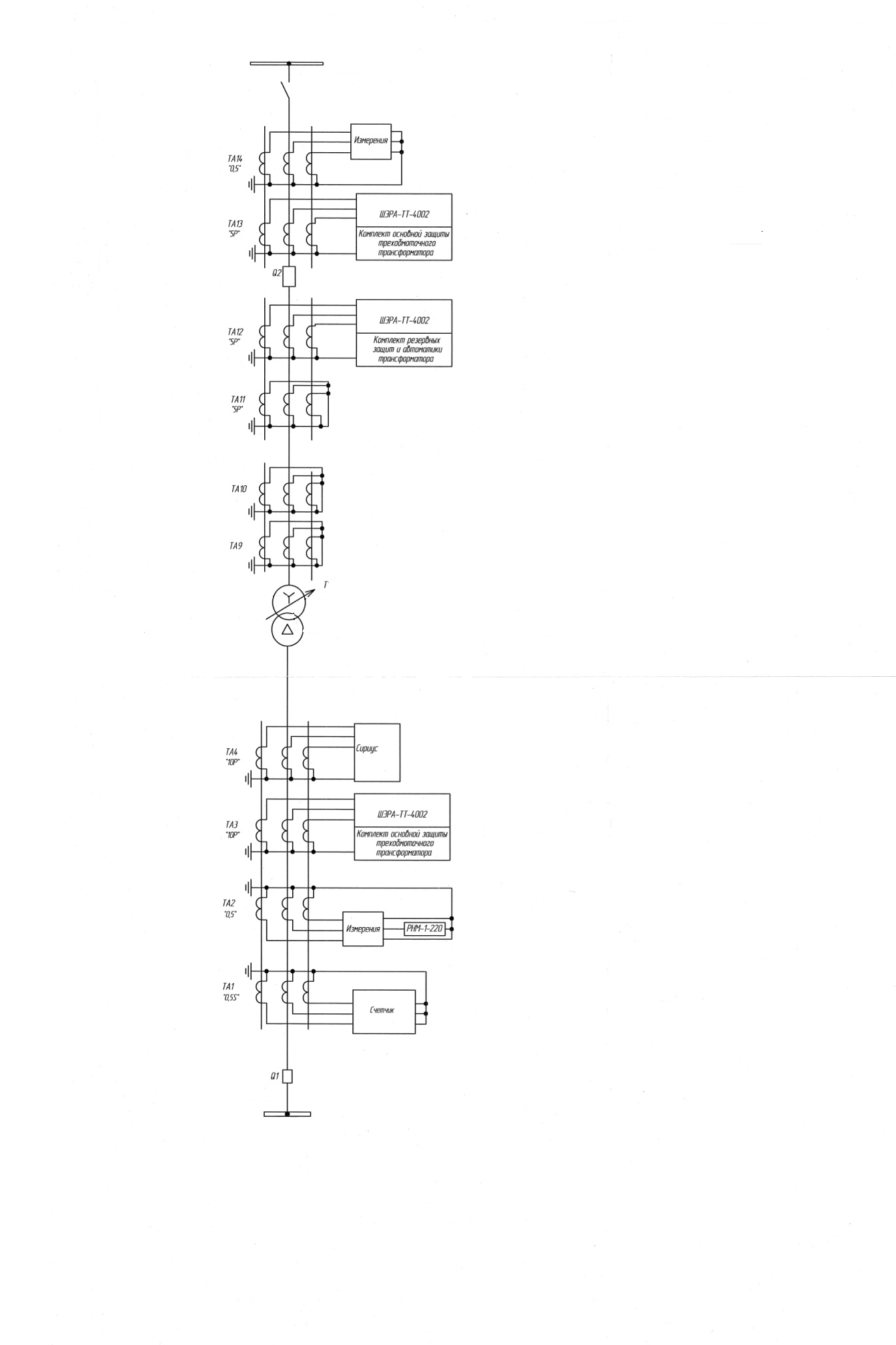
Рисунок 11 − Принципиальная схема релейной защиты

Токовая отсечка

Токовая отсечка без выдержки времени включается на те же трансформаторы, что и максимальная токовая защита от внешних к.з. Токовая отсечка выполняется для трансформаторов питающихся от сети с большим током замыкания на землю. Токовая отсечка действует на отключение трансформатора со всех его сторон.

Ток срабатывания защитыIсз , кА, по условию отстройки от максимального тока к.з. за трансформатором (сторона НН)

 

(87)

 

где = 1 3 − коэффициент надежности,

кА.

Ток срабатывания защитыIсз , кА, по условию отстройки от броска тока намагничивания, возникающего при включении трансформатора под напряжение

 

(88)

 

где − коэффициентт отстройки защиты от бросков тока намагничивания,

− номинальный ток трансформатора,

 

А (89)

 

кА.

Продольная дифференциальная защита

В данной защите используется Сириус 3Т имеющие трансформаторы тока ТТ, обеспечивающие снижение токов, обусловленных бросками тока намагничивания и токов небаланса, возникающих во время переходного процесса при внешних к.з. и компенсирующих неравенства вторичных токов трансформаторов тока.

1. Первичные номинальные токи защищаемого трансформатора

А.

А.

К установке принимаются трансформаторы тока:

ТФЗМ-35А-300/5

ТОЛ-10-600/5

Схема соединения вторичных обмоток трансформаторов:

Сторона ВН − ∆, коэффициент схемы ,

Сторона НН – Y, коэффициент схемы 1.

Расчетный коэффициент трансформации nТ

 

(90)

 

(91)

 

Стандартный коэффициент трансформации

.

.

2. Вторичные номинальные токи в плечах дифференциальной защиты

 

А (92)

 

А (93)

 

За основную, принимаетсясторона с большим значением вторичного тока в плечах дифференциальной защиты и все расчеты приводятся к основной стороне.

3. Ток срабатывания защиты из условия отстройки.

а) от броска тока намагничивания

 

(94)

 

где = 1,3 − коэффициент отстройки дифференциальной защиты от бросков

тока намагничивания.

А.

б) от максимального тока небаланса

 

(95)

 

где = 1,3 − коэффициент отстройки дифференциальной защиты от максимального тока небаланса.

где − первичный ток небаланса обусловленный погрешностью (токов намагничивания) трансформаторов тока, питающих дифференциальную защиту


 

(96)

 

где − коэффициент, учитывающий переходный режим,

− коэффициент, учитывающий однотипность трансф. тока,

− коэффициент, учитывающий 10%-ую погрешность трансф. тока,

− максимальное значение тока к.з. за трансформатором, приведенное к основной стороне трансформатора, А

А.

А.

− первичный ток небаланса обусловленный регулированием напряжения под нагрузкой, А

 

(97)

 

где − полный диапазон регулирования напряжения.

А.

−обусловлена неточностью установки расчетного числа (целого) витков уравнительных обмоток, А

 

(98)

 

где и − соответственно расчетное и установленное число витков обмоток для не основной стороны.

На первом этапе расчета дифференциальной защиты не учитывается т.е.

 

А (99)

 

За расчетную величину тока срабатывания защиты принимается большее значение.

4.Производится предварительная проверка чувствительности защиты при повреждениях в зоне ее действия.

 

 

(100)

 

где − минимальное значение тока к.з. (обычно двухфазное в зоне защиты),

− коэффициент, учитывающий схему соединения трансформаторов тока.

>2, защита чувствительна.

 

5. Ток срабатывания реле, отнесенный к стороне с большим током в плече Iс.р., А

 

(101)

 

А.

6. Расчетное число витков обмотки на основной стороне, Wосн.р.

 

(102)

 

где − намагничивающая сила (ампер∙витков).

, принимается 6 витков.

7. Определяется число витков обмотки, по которой проходит ток не основного плеча. Указанные витки находятся из уравнения баланса намагничивающих сил при внешнем к.з. при условии, что по обеим обмоткам защищаемого трансформатора проходят равные номинальные мощности.

 

(103)

 

где − номинальный вторичный ток плеча защиты основной стороны,

− номинальный вторичный ток другого плеча защиты.

принимается 6 витков.

8. Ток небаланса с учетом .

А.

А.

9. Повторно определяется первичный ток срабатывания защиты и вторичный

ток срабатывания реле

А.

А.

А.

Если окажется недостаточно отстроенным от тока небаланса, то необходимо принять новое значение числа витков дифференциальной обмотки, ближайшее меньшее, расчетного значения и провести пересчет параметров.

 

(104)

 

10. Проверка чувствительности защиты при повреждениях в зоне действия.

>2, защита чувствительна.

При недостаточной чувствительности из-за большего значения тока небаланса приходится применять более сложные реле с торможением.

Газовая защита

Газовая защита устанавливается на трансформаторах, автотрансформаторах и реакторах с масляным охлаждением, имеющих расширители.

Согласно ПУЭ для трансформаторов мощностью 2600 кВ∙А должна предусматриваться газовая защита от повреждений внутри кожуха трансформатора. Газовая защита основана на использовании явления газообразования в баке поврежденного трансформатора. Интенсивность газообразования зависит от характера и размеров повреждения. Это дает возможность выполнить газовую защиту, способную различать степень повреждения и в зависимости от этого действует на сигнал или отключение.


Газовая защита выполнена на реле типа РГЧЗ-66. На переменном оперативном токе самоудерживание достигается путем шунтирования нижнего контакта газового реле верхним замыкающим контактом реле. Самоудерживание автоматически снимается после разрыва цепи отключения вспомогательным контактом выключателя.

Максимальная токовая защита

Ненормальные режимы работы трансформаторов обусловлены внешними к.з. и перегрузками. В этих случаях в обмотках трансформатора появляются

большие токи. В качестве защит от внешних к.з. применяются токовые защиты с выдержкой времени и включением реле на полные токи фаз и на их симметричные составляющие. На трансформаторах мощностью менее 1MB∙A, предусматривается максимальная токовая защита (МТЗ), действующая на отключение. Совместно с

токовой отсечкой МТЗ полностью защищает трансформатор и является вместе с тем его защитой от сверхтоков внешних к.з.

Ток срабатывания МТЗ выбирается исходя из условий отстройки (несрабатывания) от перегрузки. Ток перегрузки определяется из рассмотрения двух режимов:

а) отключение параллельно работающего трансформатора, А

 

(105)

 

где − номинальный вторичный ток трансформатора,

А.

б) автоматическое подключение нагрузки при действии АВР

 

 

(106)

 

где − установившийся ток подключившейся нагрузки,

А

Ток срабатывания защиты Iс.з., А

 

(107)

 

где − коэффициент отстройки,

− коэффициент самозапуска обобщенной нагрузки,

− коэффициент возврата.

А.

Ток срабатывания реле

А.

Принимается Сириус 2МЛ.

Коэффициент чувствительности МТЗ должен быть:

при к.з. на стороне НН трансформатора,

при к.з.в конце линий, отходящих от шин низшего напряжения,

Выдержка времени МТЗ выбирается на ступень больше защиты предыдущих элементов.

 

(108)

 

где с − ступень селективности защиты,

−максимальная выдержка времени защит предыдущих элементов.

Токовая защита от перегрузок

На трансформаторах подверженных перегрузкам защита выполняется с действием на сигнал.

Ток срабатываниязащитыIс.з., А

 

(109)

 

где − коэффициент отстройки,

− коэффициент возврата реле.

А.

Ток срабатывания реле Iс.р., А

А.

Выдержка времени принимаются на ступень селективности больше, чем время срабатывания защиты трансформатора от внешних к.з.

.

Температурная сигнализация

Температуру масла в трансформаторах большой мощности контролируют манометрическими термометрами ТСМ-100 или ТКП-180Cr, принцип действия которых основан на строгой зависимости давления насыщенных паров заполнителя термосистемы (капилляра баллонов) от


температуры измеряемой среды (масла). При повышении температуры давление паров в термобаллоне, соединенном с корпусом капиллярной трубкой, увеличивается, при этом специальное устройство в корпусе термосигнализатора действует на стрелку, которая показывает на шкале температуру масла. При достижении предельно допустимой температуры контактная система прибора замыкает цепь тока на сигнал. Дальнейший рост температуры приводит к замыканию контактов цепи отключения трансформатора.

Температурное реле предназначено для защиты от недопустимого нагрева изоляции обмоток трансформатора. Измерительной частью реле является термодатчик ДТР-ЗМУ(Т), а исполнительным органом служит электромеханическое промежуточное реле.

Рисунок 12 − Схема включения реле температурной сигнализации

 

Выбор схем автоматики на подстанции

На подстанциях энергосистемы, в число которых входит и подстанция должны предусматриваться следующие виды автоматики:

1) АПВ линий или фаз линий, шин и прочих электроустановок после их автоматического отключения;

2) АВР резервного питания или оборудования;

3) регулирования напряжения;

4) ограничения снижения частоты;

5) ограничения снижения напряжения;

6) ограничения повышения напряжения;

7) предотвращения перегрузки оборудования;

8) диспетчерского контроля и управления.

Автоматическое повторное включение

Устройства АПВ должны предусматриваться для быстрого

восстановления питания потребителей или межсистемных и внутриси­стемных связей путем автоматического включения выключателей, от­ключенных устройствами релейной защиты.

Должно предусматриваться автоматическое повторное включение:

1) воздушных и смешанных (кабельно-воздушных) линий всех типов напряжением выше 1 кВ. На кабельных линиях 35 кВ и ниже АПВ рекомендуется применять в случаях, когда оно может быть эффективным в связи со значительной вероятностью повреждений с образованием открытой дуги (например, наличие нескольких промежу­точных сборок, питание по одной линии нескольких подстанций), а также с целью исправления неселективного действия защиты.

2) шин электростанций и подстанций;

3) трансформаторов;

Для осуществления АПВ по п. 1—3 должны также предусматривать­ся устройства АПВ на обходных, шиносоединительных и секционных выключателях.

К устройствам АПВ предъявляется ряд требований:

- обеспечение установленной кратности действия;

- исключение возможности действия после отключения выключателя персоналом;

- исключение возможности действия при аварийном отключении выключателя от устройств защиты сразу после его включения персоналом вручную, дистанционно или телемеханически;

- автоматический возврат устройства АПВ в исходное состояние.

Для выполнения однократного АПВ используются комплектные реле повторного включения типа Сириус 2МЛ.

Автоматическое включение резервного питания (АВР)

Автоматическое устройство, осуществляющее вклю­чение резервного источника питания, называется уст­ройством АВР.

К устройствам АВР предъявляются следующие тре­бования:

- срабатывание при исчезновении питания от рабочего источника по любым причинам;

- однократность действия;

- включение резервного источника только после отклю­чения рабочего и только при наличии напряжения на резервном источнике.

Для обеспечения первого требования устройство АВР должно иметь пусковой орган, срабатывающий при ис­чезновении питания на резервируемых шинах подстанции. В качестве пускового органа чаще всего используется минимальная защита напряжения, часто называемая пуско­вым органом напряжения (ПОН). Второе требование предотвращает многократное включение

выключателя резервного источника на устойчивое к. з. Условие вклю­чения резервного источника только после отключения рабочего предотвращает угрозу развития повреждения в рабочем источнике питания. При отсутствии напряжения

на резервном источнике включение его выключателя бес­полезно.

Пусковой орган напряжения устройства АВР пред­ставляет собой два минимальных реле напряжения типа РСН-16-28-1 и реле времени РВ-132 УХ.

Обмотки реле напряжения включены на между­фазные напряжения разных фаз, а контакты реле соеди­нены последовательно. Применение двух реле напряже­ния исключает ложное действие ПОН при перегорании предохранителя в одной из фаз измерительного ТН.

Автоматическое снижение частоты

Автоматическое ограничение снижения частоты должно вы­полняться с таким расчетом, чтобы при любом возможном дефиците мощности в энергообъединении, энергосистеме, энергоузле возможность снижения частоты ниже уровня 45 Гц была исключена полностью, время работы с частотой ниже 47 Гц не превышало 20 с, а с частотой ниже 48,5 Гц - 60 с.

Система автоматического ограничения снижения частоты осуществляет:

- автоматический частотный ввод резерва;

- автоматическую частотную разгрузку (АЧР);

- дополнительную разгрузку;

- включение питания отключенных потребителей при восстановлении частоты (ЧАПВ);

- выделение электростанций или генераторов со сбалансированной нагрузкой, выделение генераторов на питание собственных нужд элект­ростанций.

Устройства АЧР должны устанавливаться, как правило, на подстан­циях

энергосистемы. Допускается их установка непосредственно у потре­бителей под контролем энергосистемы.

Действие АЧР должно быть согласовано с работой устройств АПВ и АВР. Недопустимо уменьшение объема АЧР за счет действия устройств АВР или персонала.

Устройства ЧАПВ используются для уменьшения перерыва питания отключенных потребителей в условиях восстановления частоты в результате реализации резервов генерирующей мощности, ресинхрони­зации или

синхронизации по отключившейся электропередаче.

При размещении устройств и распределении нагрузки по очередям ЧАПВ следует учитывать степень ответственности потребителей, вероят­ность их отключения действием АЧР, сложность и длительность неавто­матического восстановления электропитания (исходя из принятого по­рядка обслуживания объектов). Как правило, очередность включения нагрузки от ЧАПВ должна быть обратной по сравнению с принятой для АЧР.

Схемы устройств АЧР—ЧАПВ состоят из центрального блока, воспринимающего информацию об уровне частоты в контроли­руемой сети, вырабатывающего сигналы на отключение выключателей при АЧР и сиг­налы, разрешающие ЧАПВ, магистральных шин АЧР, по которым сигналы от

центрального блока передаются к индивидуальным цепям АЧР — ЧАПВ отдельных присоединений, и самих индивидуальных цепей, осуществляющих вместе с аппаратурой управления выключателя присоединения непосредственную

реализацию команды, полученную из центрального блока, на отключение или включение выключателя.

Одним измерительным органом для УАЧР и ЧАПВ в центральном блоке служит полупроводниковое реле понижения частоты типа РЧ-1, способное правильно работать в условиях сопровождающего дефицит активной мощности снижения напряжения при U ≥ 0,2×Uкон. Диапазон установок срабатывания реле 45-50 Гц, а установок возврата 46-50 Гц. Имеющиеся частоты срабатывания и возврата в зависимости от температуры окружающей среды составляют 0,25 Гц интервале -20°- +40°С и 0,35 Гц в интервале - 40° - + 40 °С. Реле имеет встроенный элемент выдержки времени срабатывания со ступенчатой регулировкой 0,15, 0,3, 0,5 с. Время возврата реле не превышает 0,15 с.

Реле срабатывает сначала на установке определенной очереди АЧР, после чего перестраивается на установку возврата, соответствующую частоте сети, при которой разрешается подключение потребителей.







Date: 2015-07-17; view: 1551; Нарушение авторских прав



mydocx.ru - 2015-2026 year. (2.167 sec.) Все материалы представленные на сайте исключительно с целью ознакомления читателями и не преследуют коммерческих целей или нарушение авторских прав - Пожаловаться на публикацию