Главная Случайная страница


Полезное:

Как сделать разговор полезным и приятным Как сделать объемную звезду своими руками Как сделать то, что делать не хочется? Как сделать погремушку Как сделать так чтобы женщины сами знакомились с вами Как сделать идею коммерческой Как сделать хорошую растяжку ног? Как сделать наш разум здоровым? Как сделать, чтобы люди обманывали меньше Вопрос 4. Как сделать так, чтобы вас уважали и ценили? Как сделать лучше себе и другим людям Как сделать свидание интересным?


Категории:

АрхитектураАстрономияБиологияГеографияГеологияИнформатикаИскусствоИсторияКулинарияКультураМаркетингМатематикаМедицинаМенеджментОхрана трудаПравоПроизводствоПсихологияРелигияСоциологияСпортТехникаФизикаФилософияХимияЭкологияЭкономикаЭлектроника






Логарифмические неравенства





ри решении логарифмических уравнений и неравенств пользуются свойствами логарифмов, а также свойствами логарифмической функции

y=logax, a > 0, a 1:

1) Область определения: x > 0;

2) Область значений: y R;

3) logax1=logax2 x1=x2;

4) При a>1 функция y=logax возрастает, при 0 < a < 1 функция y=logax убывает при всех x > 0, т.е.

a >1 и logax1>logax2 x1>x2,
0 < a < 1 и logax1>logax2 x1 < x2;


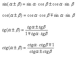
Преобразование тригонометрических выражений

 

Основные тригонометрические тождества


Синус:

Косинус:

Тангенс:

Котангенс:


Тригонометрические уравнения

1.

Частные случаи

 

 

2.

Частные случаи

 

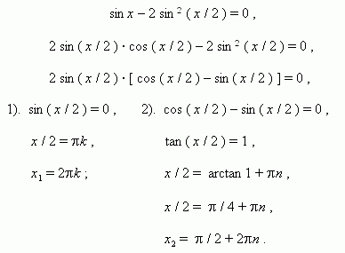
2. Разложение на множители. Этот метод рассмотрим на примерах.

 

П р и м е р 1. Решить уравнение: sin x + cos x = 1.

 

Р е ш е н и е. Перенесём все члены уравнения влево:

 

sin x + cos x – 1 = 0,

 

преобразуем и разложим на множители выражение в

левой части уравнения:








Date: 2015-06-05; view: 900; Нарушение авторских прав



mydocx.ru - 2015-2026 year. (1.794 sec.) Все материалы представленные на сайте исключительно с целью ознакомления читателями и не преследуют коммерческих целей или нарушение авторских прав - Пожаловаться на публикацию