Главная Случайная страница


Полезное:

Как сделать разговор полезным и приятным Как сделать объемную звезду своими руками Как сделать то, что делать не хочется? Как сделать погремушку Как сделать так чтобы женщины сами знакомились с вами Как сделать идею коммерческой Как сделать хорошую растяжку ног? Как сделать наш разум здоровым? Как сделать, чтобы люди обманывали меньше Вопрос 4. Как сделать так, чтобы вас уважали и ценили? Как сделать лучше себе и другим людям Как сделать свидание интересным?


Категории:

АрхитектураАстрономияБиологияГеографияГеологияИнформатикаИскусствоИсторияКулинарияКультураМаркетингМатематикаМедицинаМенеджментОхрана трудаПравоПроизводствоПсихологияРелигияСоциологияСпортТехникаФизикаФилософияХимияЭкологияЭкономикаЭлектроника






ФОТОМЕТРИЯ. 1. На какую высоту над чертежной доской необходимо повесить лампочку мощностью P = 300 Вт, чтобы освещенность доски под лампочкой была равна E = 60 лк





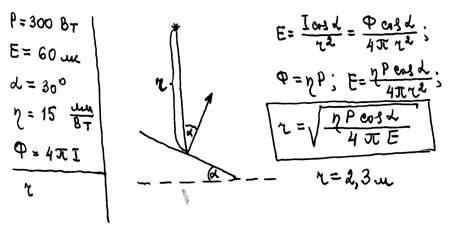
1. На какую высоту над чертежной доской необходимо повесить лампочку мощностью P = 300 Вт, чтобы освещенность доски под лампочкой была равна E = 60 лк. Наклон доски составляет 300 , а световая отдача лампочки равна 15 лм/Вт. Принять, что полный световой поток, испускаемый изотропным точечным источником света, Ф = 4πI.

2. Определить полный световой поток, даваемый изотропным точечным источником, если на расстоянии 2,00 м от него освещенность 15,0 лк.

3. Над центром квадратной спортивной площадки на высоте 5 м висит лампа. Рассчитать, на каком расстоянии от центра площадки освещенность поверхности земли в 2 раза меньше, чем в центре. Считать, что сила света лампы по всем направлениям одинакова.

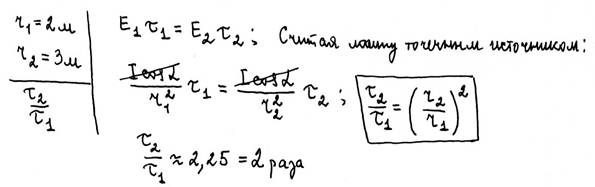
4. Предмет при фотографировании освещается электрической лампой, расположенной от него на расстоянии r1 = 2 м. Во сколько раз надо увеличить время экспозиции, если эту же лампу расположить на расстоянии r2 = 3 м?

5. В центре круглого стола диаметром d = 1,2 м стоит настольная лампа из одной лампочки на высоте 40 см от поверхности стола. Над центром стола на высоте 200 см висит люстра из четырех таких же лампочек. В каком случае и во сколько раз освещенность на краю стола будет большей: горит настольная лампа или горит люстра?







Date: 2015-05-09; view: 5430; Нарушение авторских прав



mydocx.ru - 2015-2026 year. (0.756 sec.) Все материалы представленные на сайте исключительно с целью ознакомления читателями и не преследуют коммерческих целей или нарушение авторских прав - Пожаловаться на публикацию