Главная Случайная страница


Полезное:

Как сделать разговор полезным и приятным Как сделать объемную звезду своими руками Как сделать то, что делать не хочется? Как сделать погремушку Как сделать так чтобы женщины сами знакомились с вами Как сделать идею коммерческой Как сделать хорошую растяжку ног? Как сделать наш разум здоровым? Как сделать, чтобы люди обманывали меньше Вопрос 4. Как сделать так, чтобы вас уважали и ценили? Как сделать лучше себе и другим людям Как сделать свидание интересным?


Категории:

АрхитектураАстрономияБиологияГеографияГеологияИнформатикаИскусствоИсторияКулинарияКультураМаркетингМатематикаМедицинаМенеджментОхрана трудаПравоПроизводствоПсихологияРелигияСоциологияСпортТехникаФизикаФилософияХимияЭкологияЭкономикаЭлектроника






Дифракция





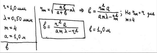
39. Перед диафрагмой с круглым отверстием радиусом r = 1,0 мм поместили точечный источник света ( = 0,50 мкм). Найти расстояние b от диафрагмы до точки наблюдения, для которой число зон Френеля в отверстии m = 4. Расстояние от источника света до диафрагмы a = 1,0 м.

40. Радиус 4-й зоны Френеля для плоского волнового фронта r4 = 3 мм. Определить радиус 12-й зоны из той же точки наблюдения.

41. В точке А (см. рис.) находится точечный источник монохроматического света ( = 500 нм). Диафрагма с отверстием радиусом 1 мм перемещается из точки, отстоящей от А на 50 см, в точку, отстоящую от А на 1,5 м. Сколько раз будет наблюдаться затемнение в точке В, если АВ = 2 м?

42. Свет от точечного источника падает на диафрагму с круглым отверстием, радиус которого можно менять произвольно. На экране, расположенном на расстоянии l 1 = 125 см от диафрагмы, получилась дифракционная картина. Найти длину волны падающего света, если в центре дифракционной картины максимум наблюдается при r1 = 1,00 мм, а следующий за ним – при r2 = 1,29 мм. Расстояние от источника до диафрагмы l 2 = 100 см.

43. Дифракционная решетка содержит 100 штрихов на 1 мм длины. Определить длину волны монохроматического света, падающего на решетку нормально, если угол между двумя фраунгоферовыми максимумами 1-го порядка 80.

44. Постоянная дифракционной решетки, установленной в спектрометре, 2мкм. Под каким углом к оси коллиматора следует установить зрительную трубу для наблюдения спектральной линии с длиной волны 410 нм?

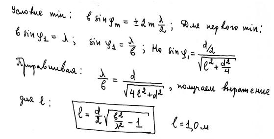
45. На узкую щель шириной b = 0,05 мм падает нормально монохроматический свет с длиной волны = 694 нм. Определить направление света на вторую светлую дифракционную полосу (по отношению к первоначальному направлению света).

46. На щель шириной b = 0,1 мм падает нормально монохроматический свет с длиной волны = 0,5 мкм. Дифракционная картина наблюдается на экране, расположенном параллельно щели. Определить расстояние от щели до экрана, если ширина центрального дифракционного максимума d = 1 см.

47. На дифракционную решетку нормально падает монохроматический свет с длиной волны = 600 нм. Определить наибольший порядок спектра, полученный с помощью этой решетки, если ее постоянная d = 2 мкм.







Date: 2015-05-09; view: 5454; Нарушение авторских прав



mydocx.ru - 2015-2026 year. (1.392 sec.) Все материалы представленные на сайте исключительно с целью ознакомления читателями и не преследуют коммерческих целей или нарушение авторских прав - Пожаловаться на публикацию