Главная Случайная страница


Полезное:

Как сделать разговор полезным и приятным Как сделать объемную звезду своими руками Как сделать то, что делать не хочется? Как сделать погремушку Как сделать так чтобы женщины сами знакомились с вами Как сделать идею коммерческой Как сделать хорошую растяжку ног? Как сделать наш разум здоровым? Как сделать, чтобы люди обманывали меньше Вопрос 4. Как сделать так, чтобы вас уважали и ценили? Как сделать лучше себе и другим людям Как сделать свидание интересным?


Категории:

АрхитектураАстрономияБиологияГеографияГеологияИнформатикаИскусствоИсторияКулинарияКультураМаркетингМатематикаМедицинаМенеджментОхрана трудаПравоПроизводствоПсихологияРелигияСоциологияСпортТехникаФизикаФилософияХимияЭкологияЭкономикаЭлектроника






Законы отражения и преломления





6. Луч света падает на плоскую границу раздела двух сред с показателями преломления n1 и n2 соответственно, частично отражается и частично преломляется. Определить угол падения, при котором отраженный луч перпендикулярен преломленному лучу.

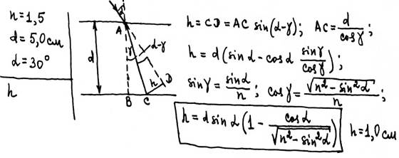
7. На плоскопараллельную стеклянную (n = 1,5) пластинку толщиной d = 5,0 см падает под углом i = 300 луч света. Определить величину бокового смещения луча, прошедшего сквозь эту пластинку.

8. На дне сосуда, наполненного водой (n = 1,33) до высоты h =25 см, находится точечный источник света. На поверхности воды плавает непрозрачная пластинка так, что центр пластинки находится над источником света. Определить минимальный диаметр пластинки, при котором свет не пройдет через поверхность воды.

9. Длинное тонкое волокно, выполненное из прозрачного материала с показателем преломления n = 1,35 образует световод. Определить максимальный угол к оси световода, под которым световой луч еще может падать на торец, чтобы пройти световод без ослабления.

10. На стакан, наполненный водой, положена стеклянная плоскопараллельная пластинка. Под каким углом должен падать на пластинку луч света, чтобы от поверхности раздела вода-стекло произошло полное внутреннее отражение? Показатель преломления стекла 1,5; показатель преломления воды 1,33.

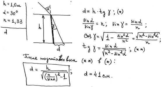
11. Шест высотой 1,0 м вбит вертикально в дно пруда так, что он целиком находится под водой. Определить длину тени от шеста на дне пруда, если лучи солнца падают на поверхность воды под углом 300. Показатель преломления воды 1,33.

12. Определить предельный угол, при котором происходит полное внутреннее отражение в алмазе.

13. Луч белого света падает под углом 600 на плоскопараллельную стеклянную пластинку. Крайний красный и фиолетовый лучи светового пуска, выходящего из противоположной грани пластинки, отстоят друг от друга на расстоянии 0,3 мм. Определить толщину пластинки, если показатель преломления стекла для крайних красных лучей 1,51, а для крайних фиолетовых 1,53.







Date: 2015-05-09; view: 4055; Нарушение авторских прав



mydocx.ru - 2015-2026 year. (1.247 sec.) Все материалы представленные на сайте исключительно с целью ознакомления читателями и не преследуют коммерческих целей или нарушение авторских прав - Пожаловаться на публикацию