Главная Случайная страница


Полезное:

Как сделать разговор полезным и приятным Как сделать объемную звезду своими руками Как сделать то, что делать не хочется? Как сделать погремушку Как сделать так чтобы женщины сами знакомились с вами Как сделать идею коммерческой Как сделать хорошую растяжку ног? Как сделать наш разум здоровым? Как сделать, чтобы люди обманывали меньше Вопрос 4. Как сделать так, чтобы вас уважали и ценили? Как сделать лучше себе и другим людям Как сделать свидание интересным?


Категории:

АрхитектураАстрономияБиологияГеографияГеологияИнформатикаИскусствоИсторияКулинарияКультураМаркетингМатематикаМедицинаМенеджментОхрана трудаПравоПроизводствоПсихологияРелигияСоциологияСпортТехникаФизикаФилософияХимияЭкологияЭкономикаЭлектроника






Общие сведения. Биполярный транзистор состоит из двух электронно-дырочных переходов, т.е





Биполярный транзистор состоит из двух электронно-дырочных переходов, т.е. из трех чередующихся слоев разного типа проводимости. Транзисторы бывают двух типов: p-n-p и n-p-n. Для работы транзистора в усилительном режиме нужно подать напряжение на эмиттерный переход в прямом направлении, а на коллекторный – в обратном.

Для транзистора p-n-p типа ток, проходящий через эмиттерный переход, состоит в основном из дырок, поступающих из эмиттера на базу. Часть их рекомбинирует с электронами в базе. Однако при изготовлении транзистора концентрацию акцепторной примеси в эмиттере делают гораздо большей, чем концентрацию донорной примеси в базе. Кроме того, ширину базы делают очень маленькой.

По этим причинам большинство дырок (90-99%) не успевают рекомбинировать с электронами в базе, проходят ее и втягиваются полем коллекторного перехода в коллектор. Переход дырок из эмиттера в базу и далее в коллектор вызывает ток через транзистор.

Ток через эмиттерный переход несколько больше тока, проходящего через коллекторный переход , вследствие частичной рекомбинации дырок с электронами в базе. Очевидно, разность этих токов составляет ток базы .

Существуют три схемы включения транзисторов: с общей базой, с общим эмиттером и с общим коллектором.

В схеме с общей базой входным током является ток , а выходным током . При этом Iэ= Iк+ Iб. Коэффициент передачи по току для такой схемы h 21б= ΔIк/ΔIэ» 0.95 – 0,99.

В схеме с общим эмиттером входным током является ток Iб, а выходным током .. Коэффициент передачи по току для такой схемы h 21э= ΔIк/ ΔIб= h 21б/(1- h 21б), и находится в пределах 20 – 100.

В схеме с общим коллектором входным током является ток Iб, а выходным током Iэ. Коэффициент передачи по току для такой схемы h 21к= ΔIэ/ ΔIб=1/(1- h 21б)= h 21э+1.

 

2. Приборы и оборудование: биполярный транзистор, миллиамперметр, вольтметр, источник питания.

 

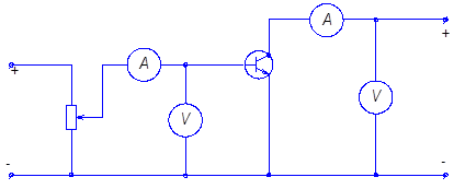
3. Схема соединения:

 

 

4. Порядок выполнения работы:

4.1. Собрать схему, показать преподавателю.

4.2. Снять семейство входных характеристик транзистора Iб=F(Uб) при напряжении на коллекторе Uк=0В; 4.5В; 9В. При этом удобнее придерживаться следующей последовательности: для каждого значения тока базы Iб установить напряжения Uк1, Uк2, Uк3 и фиксировать соответствующее им напряжения Uб. Экспериментальные данные сводим в таблицу 1.

4.3 Снять семейство выходных характеристик Iк=F(Uк) при различных токах базы Iб через 100 мкА. Напряжение на коллекторе изменять в пределах от 1 до 9 В. Данные занести в таблицу 2.

4.4 Построить семейство входных и выходных характеристик Iб=F(UБ), Iк=F(Uк) и определить h параметры транзистора для рабочей точки в пределах линейного участка цепи.

h 11= ΔUбэ/ΔIб при Uкэ=const

h 12= ΔUбэ/ΔUкэ при Iб=const

h 21= ΔIк/ΔIб при Uкэ=const

h 22= ΔIк/ΔUк при Iб=const

h 11 - имеет размерность сопротивления и характеризует входное сопротивление транзистора.

h 12 - безразмерный параметр определяет внутреннюю обратную связь.

h 21 - безразмерный параметр, характеризует коэффициент передачи транзистора по току.

h 22 - имеет размерность проводимости, характеризует входную проводимость транзистора.

 

4.5 Таблица 1.

 

U бэ.mВ Iб,mA
Uкэ=0В U=4.5В U=9В
       
       
       
       
       
       

 

4.6 Таблица 2.

 

Iб, mkA   Uкэ, B            
Iк,mA
             
             
             
4.5            
             
7.5            
             

 

 

5. Сделать выводы о проделанной работе, ответить на контрольные вопросы.

 

6. Контрольные вопросы:

6.1 Дать определение биполярного транзистора и его назначение?

6.2 Какие схемы включения биполярного транзистора вы знаете?

6.3 Основные параметры транзистора?

 

Лабораторная работа 3







Date: 2015-05-08; view: 613; Нарушение авторских прав



mydocx.ru - 2015-2026 year. (0.511 sec.) Все материалы представленные на сайте исключительно с целью ознакомления читателями и не преследуют коммерческих целей или нарушение авторских прав - Пожаловаться на публикацию