Главная Случайная страница


Полезное:

Как сделать разговор полезным и приятным Как сделать объемную звезду своими руками Как сделать то, что делать не хочется? Как сделать погремушку Как сделать так чтобы женщины сами знакомились с вами Как сделать идею коммерческой Как сделать хорошую растяжку ног? Как сделать наш разум здоровым? Как сделать, чтобы люди обманывали меньше Вопрос 4. Как сделать так, чтобы вас уважали и ценили? Как сделать лучше себе и другим людям Как сделать свидание интересным?


Категории:

АрхитектураАстрономияБиологияГеографияГеологияИнформатикаИскусствоИсторияКулинарияКультураМаркетингМатематикаМедицинаМенеджментОхрана трудаПравоПроизводствоПсихологияРелигияСоциологияСпортТехникаФизикаФилософияХимияЭкологияЭкономикаЭлектроника






Процесс впуска





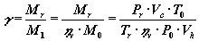
Давление и температура остаточных газов в начале впуска зависит главным образом от проходного сечения и коэффициента сопротивления выпускной системы, а также от числа оборотов двигателя. С увеличением числа оборотов давление остаточных газов возрастает. Это объясняется тем, что с увеличением оборотов продолжительность процесса выпуска сокращается, а скорость газов в выпускной системе увеличивается. С увеличением сопротивления выпускной системы давление остаточных газов возрастает, наполнение цилиндров ухудшается и мощность двигателя понижается.

Давление остаточных газов в начале впуска для двигателя без глушителя составляет по опытным данным:

,

где Р0 — давление окружающей среды.

Меньшие значения здесь относятся к малым и средним оборотам, большие – к оборотам двигателя, соответствующим максимальной мощности.

При установке глушителя давление остаточных газов возрастает.

Температура остаточных газов в начале впуска зависит главным образом от состава смеси и числа оборотов двигателя. С увеличением числа оборотов температура остаточных газов возрастает. Происходит это в основном вследствие ухудшения охлаждения продуктов сгорания из-за сокращения продолжительности цикла. По опытным данным, температура остаточных газов Tr в начале впуска при оборотах двигателя, соответствующих максимальной мощности, находится в следующих пределах: у карбюраторных двигателей 900–1200 К, у дизельных двигателей 600–800 К.

Действительное количество свежего заряда, поступившего в цилиндр двигателя за период впуска, значительно меньше теоретически возможного количества, которое могло бы заполнить рабочий объем цилиндра.

Качество газообмена оценивается не абсолютным, а относительным количеством свежего заряда, поступившего в цилиндр при впуске.

Отношение количества свежего заряда, поступившего в цилиндр за один цикл, к количеству, который имел бы заряд, заполняющий рабочий объем цилиндра при давлении и температуре на входе в систему впуска (Ро, То), называется коэффициентом наполнения.

.

У карбюраторных двигателей количество топлива, содержащегося в заряде, по сравнению с количеством воздуха сравнительно невелико. Поэтому коэффициент наполнения часто определяют по отношению количеств воздуха. Ошибка при этом не превышает 1–2%.

У карбюраторных и дизельных двигателей, работающих без наддува, параметры свежего заряда при поступлении его в систему впускасовпадают с параметрами окружающей среды (при расчетах двигателей без наддува принимают Ро = 0.101 МПа; Т0 =273 +15 = 288 К).

Количество газов, заполняющих цилиндр двигателя в конце впуска, составляет:

.

Характеристические уравнения для Ma, M0, Mr имеют следующий вид:

; ; ,

где: Рa, Тa давление и температура газов в конце впуска;

Ra, R0, Rr – соответствующие газовые постоянные.

После подстановки характеристических уравнений в уравнение для Ma получим

.

Если допустить равенство газовых постоянных Ra, R0, Rr и разделить обе части полученного выражения на Vc, можно написать

.

Учитывая, что

,

после соответствующих преобразований получим:

.

Коэффициент наполнения зависит главным образом от давления и температуры газов в конце впуска, числа оборотов и нагрузки двигателя (рис. 2.4).

С понижением давления и повышением температуры заряда коэффициент наполнения резко уменьшается. С увеличением числа оборотов двигателя коэффициент наполнения из-за сокращения продолжительности впуска понижается.

Коэффициент наполнения дизельных двигателей выше, чем карбюраторных, т. к. впускная система у первых конструктивно более проста, а подогрев свежего заряда менее интенсивен.

Коэффициент наполнения карбюраторных двигателей при работе с полной нагрузкой находится в зависимости от числа оборотов в пределах 0.65–0.85, дизельных двигателей 0.7–0.9.

При работе двигателя с наддувом коэффициент наполнения значительно повышается.

Рис. 2.4. Зависимость коэффициента наполнения от числа оборотов

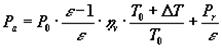
Степень загрязненности свежего заряда остаточными газами горючей смеси характеризует коэффициентом остаточных газов, который равен:

.

Произведя соответствующие преобразования, получим:

.

Из данного выражения следует, что коэффициент остаточных газов уменьшается при повышении степени сжатия, повышении коэффициента наполнения, увеличении температуры и понижении давления остаточных газов.

На коэффициент остаточных газов оказывают влияние число оборотов и нагрузка двигателя. С увеличением числа оборотов и уменьшением нагрузки коэффициент остаточных газов возрастает.


Коэффициент остаточных газов при полной нагрузке двигателя колеблется в пределах: для карбюраторных двигателей от 0.06 до 0.18, для дизельных – от 0.02 до 0.06.

Температура свежего заряда на входе в цилиндр зависит от температуры окружающей среды Т0 и приращения температуры Δ вследствие подогрева заряда от соприкосновения с горячими стенками впускного тракта (впускной коллектор и клапанные каналы).

Температура свежего заряда различных двигателей неодинакова. Для улучшения испаряемости топлива у карбюраторных двигателей применяется подогрев горючей смеси. Приращение температуры заряда Δ характеризуется следующими данными:

  • карбюраторные двигатели, работающие на бензине 10–45 °С;
  • дизельные двигатели 10–25 °С.

Давление и температура газов в конце впуска Тa, когда цилиндр двигателя заполнен газами, представляющими смесь свежезасосанного заряда и остаточных газов, могут быть определены при решении уравнения теплового баланса:

.

Поставив в уравнение теплового баланса выражения для его составляющих, получим:

.

Поделим каждое слагаемое на M1 и, считая, что ,получаем:

.

С изменением условий окружающей среды, интенсивности подогрева, сопротивления впускного и выпускного трактов температура газов в конце впуска заметно изменяется. Значительно изменяется она также в зависимости от нагрузки и числа оборотов двигателя.

При изменении числа оборотов температура в конце впуска находится в следующих пределах: в карбюраторных двигателях 340–400 К, в дизельных 310–360 К.

Давление газов в конце впуска Pa определяется опытным путем и составляет.

.

Большие из значений давления газов в конце впуска следует принимать для дизелей, а меньшие - для карбюраторных двигателей.

Кроме того, давление газов в конце впуска Pa можно определить при известном коэффициенте наполнения ηυ по формуле:

.







Date: 2015-05-05; view: 841; Нарушение авторских прав



mydocx.ru - 2015-2026 year. (0.822 sec.) Все материалы представленные на сайте исключительно с целью ознакомления читателями и не преследуют коммерческих целей или нарушение авторских прав - Пожаловаться на публикацию