Главная Случайная страница


Полезное:

Как сделать разговор полезным и приятным Как сделать объемную звезду своими руками Как сделать то, что делать не хочется? Как сделать погремушку Как сделать так чтобы женщины сами знакомились с вами Как сделать идею коммерческой Как сделать хорошую растяжку ног? Как сделать наш разум здоровым? Как сделать, чтобы люди обманывали меньше Вопрос 4. Как сделать так, чтобы вас уважали и ценили? Как сделать лучше себе и другим людям Как сделать свидание интересным?


Категории:

АрхитектураАстрономияБиологияГеографияГеологияИнформатикаИскусствоИсторияКулинарияКультураМаркетингМатематикаМедицинаМенеджментОхрана трудаПравоПроизводствоПсихологияРелигияСоциологияСпортТехникаФизикаФилософияХимияЭкологияЭкономикаЭлектроника






Выбор числа и мощности трансформатора





 

Выбор числа трансформаторов на подстанции производится в соответствии с категориями электроприемников.

Так как на предприятии все потребители I и II категорий, то принимаем к установке два трансформатора.

Выбор мощности трансформаторов производится в соответствии с ГОСТ 14209-85.

Полная расчетная мощность предприятия Sрп, МВА, определяется с учётом значения реактивной мощности, выдаваемой энергосистемой

 

; (5)

 

где Ррп - активная расчетная мощность предприятия;

Qэ1 - экономическое значение реактивной мощности передаваемое предприятию от энергосистемы в часы наибольших нагрузок энергосистемы;

 

Qэ1 = Ррп∙tgφэ1; (6)

 

где tgφэ1 - экономическое значение коэффициента реактивной мощности

 

(7)

 

где - экономическое значение коэффициента реактивной мощности по нормативному методу;

 

(8)

 

где = 0,5 - базовый коэффициент реактивной мощности при напряжении внешнего электроснабжения 110 кВ;

К - коэффициент, учитывающий отличие стоимости электроэнергии в

различных энергосистемах (для «Оренбургэнерго» К = 0,8);

dM - отношение потребления активной мощности потребителем в квартале максимальной нагрузки энергосистемы к потреблению в квартале его максимальной нагрузки (при курсовом и дипломном проектировании d =1);

 

 

K1 - отношение максимума активной нагрузки потребителя в i-ом квартале к ее значению в квартале максимальной нагрузки потребителя (для учебного проектирования K1 = 1);

tgφн - натуральный коэффициент реактивной мощности;

tgφэ1 = tgφэн = 0,625

 

Qэ1 = 49,7773∙0,625 = 31,1 Мвар;

;

 

Для максимального суточного графика работы потребителей подстанции рисунок 4 находим среднеквадратичную мощность Scк, по формуле

 

(9)

 

Графики нагрузок делаются в Excel.

 

 

Ориентировочная номинальная мощность каждого из трансформаторов Sор, МВА, вычисляется по формуле

 

(10)

 

где n - число трансформаторов на подстанции;

 

 

Значение Sор округляется до ближайшего большего значения по шкале стандартных номинальных мощностей силовых трансформаторов. Так как планируется строительство новых установок и подстанций, то принимаем трансформатор: ТРДН – 32000/110.

Выбранные трансформаторы проверяются на систематическую перегрузку

 

(11)

 

 

Пересечением линии суммарной номинальной нагрузки с графиком находится участок наибольшей перегрузки (зона перегрузки лежит выше указанной линии).

 

 

Рисунок 4 – Суточный график электрических нагрузки

Проверим работу трансформаторов в нормальном режиме. При этом определяется коэффициент нормальной нагрузки К1

 

(12)

 

В нормальном режиме трансформаторы работают без перегрузки.

Проверим работу трансформаторов в аварийном режиме при этом учтем, что на двух трансформаторных подстанциях в аварийном режиме работает один трансформатор, а другой отключен все двадцать четыре часа, т.е. hав = 24ч. Оп­ределим коэффициент аварийной перегрузки К2ав по формуле

 

(13)

 

 

Определим коэффициент аварийной перегрузки

при t1 = -20°С Кавдоп = 1,6; t2 = -10°C Кавдоп = 1,5 hав = 24ч; тогда

 

 

К2ав. < К2ав.доп.

 

Окончательно к установке принимаются трансформаторы ТРДН – 32000/110. Результат выбора трансформатора заносим в таблицу 2.

 

Таблица 2 – Паспортные данные трансформатора

Тип трансформатора Uвн, кВ Uнн, кВ Uнн, кВ ΔPхх, кВт ΔPк.з., кВт Iх,% Uк.з.,%
ТРДН – 32000/110   10,5 6,3     0,65 10,5

 

Потери активной мощности в трансформаторах ∆Рт, кВт, определяются по формуле

 

ΔPт = N(ΔPxн2·ΔPK3), (14)

 

где ΔРхх – мощность холостого хода трансформатора, кВт;

βн – коэффициент загрузки трансформатора;

ΔРк – мощность короткого замыкания трансформатора, кВт.

 

∆Рт = 2∙(80+0,642∙195) = 319,7 кВт

 

Потери реактивной мощности в трансформаторах ∆Qт, квар, находятся по формуле

 

ΔQт= n∙( ∙Sнт+ βн2∙ Sнт) (15)

 

где Iхх – ток холостого хода трансформатора, %;

Uк – напряжение короткого замыкания трансформатора, %.

 

ΔQт= 2∙( ∙32000 + 0,642∙32000) = 3168,5 квар


 

Потери электроэнергии в трансформаторах ГПП ∆W, МВт∙ч, определяются по формуле

 

∆W = N(∆Px∙Tr+ β2доп∙∆Pk∙τ); (16)

 

где τ – время наибольших потерь;

 

(17)

 

где Тм – число часов использования максимума нагрузки;

 

, (18)

 

где Wгод – годовой расход электроэнергии, определяется по графикам нагрузок по формуле

Wгод=365 Piti (19)

 

Wгод = 365∙(0,76+0,75∙2+0,74+0,73+0,725∙3+0,71+0,7∙5+0,69+0,68+

+0,67∙4+0,64+0,57∙3) = 6028ч.

Tmax = = 6028 ч.

∆W = 2(80∙8760+0,642∙195∙4628) = 2140,9 МВт∙ч.

3.3 Расчет токов короткого замыкания

 

Токи короткого замыкания рассчитываются для точек К1 и К2 трехфазного короткого замыкания: 1) К1 на вводах трансформаторов ГПП; 2) К2 на шинах низшего напряжения трансформаторов.

 

Рисунок 5 – Схема замещения

 

1) Произведем расчет тока кз в точке К1:

Зададимся базисными величинами:

SБ1 = 100 МВА;

UБ1 = 115 кВ;

Sc = 4200 МВА.

 

(20)

(21)

(22)

(23)

Рисунок 6 – Схема замещения

 

х5 = х6 = ;

 

хрез1 = хрез2 = х4 + х5 + ;

 

хрез1= ;

 

(24)

(25)

 

Расчетное время t, с, для которого определяются токи к.з.

 

t = tc + tр.з, (26)

 

где tc = 0,01 с – собственное время срабатывания выключателя;

tр.з – время срабатывания релейной защиты;

tр.з10 = 0,07 с;

tр.з6 = 0,06 с;

 

t10 = 0,01 + 0,07=0,08

t6 = 0,01+0,06=0,07.

 

Ударный ток , кА, определяют по формуле

 

(27)

 

где куд – ударный коэффициент

куд110 = 1,3;

куд35 = 1,65;

куд10 = 1,63.

 

 

Тепловой импульс среднеквадратичного тока , кА2с, определяют по формуле

 

(28)

 

где Та – постоянная времени затухания апериодической составляющей тока КЗ, обычно Та находится в пределах (0,005 – 0,2) с.

 

 

2) Произведем расчет тока кз в точке К2, 10 кВ, причем, сопротивления Хс, Хл и Хт остаются неизменными, тогда:

Зададимся базисными величинами: SБ2 = 100 МВА; UБ2 = 10 кВ; Sc = 4200 МВА.

Расчеты производим по формулам (33), (38).

 

 

(29)

 

 

Ударный ток , кА, находим по формуле (40)

 

 

Тепловой мпульс среднеквадратичного тока , кА2с, определяется по

формуле (41)

 

 

3) Произведем расчет тока кз в точке К2, 35 кВ, причем, сопротивления Хс, Хл и Хт остаются неизменными, тогда:

Зададимся базисными величинами: SБ3 = 100 МВА; UБ3 = 37,5 кВ; Sc = 4200 МВА.

Расчеты производим по формулам (33), (38), (42).

 

 

Ударный ток , кА, определяется по формуле (40)

 

 

Тепловой импульс среднеквадратичного тока , кА2с, определяется по формуле (41)

 

 

Результаты расчета токов кз сводятся в таблицу 3.

 

Таблица 3 – Расчет токов кз

№ точки КЗ Ток короткого замыкания Iкз Ударный ток , кА Базисный ток IБ, кА Тепловой импульс КЗ bк, кА2×с
К1 5,745 12,9 0,5 2,64
К2 (10 кВ) 12,37 28,5 9,16 13,77
К2 (35 кВ) 7,43 17,34 5,5 5,52

 


3.4 Выбор электрических аппаратов и токоведущих частей

Выбор оборудования на стороне высшего напряжения

 

Выключатели выбираются по номинальному току, номинальному напряжению, по типу, роду установки и проверяют на электродинамическую, термическую стойкости и по отключающей способности в режиме КЗ.

Разъединители выбираются по напряжению установки, по длительному току, по конструкции и роду установки и проверяются на электродинамическую и термическую стойкость.

Условия выбора и проверки, расчетные данные и выбранное оборудование сведены в таблицу 4.

 

Таблица 4 – Выбор оборудования на стороне высшего напряжения

Обозначение на схеме Условия выбора Расчетные данные Тип оборудования Паспортные данные
QS1 QS2   QS3 QS4 Uн ≥ Uуст Iн ≥ Iуст I≥ I∞уст iу ≥ iуд.к1 I2t ≥ Uуст = 110 кВ Iуст = 159,3 А I∞к1 = 5,745 кА iуд.к1 = 12,9 кА = 2640 А2×с РДЗ-32-110/1000У1   РДЗ-31-110/1000У1 Uн=110 кВ Iн=1000 А I=31,5 кА iуд=80 кА I2∙t = 3969
  Q1 Q2   Uн ≥ Uуст Iн ≥ Iуст Iотк ≥ I Imax ≥ iуд I2t ≥ Uуст = 110 кВ Iуст = 159,3 А I∞к1 = 5,745 кА iуд.к1 = 12,9 кА = 2640 А2×с   ВЭБ-110 II-40/2000 УХЛ1 Uн = 110 кВ Iн = 2000 А Iотк = 40 кА Imax = 102кА = 4800
  TA1 ТА2   Uн≥Uуст Iн≥Iуст zн≥z2 класс точности Uуст=110 кВ Iуст=159,3 А   ТФЗМ 110Б-1 Uн=110 кВ Iн1=100-200 А Iн2=5 А It=(4-8)/3 кА iдин=41-82 кА Zн=1,2 Ом Класс точности 3
Ограничитель перенапряжения Uн ≥ Uуст Uуст = 110 кВ ОПН-У УХЛ1 Uн = 110 кВ

 

Трансформаторы тока выбираются по напряжению установки, по длительному току, по вторичной нагрузке, по конструкции и роду установки и проверяются на электродинамическую и термическую стойкость. Так как выбранные трансформаторы тока встраиваются в понижающий трансформатор, то проверку на электродинамическую стойкость их не проводят.

Выбирается перечень необходимых измерительных приборов и заносится в таблицу 5.

 

Таблица 5 - Вторичная нагрузка трансформаторов тока

Приборы Тип Нагрузка фазы, ВА
А В С
Амперметр Э - 335 0,5 - -
Ваттметр Д - 335 0,5 - -
Варметр Д - 304 0,5 - -
Счетчик активной энергии ЦЭ - 6812 2,5 - 2,5
Счетчик реактивной энергии ЦЭ - 6811 2,5 - 2,5
Итого   6,5 -  

 

Так как наиболее загруженной фазой является фаза А, то дальнейший расчет будем производить с учетом того, что Sприб = 6,5 ВА.


Общее сопротивление приборов rприб, Ом, вычисляют по формуле

 

, (30)

 

где I2 = 5 А – вторичный ток трансформатора тока.

 

 

Допустимое сопротивление соединительного провода rдоп.пр, Ом, определяют по формуле

 

rдоп.пр = z – rnpuб – rк (31)

 

где r2ном = 2,0 Ом – вторичное сопротивление трансформатора тока (паспортное значение для выбранного ТТ для класса точности 3);

rконт = 0,1 Ом – для 5-ти приборов /3/.

 

rдоп.пр = 2,0 – 0,26 – 0,1 = 1,64 Ом

 

Для подстанции с высшим напряжением 110 кВ принимается кабель с алюминиевыми жилами (l = 80 м), вторичная обмотка трансформаторов тока соединена в полную звезду, следовательно, lрасч = l.

Сечение контрольного кабеля F, мм2, вычисляют по формуле

 

, (32)

 

где r = 0,0283 Ом×мм2/м – для алюминия.

 

, мм2

Согласно требованиям ПУЭ, по условию механической прочности принимаем контрольный кабель марки: АКРВГ с алюминиевыми жилами сечением 6 мм2.

Действительное сопротивление проводов rпр, Ом, вычисляют по формуле

 

(33)

 

 

Тогда, вторичная нагрузка приборов r2, Ом, находится по формуле

 

r2 = 0,26 + 0,377 + 0,1 = 0,737 Ом

 

Для работы трансформатора тока в выбранном классе точности должно выполняться следующее условие:

 

r2 £ r2ном, (34)

 

r2 = 0,737 Ом < r2ном = 2,0 Ом

 

Следовательно, выбранный трансформатор тока будет работать в выбранном классе точности 3.

Выбор оборудования на стороне низшего напряжения

Выбор и проверка шинного моста 10 кВ

Шинный мост выполняется из неизолированных алюминиевых шин прямоугольного сечения. Сечение шинного моста выбирается по длительно допустимому току:

 

Imax £ Iдл.доп, (35)

 

где Imax – максимальный ток, протекающий по шинному мосту, А;

Iдл.доп – длительно допустимый ток выбранного сечения, А.

 

, (36)

 

, А

 

Принимаем алюминиевые двухполосные шины прямоугольного сечения

(b x h) 100 х 10 c Iдл.доп = 2860 A. Расположение шин – на плоскость.

 

Iдл.доп = k1× Iдоп табл, (37)

 

где k1 = 0,92 – поправочный коэффициент, учитывающий уменьшение допустимого тока на 8 % для горизонтальной прокладки шин.

 

Iдл.доп = 0,92×2860 = 2631,2 А

Iдл.доп = 2631,2 А > Imax = 2293,8 А

 

Шинный мост подвергается проверке:

1) по условию термической стойкости:

 

Fmin £ Fдоп, (38)

 

где Fmin – минимальное сечение шин по условию термической стойкости, мм2

Fдоп = 1000 мм2 – допустимое минимальное сечение шины.

 

, (39)

 

 

где С = 91 А×с1/2/мм2;

Fmin = 41 мм 2 < Fдоп = 1000 мм2 – шины термически стойкие.

2) на механическую прочность:

 

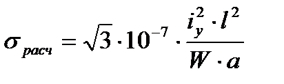
sрасч £ sдоп, (40)

 

где sдоп = 90 МПа – допустимое механическое напряжение в материале шин для алюминия марки АД31Т1.

sрасч – расчетное механическое напряжение в материале шин.

 

, (41)

 

где l = 1 м – длина пролета между опорными изоляторами;

а = 0,3 м – расстояние между фазами;

W – момент сопротивления шины относительно оси, перпендикулярной действию усилия.

 

, (42)

 

sрасч = 19,2 МПа < sдоп = 90 МПа (условие выполняется)

По результатам проверок выбранные шины принимаются к установке.

Выбор шинного моста 35 кВ выполняется аналогично.

Выбор и проверка изоляторов

Выбор и проверка опорных изоляторов проводится по номинальному напряжению и по допустимой нагрузке.

Выбираются изоляторы типа ИО – 10 – 3,75 У3.

Изоляторы проверяются на механическую прочность по условию

 

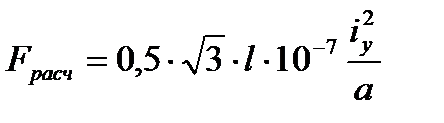
Fрасч £ Fдоп, (43)

 

где Fдоп = 0,6× Fразр = 0,6×3,75 = 2,25 кН – допустимая нагрузка на головку изолятора;

Fразр = 3,75 кН – минимальная разрушающая способность (паспортная величина);

Fрасч – расчетная сила, действующая на изолятор, кН.

 

, (44)

 

Fрасч = 0,09 кН < Fдоп = 2,25 кН

 

Проходные изоляторы выбираются по номинальному напряжению, по максимальному току и проверяются на механическую прочность.

Выбираются изоляторы типа ИП – 10/3150 – 3000 У.

Uном = 10кВ < Uном у = 35 кВ

Iр.м = 2055 А < Iном = 3150 А

где Iр.м – расчетный максимальный ток на стороне НН (с учетом того, что вторичная обмотка расщеплена).

 

, (45)

 

 

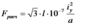
Условие проверки на механическую прочность:

Fрасч £ Fдоп, (46)

 

, (47)

 

 

Fрасч = 44,1Н < Fдоп = 3000 Н (условие выполняется)

По результатам проверки выбранные изоляторы принимаются к установке.

Выбор и проверка изоляторов по напряжению 10 кВ производится аналогично.

Выбор оборудования

Выбор и проверка оборудования на стороне НН занесены в таблицу 6.

 

Таблица 6 – Выбор и проверка оборудования на стороне НН

Обозначение на схеме Условия выбора Расчетные данные Тип оборудования Паспортные данные
    Q, 35 кВ     Uн ≥ Uуст Iн ≥ Iуст Iотк ≥ Iуст iу ≥ iуд.к2 I2t ≥ Uуст = 35 кВ Iуст = 1233 А I∞к2 = 7,43 кА iуд.к2 =17,34 кА = 5,52 А2×с   ВB\TEL-35-20/1600-У2 Uн=35 кВ Iн=1600 А Iотк= 20 кА iуд= 51 кА = 1200
    Q, 10 кВ Uн ≥ Uуст Iн ≥ Iуст Iотк ≥ I Imax ≥ iуд I2t ≥ Uуст = 10 кВ Iуст = 2055 А I∞к1 = 12,37 кА iуд.к1 = 28,5 кА =13,77 А2×с   ВB\TEL-10-20/2500-У2 Uн = 11 кВ Iн = 2500 А Iотк = 20 кА Imax = 51 кА = 1200
ТА 35 кВ Uн≥Uуст Iн≥Iуст zн≥z2 класс точности Uуст=35 кВ Iуст=1233 А   ТЛ 35-I Uн=35 кВ Iн=1500 А Zн=0,8 Класс точности 0,5 It=40/3
ТА 10 кВ Uн≥Uуст Iн≥Iуст zн≥z2 класс точности Uуст=10 кВ Iуст=2055 А   ТЛ 10-I Uн=10 кВ Iн=3000 А Zн=0,8 Класс точности 0,5 It=40/3
ОПН Uн≥Uрасч Uрасч=35 кВ ОПН-КСУХЛ2 Uн=35 кВ
ОПН Uн≥Uрасч Uрасч=10 кВ ОПН-Т УХЛ1 Uн=10 кВ

Проверка выбранного трансформатора тока проводится по вторичной нагрузке с учетом установленных измерительных приборов.

 

Таблица 7 - Перечень необходимых измерительных приборов ТТ

Приборы Тип Нагрузка фазы, ВА
А В С
Амперметр Э - 335 0,5 - -
Ваттметр Д - 335 0,5 - 0,5
Счетчик активной энергии ЦЭ – 6812 2,5   2,5
Счетчик реактивной энергии ЦЭ - 6811 2,5   2,5
Итого   6,0   5,5

 

Так как наиболее загруженной фазой является фаза А, то дальнейший расчет будем производить с учетом того, что Sприб = 6,0 ВА.

Расчет вторичной нагрузки трансформатора тока на стороне НН производится с учетом формул

Определим общее сопротивление приборов по формуле

 

 

Допустимое сопротивление соединительного провода по формуле

 

rдоп.пр = r2ном – rприб – rконт

 

где r2ном = 0,8 Ом – вторичное сопротивление трансформатора тока (паспортное значение для выбранного ТТ для класса точности 0,5);

rконт = 0,05 Ом.

 

rдоп.пр = 0,8 – 0,24 – 0,05 = 0,51 Ом

 

Вторичная обмотка трансформатора тока соединена в неполную звезду, следовательно, l расч = 1,5× l.

Определим сечение контрольного кабеля по формуле (49)

 

 

Согласно требованиям ПУЭ, по условию механической прочности принимаем контрольный кабель марки: АКРВГ с алюминиевыми жилами сечением 4 мм2.

Определим действительное сопротивление проводов по формуле (50)

 

Тогда, вторичная нагрузка приборов будет равна

 

r2 = 0,24 + 0,212 + 0,05 = 0,502 Ом

 

Для работы трансформатора тока в выбранном классе точности должно выполняться следующее условие

 

r2 £ r2ном,

 

r2 = 0,502 Ом < r2ном = 0,8 Ом

 

Следовательно, выбранный трансформатор тока будет работать в выбранном классе точности 0,5.

Для определения вторичной нагрузки трансформатора напряжения составляется перечень необходимых измерительных приборов и определяется их общая нагрузочная мощность.

Следовательно, полная мощность вторичной нагрузки S2, ВА, вычисляется по формуле

 

 

Расчет для других секций шин 6 кВ производится аналогично.

Для трансформаторов напряжения, соединенных по схеме звезды,вторичная

номинальная нагрузка рассчитывается по формуле:

 

S2ном = 3×SномTV

S2ном = 3×75 = 225 ВА > S2 = 190,3 ВА

 

Таблица 8 – Вторичная нагрузка трансформаторов напряжения

Прибор Место уста-новки Тип Мощность одной обмотки, ВА Число обмо-ток cos j sin j Число прибо-ров Р, Вт Q, вар
Вольтметр С.В. Э - 335 2,0         2,0 -
Ваттметр   Ввод 35 кВ от тр-ра Д – 335 1,5         3,0 -
Счетчик активной энергии ЦЭ - 6812 3 Вт   0,38 0,93   6,0 14,5
Счетчик реактивной энергии ЦЭ – 6811 3 Вт   0,38 0,93   6,0 14,5
Счетчик активной энергии Линии 35 кВ ЦЭ - 6812 3 Вт   0,38 0,93      
Итого      

 

 

Так как условие проверки выполняется, следует, что выбранные трансформаторы напряжения будут работать в классе точности 0,5.

Для защиты трансформаторов напряжения устанавливаем предохранители типа ПКН 001 – 10 У3.

Выбор трансформаторов собственных нужд подстанции

Все потребители собственных нужд сведены в таблицу 9.

Расчетная мощность трансформатора собственных нужд подстанции Sрасч, кВА, определяется по формуле

 

, (51)

 

где kс – коэффициент спроса, учитывающий коэффициенты одновременности и загрузки. В ориентировочных расчетах принимают kс = 0,8.

 

Мощность трансформатора собственных нужд на подстанциях с постоянным дежурством персонала SТСН, кВА, вычисляется по формуле

 

, (52)

 

где kп = 1,4 – коэффициент допустимой аварийной перегрузки.

 

Таблица 9 – Потребители собственных нужд подстанции

Вид потребителя Установленная мощность, кВт cos j tg j Нагрузка
Р1ном х n åРном Руст, кВт Qуст, квар
Устройства охлаждения ТРДН - 32000/110 6х2   0,85 0,62   7,44
Подогрев ВГБ-110 4х3         -
Освещение ОРУ -         -
Освещение и вентиляция ЗРУ -         -
Отопление и освещение ГЩУ -         -
Отопление и освещение помещения дежурного персонала -         -
Подзарядно-зарядный агрегат ВАЗП 25х2         -
Итого -   - -   7,44

 

 

 

Выбираем для установки на трансформатор собственных нужд типа ТМ – 400/10.

 







Date: 2015-07-17; view: 2093; Нарушение авторских прав



mydocx.ru - 2015-2026 year. (1.384 sec.) Все материалы представленные на сайте исключительно с целью ознакомления читателями и не преследуют коммерческих целей или нарушение авторских прав - Пожаловаться на публикацию