Главная Случайная страница


Полезное:

Как сделать разговор полезным и приятным Как сделать объемную звезду своими руками Как сделать то, что делать не хочется? Как сделать погремушку Как сделать так чтобы женщины сами знакомились с вами Как сделать идею коммерческой Как сделать хорошую растяжку ног? Как сделать наш разум здоровым? Как сделать, чтобы люди обманывали меньше Вопрос 4. Как сделать так, чтобы вас уважали и ценили? Как сделать лучше себе и другим людям Как сделать свидание интересным?


Категории:

АрхитектураАстрономияБиологияГеографияГеологияИнформатикаИскусствоИсторияКулинарияКультураМаркетингМатематикаМедицинаМенеджментОхрана трудаПравоПроизводствоПсихологияРелигияСоциологияСпортТехникаФизикаФилософияХимияЭкологияЭкономикаЭлектроника






Шаблоны





 

 

1.

b)

 

2. В данную точку пространства пришли две световые волны с одинаковым направлением колебаний вектора , периодами и и начальными фазами и . Интерференция наблюдается в случае …

b) 2 с; 2 с;

 

3.

a)

 

4.

c)

 

5.

d)

 

6.

c)

 

7.

b)

 

8.

c)

 

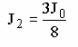
9.

a)

 

10.

a)

 

11. На дифракционную решетку падает излучение одинаковой интенсивности с длинами волн l1 и l2. Укажите рисунок, иллюстрирующий положение главных максимумов, создаваемых дифракционной решеткой, если l1>l2? (J – интенсивность, j – угол дифракции).

c)

 

12. Имеются 4 решетки с различными постоянными d, освещаемые одним и тем же монохроматическим излучением различной интенсивности. Какой рисунок иллюстрирует положение главных максимумов, создаваемых дифракционной решеткой с наименьшей постоянной решетки? (J – интенсивность света, j - угол дифракции.

b)

 

13. Одна и та же дифракционная решетка освещается различными монохроматическими излучениями с разными интенсивностями. Какой рисунок соответствует случаю освещения светом с наименьшей длиной волны? (J -интенсивность света, j -угол дифракции).

c)

 

14. На дифракционную решетку падает излучение с длинами волн l1 и l2. Укажите рисунок, иллюстрирующий положение главных максимумов, создаваемых дифракционной решеткой, если l1 <l2 и J1 >J2. (J - интенсивность, φ - угол дифракции)

b)

 

15. Одна и та же дифракционная решетка освещается различными монохроматическими излучениями с разными интенсивностями. Какой рисунок соответствует случаю освещения светом с наибольшей частотой? (J - интенсивность света, j -угол дифракции).

c)

 

16.

d)

 

17.

a)

 

18. Если закрыть n открытых зон Френеля, а открыть только первую, то амплитудное значение вектора напряженности электрического поля…

a) увеличится в 2 раза

 

19.

a)

 

20.

c)

 

21. На пути естественного света помещены две пластинки турмалина. После прохождения пластинки 1 свет полностью поляризован. Если J1 и J2 – интенсивности света, прошедшего пластинки 1 и 2 соответственно, и J2=J1/4, тогда угол между направлениями OO и O’O’ равен…

a) 60o

 

22. На пути естественного света интенсивностью Jo помещены две пластинки турмалина. После прохождения пластинки 1 свет полностью поляризован. Если интенсивность J2 света, прошедшего через обе пластинки, связана с Jo соотношением J2 = Jo /8, то угол φ между направлениями ОО и О'О' равен...

c) 60o

 

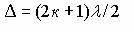
23. На пути естественного света интенсивностью Jo помещены две пластинки турмалина. После прохождения пластинки 1 свет полностью поляризован. Если угол φ между направлениями ОО и О'О' равен 30°, то интенсивность J2 света, прошедшего через обе пластинки, связана с Jo соотношением...

a)

 

24.

b)

 

25.

c)

 

26.

a)

 

27.

b)

 

28.

b)

 

29.

a)

 

30.

d)

 

31.

d)

 

32. На рисунке показана кривая зависимости спектральной плотности энергетической светимости абсолютно черного тела от длины волны при T=6000 K. Если температуру тела уменьшить в 4 раза, то длина волны, соответствующая максимуму излучения абсолютно черного тела, …

c) увеличится в 4 раза

 

33. На рисунке показаны кривые зависимости спектральной плотности энергетической светимости абсолютно черного тела от длины волны при разных температурах. Если длина волны, соответствующая максимуму излучения, уменьшилась в 4 раза, то температура абсолютно черного тела...

a) увеличилась в 4 раза

 

34. На рисунке показаны кривые зависимости спектральной плотности энергетической светимости абсолютно черного тела от длины волны при разных температурах. Если кривая 2 соответствует спектру излучения абсолютно черного тела при температуре 1500 К, то кривая 1 соответствует температуре (в К)...

c) 6000

 

35. На рисунке показана кривая зависимости спектральной плотности энергетической светимости абсолютно черного тела от длины волны при Т=6000К. Если температуру тела уменьшить в 2 раза, то энергетическая светимость абсолютно черного тела уменьшится...

 

d) в 16 раз

 

36.

d)

 

37.

b)

 

38.

b)

 

39. При нагревании абсолютно черного тела длина волны, на которую приходится максимум спектральной плотности энергетической светимости, изменилась от 750 нм до 500 нм. Энергетическая светимость тела при этом…


c) увеличилась в 5 раз

 

40.

c)

 

41. На рисунке представлены две зависимости кинетической энергии фотоэлектронов Еk от частоты n падающего света.

Укажите верные утверждения.

a) С помощью этих зависимостей можно определить значение постоянной Планка

c) Зависимости получены для двух различных металлов

 

42. На рисунке представлены две зависимости задерживающего напряжения Uз от частоты n падающего света.Укажите верные утверждения.

a) λ01 > λ02, где λ01 и λ02 – значения красной границы фотоэффекта для соответствующего металла

c) Зависимости получены для двух различных металлов

 

43.

a)

 

44.

c)

 

45.

b)

 

46.

b)

 

47.

a)

 

48.

c)

 

49. Металлический шарик в вакууме облучают неограниченно долго светом с длиной волны, меньшей красной границы фотоэффекта для этого металла: . Фотоэффект на поверхности шарика продолжается до тех пор, пока…

c) Потенциал шарика не сравняется с задерживающим потенциалом.

 

50. На рисунке показаны направления падающего фотона (g), рассеянного фотона (g') и электрона отдачи (e). Угол рассеяния 90°, направление движения электрона отдачи составляет с направлением падающего фотона угол j=30o. Если импульс падающего фотона Pф, то импульс рассеянного фотона равен…


d)

 

51. На рисунке показаны направления падающего фотона (g), рассеянного фотона (g'), и электрона отдачи (е). Угол рассеяния 90°, направление движения электрона отдачи составляет с направлением падающего фотона угол j = 30°. Если импульс электрона отдачи 3(МэВ× с)/м, то импульс рассеянного фотона (в тех же единицах) равен...

 

a)

 

52.

c)

 

53.

a)

 

54.

c)

 

55. Параллельный пучок света падает по нормали на зачерненную плоскую поверхность, производя давление Р. При замене поверхности на зеркальную давление света не изменяется, если угол падения (отсчитываемый от нормали к поверхности) будет равен…

d) 60o

 

56. Параллельный пучок свет, падающий на зеркальную плоскую поверхность, под углом α=60° (отсчитываемым oт нормали к поверхности), производит давление Р. Если тот же пучок света направить по нормали на зачерненную поверхность, то световое давление будет равно

b) Р

 

57.

b)

 

58.

b)







Date: 2015-05-18; view: 1896; Нарушение авторских прав



mydocx.ru - 2015-2026 year. (0.877 sec.) Все материалы представленные на сайте исключительно с целью ознакомления читателями и не преследуют коммерческих целей или нарушение авторских прав - Пожаловаться на публикацию