Главная Случайная страница


Полезное:

Как сделать разговор полезным и приятным Как сделать объемную звезду своими руками Как сделать то, что делать не хочется? Как сделать погремушку Как сделать так чтобы женщины сами знакомились с вами Как сделать идею коммерческой Как сделать хорошую растяжку ног? Как сделать наш разум здоровым? Как сделать, чтобы люди обманывали меньше Вопрос 4. Как сделать так, чтобы вас уважали и ценили? Как сделать лучше себе и другим людям Как сделать свидание интересным?


Категории:

АрхитектураАстрономияБиологияГеографияГеологияИнформатикаИскусствоИсторияКулинарияКультураМаркетингМатематикаМедицинаМенеджментОхрана трудаПравоПроизводствоПсихологияРелигияСоциологияСпортТехникаФизикаФилософияХимияЭкологияЭкономикаЭлектроника






Показатели и пути улучшения использования оборотных средств





 

Важным фактором повышения эффективности общественного производства является ускорение обора­чиваемости оборотных средств. Потребность в них зависит от объема производства и скорости оборота. Чем быстрее оборачиваются оборотные средства, тем меньше их требуется для выпуска определенного количества продукции. В связи с этим необходим анализ эффектив­ности их использования. Для характеристики оборачи­ваемости оборотных средств применяют следующие по­казатели:

· скорость оборота, или коэффициент оборачи­ваемости (Ко) — количество оборотов оборотных средств в течение года:

Ко = ,

где РП—объем реализованной продукции, р.; Фоб— средний остаток оборотных средств, р.

Средний остаток рассчитывается за год как средняя величина остатков на первое число всех месяцев и по­ловины остатков на начало и конец года.

· время оборота (Тоб), т. е. средняя длительность обо­рота, находится по формуле:

Тоб = , или Тоб = ,

где Д — число дней в году.

Ускорения оборачиваемости оборотных средств можно добиться путем снижения норм запасов, ликвидации из­лишних и сверхнормативных запасов, сокращения дли­тельности производственного цикла, ускорения реали­зации готовой продукции. Сокращению норм производ­ственных запасов способствует приближение постав­щиков к потребителям. Чем ближе находится постав­щик, тем меньше времени материалы находятся в пути и меньше требуется производственных запасов. Для ускорения оборачиваемости оборотных средств следует сокращать длительность технологического цикла, чему способствуют комплексная механизация и автоматиза­ция, специализация и кооперация, улучшение организа­ции производства.

Важное значение для ускорения оборачиваемости оборотных средств имеет убыстрение расчетов между предприятиями.

Современный этап развития экономики, характери­зующийся крутым поворотом к интенсификации, выдви­гает новые требования к расходованию материальных ресурсов и экономии овеществленного труда. Народно­хозяйственное значение снижения материалоемкости производства определяется прежде всего увеличиваю­щимися масштабами затрат. Последовательное усиление режима экономии должно обеспечить к 2000 г. сниже­ние материалоемкости национального дохода почти в два раза. В машиностроении при выборе ресурсосберегающих технологических процессов критерий материало­емкости — один из решающих факторов.

· степень использования материальных ресурсов в процессе изготовления продукции оценивается при по­мощи коэффициента (Км), который исчисляется отно­шением полезного расхода к исходным затратам или норме расхода:

 

Км = ,

 

где Мг—масса металла в готовой продукции (полезный расход), кг; Мз—масса исходных заготовок (норма расхода), кг.

Планирование материально-технического обеспече­ния базируется на прогрессивных нормах и нормативах. Они позволяют обосновать потребность предприятий в материальных ресурсах, контролировать их расход, сти­мулировать их экономное использование и устанавли­вать размеры материального вознаграждения за эконо­мию.

Многообразие норм классифицируется по различным признакам. Так, по назначению различают нормы ос­новных и вспомогательных материалов, топлива и энер­гии; по периоду действия — перспективные, годовые и оперативные; по степени детализации номенклатуры нормируемых материалов — сводные и специфицирован­ные; по степени детализации номенклатуры продук­ции — поиздельные, поузловые и подетальные; по масш­табу применения — общесоюзные, отраслевые, заводские, цеховые; по степени обобщения производственных усло­вий — индивидуальные и групповые,

Чем меньше продолжительность оборота или больше число со­вершаемых оборотными средствами кругооборотов при том же объ­еме реализованной продукции, тем меньше требуется оборотных средств, и наоборот, чем быстрее оборотные средства совершают кругооборот, тем эффективнее они используются [6, 245-246].

Оборачиваемость оборотных средств характеризует эффектив­ность их использования. От длительности оборота зависит величи­на запасов, затраты на их хранение, формирование величины при­были. Однако при определении показателя оборачиваемости тре­буется решить ряд вопросов.

Во-первых, по какой методике рассчитывать показатель обора­чиваемости: путем отношения стоимости реализованной продук­ции к средним (среднегодовым) остаткам оборотных средств или путем отношения затрат на производство и сбыт реализованной продукции к средним (среднегодовым) остаткам оборотных средств?


Во-вторых, при расчете длительности оборота в днях принима­ется количество дней в году, равное либо 360, либо 365-366, что приводит к сопоставимости коэффициентов оборачиваемости.

В-третьих, не решен вопрос, как оценивать реализованную продукцию при расчете показателя оборачиваемости: в действую­щих ценах или в сопоставимых ценах; с налогами, вычитаемыми из реализации, или без налогов от реализации?

В-четвертых, при расчете показателя оборачиваемости оборот­ных средств по реализации продукции последняя исчисляется в те­кущих или сопоставимых ценах, а средние (среднегодовые) остат­ки принимаются в расчет по себестоимости.

Определение оборачиваемости оборотных средств по себе­стоимости реализованной продукции приводит к тому, что на предприятиях, где себестоимость продукции увеличивается, воз­растает и коэффициент оборачиваемости, то есть сокращается длительность одного оборота; при снижении себестоимости, на­оборот, оборачиваемость замедляется и увеличивается длитель­ность одного оборота. Это противоречит задаче повышения эф­фективности производства, и в первую очередь за счет снижения себестоимости.

Сложившаяся практика использования в расчетах 360 дней вме­сто 365 или 366 завышает коэффициент оборачиваемости.

Если исчислять показатель оборачиваемости в действующих це­нах, то он не сопоставим в динамике. Поэтому стоимость реализо­ванной продукции целесообразно использовать при расчете показа­телей эффективности в сопоставимых ценах. При этом из стоимости реализованной продукции налоги от реализации (НДС, акцизы и др.) должны исключаться, поскольку они не принимают участия в формировании оборотных средств, прибыли, оборачиваемости ак­тивов [7, с. 71-72].

Сопоставимость показателей оборачиваемости на различных предприятиях и на отдельно взятом предприятии при отсутствии единой методики исчисления этого показателя практически невоз­можна. В таком случае нельзя выявить и количественно соизме­рить влияние отдельных факторов на изменение оборачиваемости и длительности одного оборота при разработке мероприятий по управлению оборотными активами, обеспечивающих повышение эффективности их использования [2, с. 74].

Эффект ускорения оборачиваемости оборотных средств выра­жается в высвобождении, уменьшении потребности в них в связи с улучшением их использования. Различают абсолютное и относи­тельное высвобождение оборотных средств.

Абсолютное высвобождение отражает прямое уменьшение по­требности в оборотных средствах.

Относительное высвобождение отражает изменение как вели­чины оборотных средств, так и объема реализованной продукции. Чтобы его определить, нужно исчислить потребность в оборотных средствах за отчетный год исходя из физического оборота по реали­зации продукции за этот период и оборачиваемости за предыдущий год. Разность этих показателей дает сумму высвобождения средств.

Величина высвободившихся оборотных средств (В) определя­ется по формуле:

 

 

В =

 

 

где Вр - выручка от реализации продукции в отчетном периоде, руб.,

Д'об и Д2о6 - средняя длительность оборота в базисном планируемом периоде, дни,

Дп - длительность расчетного пе­риода, дни.

Эффективное использование оборотных средств играет боль­шую роль в обеспечении нормальной работы предприятия, повы­шении уровня рентабельности производства. К сожалению, собст­венные финансовые ресурсы, которыми в настоящее время распо­лагают предприятия, не могут в полной мере обеспечить процесс не только расширенного, но и простого воспроизводства. Отсутст­вие на предприятиях необходимых финансовых ресурсов, низкий уровень платежной дисциплины привели к возникновению взаим­ных неплатежей.


Ускорение оборачиваемости оборотных средств является первоочередной задачей предприятий в современных условиях и достигается следующими путями.

На стадии создания производственных запасов — внедрение экономически обоснованных норм запаса; приближение постав­щиков сырья, полуфабрикатов, комплектующих изделий и др. к потребителям; широкое использование прямых длительных связей; расширение складской системы материально-техниче­ского обеспечения, а также оптовой торговли материалами и оборудованием; комплексная механизация и автоматизация погрузочно-разгрузочных работ на складах

На стадии незавершенного производства - ускорение научно-технического прогресса (внедрение прогрессивной техники и технологии, особенно безотходной и малоотходной, роботизирован­ных комплексов, роторных линий, химизация производства); раз­витие стандартизации, унификации, типизации; совершенствова­ние форм организации промышленного производства, применение более дешевых конструкционных материалов; совершенствование систем экономического стимулирования, экономного использова­ния сырьевых и топливно-энергетических ресурсов; увеличение удельного веса продукции, пользующейся повышенным спросом. На стадии обращения - приближение потребителей продук­ции к ее изготовителям; совершенствование системы расчетов; увеличение объема реализованной продукции вследствие выпол­нения заказов по прямым связям, досрочного выпуска продукции, изготовления продукции из сэкономленных материалов; тщатель­ная и своевременная подборка отгружаемой продукции по парти­ям, ассортименту, транзитной норме, отгрузка в строгом соответ­ствии с заключенными договорами [6, с. 246-248].

12 Состав и структура промышленно-производственного персонала

 

Промышленно-производственный персонал по выполняемым функциям делится на следующие группы:

1) рабочие - лица, непосредственно занятые созданием мате­риальных ценностей, ремонтом основных средств, перемещени­ем грузов, перевозкой пассажиров, оказанием материальных ус­луг и др.;

2)руководители-работники, занимающие должности руково­дителей предприятия и их структурных подразделений, а также их заместители по следующим должностям: директора, начальники, управляющие, заведующие на предприятии, в структурных едини­цах и подразделениях; главные специалисты (главный бухгалтер, главный инженер, главный механик, главный технолог, главный экономист и др.);


3) специалисты - работники, занятые инженерно-технически­
ми, экономическими, бухгалтерскими, юридическими и другими
аналогичными видами деятельности;

4) технические исполнители - работники, осуществляющие
подготовку и оформление документации, учет и контроль, хозяй­
ственное обслуживание и делопроизводство (агенты, кассиры,
контролеры, делопроизводители, учетчики, чертежники и др.).

В зависимости от характера участия в производственном про­цессе рабочие, в свою очередь, подразделяются на:

1) основных - непосредственно занятых в процессе производ­
ства продукции;

2) вспомогательных - занятых обслуживанием технологиче­
ского процесса.

Трудовые ресурсы на предприятии могут быть охарактеризо­ваны с помощью следующих показателей.

Коэффициент выбытия кадровв к) - отношение количества работников, уволенных по всем причинам за данный период (Рув), к среднесписочной численности работников за тот же период (Р):

 

Коэффициент приема кадровп к) - отношение количества работников, принятых на работу за данный период (Рп), к средне­списочной численности работников за тот же период (Р):

Коэффициент стабильности кадровс.к) рекомендуется ис­пользовать при оценке уровня организации управления произ­водством как на предприятии в целом, так и в отдельных подраз­делениях:

где Р'ув - численность работников, уволившихся с предприятия по собственному желанию и из-за нарушения трудовой дисциплины за отчетный период, чел.

Коэффициент текучести кадровт.к) - отношение численно­сти работников предприятия (цеха, участка), выбывших или уво­ленных по внеплановым причинам (уволенные по собственному желанию и за нарушение трудовой дисциплины) (Р'у„), к средне­списочной численности за тот же период (Р):

Коэффициент численности основных рабочих (Кор) определя­ется по формуле

где Рв р - среднесписочная численность вспомогательных рабо­чих на предприятии, в цехах, на участке, чел.; Рр - среднеспи­сочная численность всех рабочих на предприятии, в цехе, на

участке, чел.

По характеру и сложности выполняемых работ кад­ры делятся по профессиям, специальностям и квали­фикации.

Профессия — это род трудовой деятельности чело­века, владеющего комплексом специальных знаний и практических навыков, позволяющих выполнять опре­деленный вид работ.

Специальность характеризует комплекс приобретен­ных знаний, умений, необходимых для определенного вида деятельности в рамках той или иной профессии (например, слесарь-сборщик, слесарь-ремонтник и т. д.).

Квалификация характеризует степень и уровень про­фессиональной подготовленности к определенному виду работ. По квалификации различают: а) рабочих квали­фицированных и неквалифицированных; б) руководи­телей и специалистов, имеющих среднее специальное или высшее образование (высокой квалификации), уче­ную степень или ученое звание (высшей квалификации).

Состав работников по категориям образует структуру кадров. В машиностроении рабочие занимают около 77% общей численности работников, руководители и спе­циалисты—свыше 16. Таким образом, структура кадров машиностроительной промышленности характеризуется относительно высоким удельным весом руководителей и специалистов, что обусловлено большим объемом работ по технической подготовке производства.

Удельный вес рабочих вспомогательного производства в общей их численности составляет около 50%. Это обусловлено отставанием в уровне технической оснащен­ности их труда и является одним из резервов повыше­ния эффективности производства. Так, погрузочно-раз­грузочные работы и транспортировка грузов механизи­рованы на треть, контроль качества продукции — на 10%.

 

13 Планирование численности и состава персонала.

 

В условиях переходной экономики функционируют предпри­ятия различных форм собственности, многим из которых не дово­дят плановых показателей по составу и численности работников. Предприятия, ориентируясь на повышение эффективности произ­водства, должны сами определять, сколько им необходимо персо­нала. Для этого используются три метода расчета:

1. Планирование путем корректировки базовой численности:

где Чпл - плановая численность работников, чел.; Че - базовая чис­ленность работников, чел.; Kv - коэффициент роста объема произ­водства, доля единиц; Эч - экономия численности, чел.

2. Планирование на основе трудоемкости выполнения произ­водственной программы:

а) на основе базовой трудоемкости производственной про­граммы:


где /п.б - полная трудоемкость производственной программы, рас­считанная на основе базовой трудоемкости (включает в себя тех­нологическую трудоемкость; трудоемкость обслуживания; тру­доемкость управления); Фб - эффективный фонд времени работы одного работника в базовом периоде; Кв.„ - коэффициент выпол­нения норм выработки;

б) расчет численности по категориям работающих:

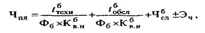
где <тсхн - технологическая трудоемкость производственной про­граммы планового периода, рассчитанная на основе нормативной трудоемкости базисного периода; /^-трудоемкость обслужива­ние производства в базисном периоде; Ч6,^ - численность служа­щих базисного периода; К Ц н - коэффициент выполнения норм вы­работки в базовом периоде.

В том случае, если данные о трудоемкости обслуживания от­сутствуют, численность вспомогательных рабочих определяется по зонам или нормам обслуживания;

в) на основе трудоемкости производственной программы в пла­новом периоде:

где /£,хн - технологическая трудоемкость производственной про­граммы планового периода, рассчитанная на основе плановой нор­мативной трудоемкости и плановой производственной програм­мы; /"бсл - трудоемкость обслуживания производства в плановом

периоде, рассчитанная на основе плановой трудоемкости и плано­вой производственной программы; Ф„л - эффективный фонд вре­мени работы одного работника в плановом периоде.

3. Планирование на основе производительности или выработ­ки (применяется для укрупненных расчетов):

где рпл - объем производства в плановом периоде (в стоимост­ном или натуральном выражении); Впл - выработка одного ра­ботника в год, рассчитанная в тех же показателях планового пе­риода.

Если численность работающих рассчитывается по отдельным категориям, то расчет производится по следующей формуле:

 

где Ч„ п п - планируемая численность промышленно-производст-венного персонала; Ч^— удельный вес /-и категории персонала в ба­зовом периоде, %.

 

 







Date: 2015-05-09; view: 882; Нарушение авторских прав



mydocx.ru - 2015-2026 year. (1.237 sec.) Все материалы представленные на сайте исключительно с целью ознакомления читателями и не преследуют коммерческих целей или нарушение авторских прав - Пожаловаться на публикацию