Главная Случайная страница


Полезное:

Как сделать разговор полезным и приятным Как сделать объемную звезду своими руками Как сделать то, что делать не хочется? Как сделать погремушку Как сделать так чтобы женщины сами знакомились с вами Как сделать идею коммерческой Как сделать хорошую растяжку ног? Как сделать наш разум здоровым? Как сделать, чтобы люди обманывали меньше Вопрос 4. Как сделать так, чтобы вас уважали и ценили? Как сделать лучше себе и другим людям Как сделать свидание интересным?


Категории:

АрхитектураАстрономияБиологияГеографияГеологияИнформатикаИскусствоИсторияКулинарияКультураМаркетингМатематикаМедицинаМенеджментОхрана трудаПравоПроизводствоПсихологияРелигияСоциологияСпортТехникаФизикаФилософияХимияЭкологияЭкономикаЭлектроника






Процесс расширения





Процесс расширения протекает с переменным теплообменом по еще более сложному закону, чем процесс сжатия, так как кроме охлаждения расширяющихся газов добавляются явления догорания топлива и восстановления продуктов диссоциации. В начале политропного процесса расширения подвод теплоты к газу вследствие догорания топлива превалирует над отводом ее в стенки камеры сгорания, и этот участок процесса расширения приближается к изотермическому (показатель политропы расширения близок по значению к единице). В дальнейшем, по мере снижения интенсивности догорания топлива, наступает момент, когда процесс расширения становится адиабатным и показатель политропы будет равен показателю адиабаты, определенному по средней температуре процесса. Конечная фаза процесса расширения сопровождается интенсивным отводом теплоты от рабочего тела, и показатель политропы становится больше показателя адиабаты. При определении параметров рабочего тела и работы расширения пользуются некоторым постоянным по значению показателем, равным среднему значению. Средний показатель политропы расширения n2 оценивают с учетом опытных данных: для дизельных двигателей n2 = 1.15 – 1.3; для карбюраторных двигателей n2 = 1.22 – 1.28. При расчете карбюраторных двигателей для определения показателя политропы расширения используют формулу, предложенную В. А. Петровым:

,

где n - частота вращения, об./мин.

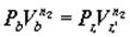
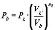
Давление в конце процесса расширения может быть определено на основании известных термодинамических соотношений для политропического процесса

,

откуда

.

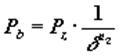
Для карбюраторных двигателей, в которых все тепло сообщается при V = const, а следовательно,

, ,

;

для дизельного двигателя:

, ,

.

Величина называется степенью последующего расширения, тогда

.

В карбюраторных двигателях при полностью открытой дроссельной заслонке давление в конце процесса расширения близко к 0.4 МПа. По мере дросселирования это давление понижается прямо пропорционально давлению всасывания и на холостом ходу двигателя составляет примерно 0.15 МПа. В дизелях давление конца расширения также близко к 0.4 МПа и при уменьшении нагрузки понижается незначительно.

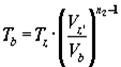
Для определения температуры конца расширения можно использовать соотношение

,

откуда

.

Тогда для карбюраторных двигателей:

;

для дизелей:

.

Температура в конце процесса расширения перед открытием выпускного клапана для карбюраторных двигателей примерно равна 1200–1500 К. По мере дросселирования температуры несколько понижаются вследствие уменьшения количества тепла, выделяющегося при горении топлива.

В двигателях с высокими степенями сжатия температуры и давления в конце процесса расширения понижаются, так как сгоревшие газы сильнее расширяются.

В дизелях степени сжатия выше, чем в карбюраторных двигателях, а потому температура в конце процесса расширения на 200–300° ниже. Особенно резко понижается температура конца расширения дизелей при уменьшении нагрузки, что объясняется уменьшением количества впрыскиваемого топлива.

 







Date: 2015-05-05; view: 690; Нарушение авторских прав



mydocx.ru - 2015-2026 year. (0.471 sec.) Все материалы представленные на сайте исключительно с целью ознакомления читателями и не преследуют коммерческих целей или нарушение авторских прав - Пожаловаться на публикацию