Главная Случайная страница


Полезное:

Как сделать разговор полезным и приятным Как сделать объемную звезду своими руками Как сделать то, что делать не хочется? Как сделать погремушку Как сделать так чтобы женщины сами знакомились с вами Как сделать идею коммерческой Как сделать хорошую растяжку ног? Как сделать наш разум здоровым? Как сделать, чтобы люди обманывали меньше Вопрос 4. Как сделать так, чтобы вас уважали и ценили? Как сделать лучше себе и другим людям Как сделать свидание интересным?


Категории:

АрхитектураАстрономияБиологияГеографияГеологияИнформатикаИскусствоИсторияКулинарияКультураМаркетингМатематикаМедицинаМенеджментОхрана трудаПравоПроизводствоПсихологияРелигияСоциологияСпортТехникаФизикаФилософияХимияЭкологияЭкономикаЭлектроника






Распределение Гиббса и его связь с распределением Больцмана





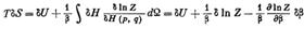
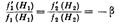
Микроканоническое распределение Гиббса- распределение вероятностей разл-х состояний замкнутой макроскопической сис-мы, т. е. сис-мы, не взаимодействующей с окружающими телами и имеющей постоянную энергию. Подобная сис-ма в действительности не может быть получена и является идеализированной. Кратностью вырождения состояния называется число состояний, обладающих энергией . Связь с методом Больцмана. 3аметим, что в пределе при левая и правая части уравнения представляют собой интегралы движ-я, так что гипотеза Гиббса (как и гипотеза Больцмана) относится лишь к начальным условиям. Более того, взяв производную по Н1 и Н.' получим Следовательно, отношения должны быть постоянны. Интегрируя, сразу находим функцию распределения Больцмана (1) Величина Z есть сумма состояний в Г-пространстве. Из Z можно вывести все величины, характеризующие равновесие. В частности, вариация Z по Н дает Для средней энергии получаем Темп-ра и энтропия определяется из второго начала получим: на основании этого равенства приходим к выводу ,отсюда находим (2) Из уравнений (1) и (2) следует далее Черта здесь означает усреднение. В явном виде мы имеем ,основываясь на получаем .Таким образом, гипотезы Гиббса и Больцмана эквивалентны.

 

 







Date: 2015-05-09; view: 1603; Нарушение авторских прав



mydocx.ru - 2015-2026 year. (1.065 sec.) Все материалы представленные на сайте исключительно с целью ознакомления читателями и не преследуют коммерческих целей или нарушение авторских прав - Пожаловаться на публикацию