Главная Случайная страница


Полезное:

Как сделать разговор полезным и приятным Как сделать объемную звезду своими руками Как сделать то, что делать не хочется? Как сделать погремушку Как сделать так чтобы женщины сами знакомились с вами Как сделать идею коммерческой Как сделать хорошую растяжку ног? Как сделать наш разум здоровым? Как сделать, чтобы люди обманывали меньше Вопрос 4. Как сделать так, чтобы вас уважали и ценили? Как сделать лучше себе и другим людям Как сделать свидание интересным?


Категории:

АрхитектураАстрономияБиологияГеографияГеологияИнформатикаИскусствоИсторияКулинарияКультураМаркетингМатематикаМедицинаМенеджментОхрана трудаПравоПроизводствоПсихологияРелигияСоциологияСпортТехникаФизикаФилософияХимияЭкологияЭкономикаЭлектроника






Проведение и обработка результатов опытов





 

Установить исследуе­мую пластину. Для лучшего теплового контакта нанести по 2 капли глицерина на поверхности печи и радиатора и по 1 капле – на плас­тину в месте контакта с гайкой. Подключить ИСТ-4. При включении сетевого питания ИСТ-4 автоматически включается венти­лятор под радиатором модуля. Включить нагреватель. Установить мощность: для алюминиевого стержня – 14-16 Вт, для латунного и стального – 8-10 Вт.Следите за показаниями датчика T1. При подходе температуры Т1 к заданной для опыта застабилизируйте температуру регулятором "ТЕМПЕРАТУРА" (добейтесь свечения двух индикаторов, зеленого и красного). Снимая значения t1 и t2 через 1-3 минуты, дождитесь стабилизации t2 (рост t2 не более 0,2 градуса в минуту; это произойдет через 10-20 минут). Определите установившееся значение ∆t = t1 - t2 и мощности нагрева W. Замените пластину на шайбу, термостатируйте печь при темпе­ратуре t1*, близкой к установившемуся значению t1, и определите мощность потерь W*. Зная расстояние (δ = 65 мм) между датчиками и площадь F попе­речного сечения пластины, определите теплопроводность материала:

 

λ=(W – W*)δ/(F(t1-t2)) (8)

 

Результаты опытов заносятся в таблицу.

 

Таблица

Результаты опытов

τ, мин.,сек t1, ОС t2, ОС I, А U, В W, Вт λ, Вт/(м К)  
             
             

 

Мощность потерь теплоты в окружающую среду:

t1*= ОС; I = А; U= В; W*= Вт.

 

 

ЛАБОРАТОРНАЯ РАБОТА №7

 

Определение коэффициента теплопередачи

 

Цель работы – экспериментальное определение коэффициента теплопередачи теплообменного аппарата.

Общие положения

 

Тепловой расчёт теплообменных аппаратов основывается на уравнениях теплопередачи и теплового баланса. В уравнении теплопередачи

Q = k.F.∆tср

 

где F – поверхность теплопередачи, м2; ∆tср- средний логарифмический температурный напор, К

 

∆tср=(∆tбол-∆tмен)/ℓn(∆tбол/∆tмен),

 

где ∆tбол и ∆tмен большая и меньшая разница в температурах теплоносителей (греющего и нагреваемого) на входе и выходе из теплообменного аппарата, К.

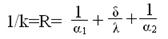
Величина k называется коэффициентом теплопередачи и представляет собой плотность теплового потока, проходящего от более нагретой среды к менее нагретой через 1 м2 поверхности стенки при разнице температур между средами 1К. Величина, обратная коэффициенту теплопередачи, называется термическим сопротивлением теплопередаче и обозначается R, м2.К/Вт.

Согласно определению k и R, имеем

 

 

В последней формуле α1 и α2 – коэффициенты теплоотдачи от греющей и нагреваемой среды в теплообменном аппарате, Вт/(м2.К);

δ – толщина стенки поверхности теплопередачи, м; λ – коэффициент теплопроводности стенки, Вт/(м.К).

В уравнении теплового баланса для теплообменного аппарата

 

Q = c1.G1 (t1’ – t1”) = c2.G2 (t2”– t2’)

 

где c1 и с2 – удельные массовые теплоёмкости теплоносителей, Дж/(кг.К); G1 и G2 – массовые расходы теплоносителей, кг/с; t1”, t1’ и t2”, t2’ – температуры теплоносителей на выходе и входе в теплообменный аппарат.

 







Date: 2015-05-08; view: 560; Нарушение авторских прав



mydocx.ru - 2015-2026 year. (1.116 sec.) Все материалы представленные на сайте исключительно с целью ознакомления читателями и не преследуют коммерческих целей или нарушение авторских прав - Пожаловаться на публикацию