Главная Случайная страница


Полезное:

Как сделать разговор полезным и приятным Как сделать объемную звезду своими руками Как сделать то, что делать не хочется? Как сделать погремушку Как сделать так чтобы женщины сами знакомились с вами Как сделать идею коммерческой Как сделать хорошую растяжку ног? Как сделать наш разум здоровым? Как сделать, чтобы люди обманывали меньше Вопрос 4. Как сделать так, чтобы вас уважали и ценили? Как сделать лучше себе и другим людям Как сделать свидание интересным?


Категории:

АрхитектураАстрономияБиологияГеографияГеологияИнформатикаИскусствоИсторияКулинарияКультураМаркетингМатематикаМедицинаМенеджментОхрана трудаПравоПроизводствоПсихологияРелигияСоциологияСпортТехникаФизикаФилософияХимияЭкологияЭкономикаЭлектроника






Поглощение света 4 page





 

Спектральное разрешение дифракционной решетки. Критерий Рэлея.

, где m — порядок интерференции, N — число штрихов решетки.

 

Побочные максимумы дифракционной решетки.

— относительные интенсивности побочных максимумов.

 

Условие отсутствия четных дифракционных максимумов решетки.

— целое число, это условие отсутствия главного максимума m-ого порядка, где — ширина прозрачной части штриха.

 

Дифракционная решетка с синусоидальным коэффициентом пропускания.

, где и .

 

Фазовая дифракционная решетка.

 

Отражательная дифракционная решетка.

 

Решетка с профилированным штрихом.

 

 

Тема 11. Голография.

 

Голограмма плоской световой волны.

 

Голограмма точки при нормальном падении опорной волны.

=> =>

При : ,

при : .

 

Голограмма точки при наклонном падении опорной волны.

 

Плоская голограмма протяженного объекта.

 

Толстослойная голограмма.

=> и .

Пусть при записи голограммы => .

Пусть при воспроизведении голограммы =>

=>

=> мнимые изображения от разных слоев голограммы не совпадают при условии .

 

 

Тема 12. Дифракционный предел разрешения.

 

Дифракционный предел разрешения телескопа и глаза.

— угловое разрешение телескопа, где D — диаметр объектива телескопа.

 

Понятие о разрешающей способности микроскопа.

, где (2u) — апертура микроскопа, n — показатель преломления среды между предметом и объективом микроскопа.

— числовая апертура микроскопа.

 

 

Тема 13. Взаимодействие света с веществом.

 

Факультативно. Постановка задачи.

1. Реакция среды на поле световой волны, осциллирующие диполи атомов.

2. Обратное воздействие среды на волну, интерференция излучения диполей и проходящей световой волны. Изменение амплитуды в результате интерференции — поглощение света, изменение фазы — показатель преломления отличный от единицы.

 

Комплексная восприимчивость среды. Ее связь с коэффициентом поглощения и показателем преломления. Закон Бугера.

, где и — комплексные дипольный момент атома и действующая на атом напряженность поля световой волны, α — комплексная поляризуемость атома.

, где и — комплексные амплитуды дипольного момента и напряженности поля.

, где — комплексная поляризация среды, — концентрация атомов.

, где — комплексная восприимчивость среды.

=> для не очень плотной среды.

, где и — вещественная и мнимая части комплексной восприимчивости среды.

для взаимодействия света со средой => , где — какой-то коэффициент пропорциональности =>

Плоская волна описывает экспоненциальную зависимость комплексной амплитуды волны при комплексном волновом числе .

Введем обозначения для вещественной и мнимой части комплексного :

Тогда . Здесь — изменяющаяся с z координатой амплитуда поля.

Тогда интенсивность, как квадрат амплитуды, тоже изменяется по экспоненциальному закону . Эта зависимость интенсивности света называется законом Бугера. Здесь называется коэффициентом поглощения среды.

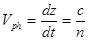
Мнимый показатель экспоненты в выражении для поля равен фазе волны . Уравнение поверхности постоянной фазы можно продифференцировать по времени и найти фазовую скорость или скорость движения поверхности постоянной фазы . Следовательно, в выражении для вещественной части является показателем преломления среды по определению показателя преломления .

В уравнении Гельмгольца для комплексной амплитуды поля за обозначено , но . Подставляя , получаем комплексное уравнение . Откуда находим вещественные и :

Для не слишком плотной среды, когда , получаем

 

Модель атома Томсона. Комплексная поляризуемость атомов Томсона.

Комплексная восприимчивость среды из атомов Томсона.

, где — радиус вектор проведенный из ядра атома к центру тяжести электронной оболочки, — плотность электронного облака, — полный заряд электронного облака, — масса электронного облака, — внешнее световое поле. Умножив на заряд , добавив феноменологическое затухание и перейдя к комплексному выражению для поля, получаем дифференциальное уравнение для дипольного момента атома Томсона:

, где , .

Стационарное решение этого уравнения имеет вид . Сравнивая с , находим комплексную поляризуемость атома Томсона: и комплексную восприимчивость среды .

При малых отстройках частоты света относительно частоты поглощения получаем для вещественной и мнимой части восприимчивости среды выражения:


и с учетом получаем

, где — отстройка частоты светового поля относительно частоты поглощающего перехода, — концентрация атомов.

 

Нормальная и аномальная дисперсия света.

Причина неравенства n > 1 в частотной области прозрачности среды.

— лоренцевский контур линии поглощения среды, — полуширина на полувысоте линии поглощения.

— дисперсионный контур показателя преломления среды.

— нормальная дисперсия,

— аномальная дисперсия.

 

Факультативно. Интегральное соотношение между вещественной

и мнимой частями амплитудного коэффициента пропускания.

Дисперсионное соотношение Крамерса-Кронига.

при t < 0, где — амплитудный коэффициент пропускания.

при t < 0.

при t < 0.

— соотношения Крамерса-Кронига, здесь — главное значение интеграла.

 

Рассеяние света.

— поле внутри капли тумана.

— поляризация капли.

— дипольный момент капли, — радиус капли, — показатель преломления капли.

— поле излучения диполя, где — угол между направлением колебаний диполя и направлением излучения.

Пусть — угол рассеяния, тогда для одной поляризации света независимо от величины , для другой поляризации . Откуда

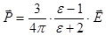
, где — интенсивность света рассеянного одно каплей тумана, — радиус капли, — интенсивность неполяризованного падающего света, — угол рассеяния.

 

Рэлеевское рассеяние света.

, где — поляризуемость атомов, — количество атомов в объеме .

 

Волна де Бройля. Уровни энергии атома водорода.

— скаляр по группе Лоренца для любой волны, — 4-х вектор, тогда

— 4-х вектор.

— 4-х вектор для любой волны,

— 4-х вектор для любой частицы.

Де Бройль предположил, что каждой частице соответствует волна и эти два 4-х вектора совпадают.

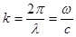
Тогда , откуда — длина волны де Бройля, где — импульс частицы.

, где — длина замкнутой траектории, — целое число.

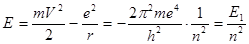
Тогда для атома водорода

=> => — уровни энергии атома водорода.

 

Частота перехода между уровнями энергии.

Пусть атом находится одновременно на двух уровнях энергии с волновыми функциями состояний и . Тогда суммарная волновая функция испытывает биения на частоте . Плотность электронного облака в каждой точке испытывает биения с частотой , дипольный момент атома осциллирует с частотой , атом излучает поле с частотой .

При излучении света атом теряет порцию энергии . Отсюда следует, что свет излучается и поглощается порциями .

 

Факультативно. Разрешенные и запрещенные переходы. Правила отбора.

 

Поглощение света. Вынужденное излучение света. Спонтанное излучение света.

 

Факультативно. Понятие о коэффициентах Эйнштейна.

 

Инверсия заселенностей лазерной среды.

, где — заселенность уровня 1, — вероятность обнаружить атом на уровне 1, — концентрация атомов.

По распределению Больцмана при термодинамическом равновесии при температуре T. В этом случае N2 < N1 при E2 > E1.

Если равновесия нет, то возможна ситуация, при которой N2 > N1 — инверсия заселенностей.

 

Факультативно. Необязательность модели атома Томсона

для лоренцевского контура линии поглощения

и дисперсионного контура показателя преломления.

Пусть при t > 0.

Тогда — Фурье-образ поля.

=> — лоренцевский контур линии спонтанного излучения. Для сохранения распределения Больцмана в условиях термодинамического равновесия необходимо, чтобы контуры линии поглощения и линии вынужденного излучения были подобны контуру линии спонтанного излучения.


Дисперсионный контур показателя преломления следует из соотношения Крамерса-Кронига.

 

Рентгеновское излучение. Сплошной и линейчатый спектры излучения рентгеновской трубки. K, L, M, N, O,... - серии рентгеновских спектральных линий.

 

Дифракция рентгеновских лучей на кристалле. Лауэграммы.

,

где — пространственный период решетки, — целое число, , — волновой вектор падающей волны, , — волновой вектор дифрагирующей волны.

 

Условие Вульфа-Брегга

для дифракции монохроматических рентгеновских лучей на поликристалле.

, где — разность хода, — межплоскостное расстояние, — угол скольжения, — целое число.

 

Эффект Комптона.

Эффект Комптона — рассеяние рентгеновского излучения с изменением длины волны рассеянного излучения.

Рассмотрение эффекта проводится в нерелятивистском приближении, так как энергия фотона гораздо меньше энергии покоя электрона: .

Для фотона => — импульс фотона.

Для рассеяния фотона на свободном электроне напишем закон сохранения энергии и закон сохранения импульса для двух проекций импульса:

Решаем эту систему относительно неизвестных , , . Угол рассеяния фотона — параметр задачи.

Исключаем из второго и третьего уравнений системы и получаем

Из первого уравнения системы получаем , что можно подставить в предыдущее уравнение и получить:

Здесь первым слагаемым можно пренебречь, так как => => . В результате пренебрежения получаем:

. Разделим это равенство на и получим окончательное выражение для изменения длины волны рассеянного рентгеновского излучения в зависимости от направления рассеяния

 

Световое давление. Корпускулярная и волновая трактовки светового давления.

1). Корпускулярная трактовка.

Для фотона => — связь импульса фотона и его энергии.

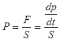
Давление по определению . Следовательно, давление — плотность потока импульса.

Интенсивность света — плотность потока энергии. Следовательно

— выражение для давления света через интенсивность света.

, где — объемная плотность энергии светового поля, тогда .

2). Волновая трактовка.

Давление создается силой Лоренца со стороны магнитного поля световой волны, действующей на заряды электрического тока, вызванного электрическим полем световой волны.

 

Фотоэффект. Красная граница фотоэффекта. Формула Эйнштейна. Опыты Столетова.

, где — масса выбиваемого электрона, — его скорость, — работа выхода.

— красная граница фотоэффекта.

 

Факультативно. Внутренний фотоэффект. Фотодиод.

 

Доплеровский контур линии поглощения.

— продольный эффект Доплера, где — проекция скорости молекул на луч или лучевая скорость. Тогда


, где — частота света в системе отсчета молекулы, — частота света в лабораторной системе отсчета, — волновое число.

— условие резонансного поглощения света.

Следовательно => . Чем больше молекул имеет лучевую скорость , тем больше поглощение света на частоте . Контур линии поглощения повторяет распределение Максвелла по проекции скорости молекул на луч:

, где — наиболее вероятная скорость молекул газа.

Заменяем в этом распределении на и получаем доплеровский контур линии поглощения:

 

Лазерное охлаждение.

 

Эффект Зеемана.

Расщепление спектральных линий в постоянном магнитном поле.

— частота ларморовской прецессии, где — заряд электрона, — масса электрона.







Date: 2015-05-09; view: 714; Нарушение авторских прав



mydocx.ru - 2015-2026 year. (0.312 sec.) Все материалы представленные на сайте исключительно с целью ознакомления читателями и не преследуют коммерческих целей или нарушение авторских прав - Пожаловаться на публикацию