Главная Случайная страница


Полезное:

Как сделать разговор полезным и приятным Как сделать объемную звезду своими руками Как сделать то, что делать не хочется? Как сделать погремушку Как сделать так чтобы женщины сами знакомились с вами Как сделать идею коммерческой Как сделать хорошую растяжку ног? Как сделать наш разум здоровым? Как сделать, чтобы люди обманывали меньше Вопрос 4. Как сделать так, чтобы вас уважали и ценили? Как сделать лучше себе и другим людям Как сделать свидание интересным?


Категории:

АрхитектураАстрономияБиологияГеографияГеологияИнформатикаИскусствоИсторияКулинарияКультураМаркетингМатематикаМедицинаМенеджментОхрана трудаПравоПроизводствоПсихологияРелигияСоциологияСпортТехникаФизикаФилософияХимияЭкологияЭкономикаЭлектроника






Интерференция





32. Расстояние между двумя когерентными источниками света ( = 0,5 мкм) равно 0,1 мм. Расстояние между интерференционными максимумами интерференционной картины равно 1 см. Определить расстояние от источников до экрана.

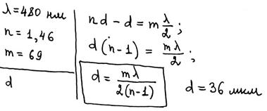
33. Два когерентных источника света с длиной волны = 480 нм создают на экране интерференционную картину. Если на пути одного из пучков поместить тонкую кварцевую пластину с показателем преломления n = 1,46, то интерференционная картина смещается на m = 69 полос. Определить толщину d пластины.

34. Тонкая пленка с показателем преломления n = 1,5 освещается светом с длиной волны = 600 нм. При какой минимальной толщине пленки исчезнут интерференционные полосы?

35. На плоскопараллельную пленкус показателем преломления n = 1,33 под углом = 450 падает параллельный пучок света. Определить, при какой наименьшей толщине пленки зеркально отраженный свет наиболее сильно окрасится в желтый свет ( = 0,60 мкм).

36. Установка для наблюдения колец Ньютона освещается монохроматическим светом с длиной волны = 0,5 мкм, падающим нормально. Определить толщину воздушного зазора, образованного плоскопараллельной пластинкой и соприкасающейся с ней плосковыпуклой линзой в том месте, где в отраженном свете наблюдается 5-е светлое кольцо.

37. Оптическая сила плосковыпуклой линзы (n = 1,5) 0,5 дптр. Линза выпуклой стороной лежит на стеклянной пластинке. Определить радиус 7-го темного кольца Ньютона в проходящем свете = 0,5 мкм.

38. Плосковыпуклая линза с показателем преломления n = 1,6 выпуклой стороной лежит на стеклянной пластинке. Радиус третьего светлого кольца в отраженном свете ( = 0,6 мкм) равен 0,9 мм. Определить фокусное расстояние линзы.







Date: 2015-05-09; view: 9306; Нарушение авторских прав



mydocx.ru - 2015-2026 year. (1.751 sec.) Все материалы представленные на сайте исключительно с целью ознакомления читателями и не преследуют коммерческих целей или нарушение авторских прав - Пожаловаться на публикацию