Главная Случайная страница


Полезное:

Как сделать разговор полезным и приятным Как сделать объемную звезду своими руками Как сделать то, что делать не хочется? Как сделать погремушку Как сделать так чтобы женщины сами знакомились с вами Как сделать идею коммерческой Как сделать хорошую растяжку ног? Как сделать наш разум здоровым? Как сделать, чтобы люди обманывали меньше Вопрос 4. Как сделать так, чтобы вас уважали и ценили? Как сделать лучше себе и другим людям Как сделать свидание интересным?


Категории:

АрхитектураАстрономияБиологияГеографияГеологияИнформатикаИскусствоИсторияКулинарияКультураМаркетингМатематикаМедицинаМенеджментОхрана трудаПравоПроизводствоПсихологияРелигияСоциологияСпортТехникаФизикаФилософияХимияЭкологияЭкономикаЭлектроника






Глава 6. Способы выражения концентраций растворов





После изучения этой темы вы должны усвоить:

- основные понятия: раствор, растворитель, растворенное вещество;

- способы выражения концентраций растворов.

Растворы представляют собой гомогенную (однородную) систему, состоящую из двух или более компонентов и продуктов их взаимодействия. Растворителем считают тот компонент, количество которого в растворе преобладает.

Концентрацией раствора называется содержание растворенного вещества в определенной массе или определенном объеме раствора (или растворителя). Существует несколько способов выражения концентрации раствора: процентная концентрация, молярная, моляльная, нормальная, т.е. концентрация моль-эквивалентов.

Процентная концентрация (w) раствора показывает, сколько граммов растворенного вещества содержится в 100 г раствора. Математическое выражение для расчета процентной концентрации раствора:

Растворы характеризуются еще одной важной величиной – плотностью раствора. Плотность (r) – это масса одной единицы объема. Плотность обычно измеряют в г/см3 или г/мл.

Молярная концентрация (См) – показывает число молей растворенного вещества, содержащихся в 1 литре раствора.

1 Моль это такое количество вещества (n), которое содержит 6,02.1023 структурных единиц (атомов, молекул, ионов). 6,02 1023- число Авогадро. Молярная масса ( М ) вещества (масса одного моля) численно равна молекулярной массе. Она рассчитываетсякак отношение массы вещества (m) к его количеству: М = m/n (г/моль).

Моляльная концентрация (Cm) – показывает число молей растворенного вещества содержащихся в 1000 г растворителя.

Вещества вступают в реакции в эквивалентном количестве. Например, 1 моль H2SO4 эквивалентен 2 молям NaOH в реакции

H2SO4 + 2NaOH = Na2SO4 + 2H2O

Нормальная концентрация (Сн) – показывает число моль-эквивалентов растворенного вещества, содержащегося в 1 литре раствора.

Эквивалентом (Э) вещества (атом, молекула, ион)называют такое его количество, которое соединяется с 1молем атомов или ионов водорода или замещает то же количество атомов водорода в химической реакции. Масса одного эквивалента вещества выражается в граммах, называется эквивалентной массой. Для вычисления эквивалентной массы элемента его атомную массу (А) делят на валентность (В):

Эm(эл-та) = А\В, например ЭСа = 40\2 = 20 г/моль.экв.

Эквивалентные массы сложных веществ:

Эm(кислоты) = М\кол-во атомов Н

Эm(основания) = М\кол-во групп ОН

Эm(соль) = М \ В(Ме).n(Ме), где n – число атомов металла в молекуле

В случае окислительно-восстановительных процессов молекулярную (атомную) массу вещества делят на число отданных или принятых электронов, например ЭmKMnO4 = M/5, если KMn+7O4 Mn+2.

Закон эквивалентов. Массы реагирующих веществ прямопропорциональны их эквивалентным массам: m1\m2= Эm1m2

Примеры расчета

Задача 1. Провести расчет массы кристаллогидрата СuSO4 . 5H2O и объем воды для приготовления 500 г раствора с wCuSO4 5% (r=1,1г/cм3).

Þ m (безводного в-ва) = = = 25г CuSO4 (безводного в-ва)

Расчет массы кристаллогидрата СuSO4 . 5H2O:

1 моль СuSO4 . 5H2O – 250г

1 моль СuSO4. – 160г Þ составим пропорцию:

160г безводного СuSO4.содержится в 250г СuSO4 . 5H2O

25г---------//------------//------------//-------х г-

х = = 39,06 г СuSO4 . 5H2O

Расчет объема воды:

VH2O = mH2O. rH2O (rH2O = 1);

mH2O = mр-ра – mв-ва= 500 – 39,06 = 460,94 г или» 461мл.

Ответ: Для приготовления 5% раствора из кристаллогидрата (СuSO4 . 5H2O) берем навеску вещества 39,06г и растворяем в 461мл воды.

Задача 2. Из данного раствора приготовить 200 мл 0,1 молярного раствора.

Рассчитаем массу СuSO4.соответствующую концентрации См = 0,1 моль/л на объем колбы 200 мл:

0,1моль/л соответствует m = nМ = 0,1.160 = 16 г/л СuSO4

16 г СuSO4 содержится в 1000 мл раствора

х г //------- //------- //------ //--- 200 мл

х = =3,2 г.

Найдем объем (V) 5% раствора, который содержит массу 3,2 г СuSO4:

m p-pa
5% из определения процентной концентрации это 5 г – 100г (р-ра).

Vр-ра = = = 90,91мл

5г СuSO4 содержится в 90,91 мл раствора

3,2 г -----// -------//------//--- х мл

х = = 58,18 мл» 58 мл.

Ответ: Для приготовления 0,1 молярного раствора на объем колбы 200 мл берем мерным цилиндром 58 мл (5% раствора СuSO4) и доводим раствор до метки водой.

Задача 3. Провести расчет нормальной концентрации данного 5% раствора СuSO4.

Найдем число моль эквивалентов 5% раствора:

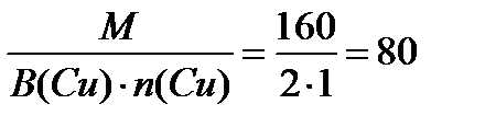
Масса одного моля эквивалента равна Эm = г


1моль эквивалент СuSO4 содержит 80 г

х моль эквивалент //------ // ----- //-----// -5 г (5%)

х = = 0,06 моль-.экв./100г р-ра или 0,06моль.-экв./ 90,91 мл (см. выше)

0,06 моль эквивалентов содержится в 90,91 мл раствора

х (Сн) //------// -----// -----// ------// ----- 1000мл

х = = 0,66 моль·экв/л

Ответ: Данный 5% раствор СuSO4 соответствует Сн =0,66 моль·экв/л.

Рекомендуемая литература: [1], с.216-221


 







Date: 2015-05-09; view: 1012; Нарушение авторских прав



mydocx.ru - 2015-2026 year. (0.515 sec.) Все материалы представленные на сайте исключительно с целью ознакомления читателями и не преследуют коммерческих целей или нарушение авторских прав - Пожаловаться на публикацию