Главная Случайная страница


Полезное:

Как сделать разговор полезным и приятным Как сделать объемную звезду своими руками Как сделать то, что делать не хочется? Как сделать погремушку Как сделать так чтобы женщины сами знакомились с вами Как сделать идею коммерческой Как сделать хорошую растяжку ног? Как сделать наш разум здоровым? Как сделать, чтобы люди обманывали меньше Вопрос 4. Как сделать так, чтобы вас уважали и ценили? Как сделать лучше себе и другим людям Как сделать свидание интересным?


Категории:

АрхитектураАстрономияБиологияГеографияГеологияИнформатикаИскусствоИсторияКулинарияКультураМаркетингМатематикаМедицинаМенеджментОхрана трудаПравоПроизводствоПсихологияРелигияСоциологияСпортТехникаФизикаФилософияХимияЭкологияЭкономикаЭлектроника






Фильтры индуктивные, емкостные, смешанные





Емкостные и индукционные фильтры

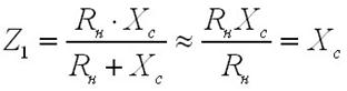
При рассмотрении работы выпрямителей на нагрузку с емкостной и индуктивной реакцией было выяснено, что включение параллельно нагрузке емкости С или последовательно с нагрузкой индуктивности Lдp при выполнении соотношений

и

значительно снижает пульсации выпрямленного напряжения.

Емкостные фильтры

Сглаживающее действие фильтра, состоящего из емкости, основано на запасе энергии в электрическом поле конденсатора и его разряде при отсутствии тока через вентиль на сопротивление нагрузки Rн:

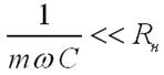
Чем больше Rн, тем медленней разряжается конденсатор и тем постоянней будет напряжение на нем. Поэтому емкостные фильтры применяют при больших сопротивлениях нагрузки и как следствие – малых токах нагрузки. Сглаживающее действие емкости может быть пояснено следующим образом. При выполнении неравенства

переменная составляющая выпрямленного тока будет в основном замыкаться через емкость, так как для нее сопротивление конденсатора значительно меньше, чем сопротивление нагрузки. Постоянная составляющая выпрямленного тока наоборот будет замыкаться в основном через сопротивление нагрузки, так как емкость представляет для нее бесконечно большое сопротивление. В результате фильтрующего действия емкости пульсации в нагрузке существенно уменьшаются.

Оценим величину сглаживания емкостного фильтра С. Для этого перепишем выражениие выше в виде

Напомним, что здесь m – число, показывающее, во сколько раз частота основной гармоники больше частоты сети fc. Величина ω = 2 π fс – угловая частота. Приняв во внимание, что kп.вх – коэффициент пульсации напряжения при отсутствии емкости С и kп.вых – коэффициент пульсации при включенной емкости С, получим

где Iм~ – амплитуда первой гармоники выпрямленного тока,

Согласно формулам выше будем иметь

Емкости конденсаторов, используемых в сглаживающих фильтрах, составляют обычно 1–20 мкф. При f = 50 гц емкостное сопротивление

Выпрямитель с выходным напряжением U = 300 в и потребляемым током I0 = 150 ма работает на сопротивление нагрузки

Коэффициент сглаживания получим

Реальные значения kс емкостных фильтров обычно невелики и составляют не более 5 ÷ 0. Коэффициент пульсации на выходе емкостного фильтра определяется соотношением:

 







Date: 2015-05-09; view: 922; Нарушение авторских прав



mydocx.ru - 2015-2026 year. (0.721 sec.) Все материалы представленные на сайте исключительно с целью ознакомления читателями и не преследуют коммерческих целей или нарушение авторских прав - Пожаловаться на публикацию