Главная Случайная страница


Полезное:

Как сделать разговор полезным и приятным Как сделать объемную звезду своими руками Как сделать то, что делать не хочется? Как сделать погремушку Как сделать так чтобы женщины сами знакомились с вами Как сделать идею коммерческой Как сделать хорошую растяжку ног? Как сделать наш разум здоровым? Как сделать, чтобы люди обманывали меньше Вопрос 4. Как сделать так, чтобы вас уважали и ценили? Как сделать лучше себе и другим людям Как сделать свидание интересным?


Категории:

АрхитектураАстрономияБиологияГеографияГеологияИнформатикаИскусствоИсторияКулинарияКультураМаркетингМатематикаМедицинаМенеджментОхрана трудаПравоПроизводствоПсихологияРелигияСоциологияСпортТехникаФизикаФилософияХимияЭкологияЭкономикаЭлектроника






Дифракция на круглом отверстии





Пусть R – радиус отверстия. Расчет удобнее вести в полярных координатах (r, q) и (r’, q’) в плоскостях отверстия и дифракционной картины. – функция Бесселя m-го порядка. Воспользуемся свойством функций Бесселя: ; .

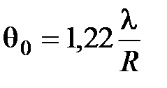
Интенсивность дифракционной картины определяется квадратом этой функции, т.е. в центре картины имеется светлое круглое пятно, окруженное темными и светлыми кольцами. Максимумы интенсивности быстро убывают. Радиусы колец определяются из корней функции Бесселя J1 (r)=0. Угловой размер центрального светлого пятна, наблюдаемого из центра круглого отверстия, равен:

.

Дифракционная решетка. Прозрачная (амплитудная) дифракционная решетка представляет собой правильную плоскую структуру из большого количества параллельных щелей с шириной каждой щели b и расстоянием d между соседними щелями. Расстояние d чаще называют периодом или постоянной дифракционной решетки. Пусть на эту решетку нормально падает плоская монохроматическая волна.

Методика расчета и система обозначений та же, что и для одиночной щели. Введем обозначение:

Интенсивность света в дифракционной картине:

Множитель (sinu/u)2 характеризует распределение интенсивности в результате дифракции плоской волны на каждой щели и является огибающей всей дифракционной картины, а множитель (sinNd/sind)2 учитывает интерференцию между волнами, исходящими от всех щелей. Множитель I0 определяет интенсивность света, излучаемого в направлении j = 0, которая зависит от потока энергии, падающего на решетку света.

Величина dsinj равна разности хода между волнами, испускаемыми двумя эквивалентными точками соседних щелей. Условие главных максимумов для дифракционной решетки определяется формулой

 







Date: 2015-05-17; view: 669; Нарушение авторских прав



mydocx.ru - 2015-2026 year. (1.635 sec.) Все материалы представленные на сайте исключительно с целью ознакомления читателями и не преследуют коммерческих целей или нарушение авторских прав - Пожаловаться на публикацию