Главная Случайная страница


Полезное:

Как сделать разговор полезным и приятным Как сделать объемную звезду своими руками Как сделать то, что делать не хочется? Как сделать погремушку Как сделать так чтобы женщины сами знакомились с вами Как сделать идею коммерческой Как сделать хорошую растяжку ног? Как сделать наш разум здоровым? Как сделать, чтобы люди обманывали меньше Вопрос 4. Как сделать так, чтобы вас уважали и ценили? Как сделать лучше себе и другим людям Как сделать свидание интересным?


Категории:

АрхитектураАстрономияБиологияГеографияГеологияИнформатикаИскусствоИсторияКулинарияКультураМаркетингМатематикаМедицинаМенеджментОхрана трудаПравоПроизводствоПсихологияРелигияСоциологияСпортТехникаФизикаФилософияХимияЭкологияЭкономикаЭлектроника






Диссоциация солей





Средние соли Кислые и основные соли Комплексные соли
В одну ступень Диссоциация сложных анионов и катионов – ступенчато (по типу слаб. эл-та) На комплексный ион и внешнюю сферу как сильный электролит. Комплексный ион – по типу слабого электролита
Na2SO4 Û 2Na++SO42- Na2HPO4Û2Na++HPO42- à HPO42-Û H+-+PO43- ß К3[Fe(CN)6] Û 3К++[Fe(CN)6]3- à [Fe(CN)6]ÛFe3+ + 6CN- ß

 

Способность электролитов проводить электрический ток объясняется распадом нейтральных молекул на заряженные частицы (ионы) под действием полярных молекул растворителя, например воды (теория электролитической диссоциации Аррениуса 1887г.). В зависимости от степени диссоциации (a) все электролиты делятся на сильные и слабые.

Степень диссоциации (распада) a = , т.е. отношение числа распавшихся молекул (молей) к общему числу молекул (молей). Часто выражают в процентах: a = .100%. Например, a = 30 % означает, что из 100 молекул распаду подвергаются 30 молекул.

Сила электролита характеризуется также константой диссоциации ( Кдис.)

Например, СН3СООН Û СН3СОО- + Н+

слаб.элек-т ß

Кдис = (вследствие закона действующих масс), где [CH3COO-], [CH3COOH], [H+]- концентрации

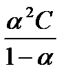
Кдис не зависит от концентрации, поэтому является физико-химической константой для данного вещества (приводится в приложении 4 – «Константы диссоциации кислот»). Константа диссоциации слабых электролитов < 10-2. Закон разбавления Оствальда позволяет установить взаимосвязь между константой диссоциации и степенью диссоциации:

Кдис = , если a<<1, то Кдис = a2.С, где С- концентрация электролита Þ a =

Ионные реакции. При составлении ионной реакции руководствуются принципом Ле-Шателье, т.е. реакция становится необратимой (®) если в результате нее образуются:

а) малорастворимое вещество (осадок) или

б) легколетучее вещество (газ) или

в) малодиссоциирующее вещество (слабый электролит)

Пример 1. Написать уравнения реакции в молекулярной, в полной и краткой ионной формах:

СH3СООН + KOH ® СH3СООK + H2O – молекулярное уравнение

слаб.эл-т сил.эл-т сил.эл-т слаб.эл-т

СH3СООН + K+ +OH-® K ++ СH3СОО -+ 3H2O – ионное уравнение

Данное уравнение отражает состояние вещества в водном растворе с точки зрения теории электролитической диссоциации (сильные электролиты диссоциируют на ионы; слабые – слабо диссоциируют, т.е. существуют в основном в виде нейтральных молекул).

СH3СООН + OH-®- СH3СОО- + 3H2O – краткое ионное уравнение получают, исключив одинаковые ионы в правой и левой части полного ионного уравнения.

Пример 2. Составить молекулярные уравнения исходя из краткого ионного уравнения:

S2- + H+® H2S­ – краткая ионная форма уравнения

ион ион

K2S + 2HCl ® H2S­+2KCl – молекулярная форма уравнения

сил. эл-т сил.эл-т

данное уравнение составлено из утверждения, что иону соответствует сильный электролит.

Рекомендуемая литература: [1], с.231-246; [2], с.218-224.

 







Date: 2015-05-09; view: 890; Нарушение авторских прав



mydocx.ru - 2015-2026 year. (0.904 sec.) Все материалы представленные на сайте исключительно с целью ознакомления читателями и не преследуют коммерческих целей или нарушение авторских прав - Пожаловаться на публикацию