Главная Случайная страница


Полезное:

Как сделать разговор полезным и приятным Как сделать объемную звезду своими руками Как сделать то, что делать не хочется? Как сделать погремушку Как сделать так чтобы женщины сами знакомились с вами Как сделать идею коммерческой Как сделать хорошую растяжку ног? Как сделать наш разум здоровым? Как сделать, чтобы люди обманывали меньше Вопрос 4. Как сделать так, чтобы вас уважали и ценили? Как сделать лучше себе и другим людям Как сделать свидание интересным?


Категории:

АрхитектураАстрономияБиологияГеографияГеологияИнформатикаИскусствоИсторияКулинарияКультураМаркетингМатематикаМедицинаМенеджментОхрана трудаПравоПроизводствоПсихологияРелигияСоциологияСпортТехникаФизикаФилософияХимияЭкологияЭкономикаЭлектроника






Теоретический цикл двигателей с подводом тепла при постоянном объеме и постоянном давлении (смешанный цикл)





Тракторные и автомобильные двигатели работают по смешанному циклу на дизельном топливе. Для самовоспламенения впрыскиваемого топлива степень сжатия должна быть не ниже 14.

Индикаторная диаграмма теоретического цикла представлена на рис. 2.3.

В теоретическом цикле кривая ас диаграммы изображает адиабатическое сжатие рабочего тела, заключенного в цилиндре, сz и zz' – сообщение теплоты, z'b – адиабатическое расширение и ba – отдачу части сообщенной теплоты холодному источнику в соответствии со вторым законом термодинамики.

Рис. 2.3. Индикаторная диаграмма смешанного

теоретического цикла

Значения температуры и давления в конце процесса сжатия аналогичны предшествующим формулам:

; .

Максимальное давление смешанного цикла:

.

Температура в ВМТ равна:

.

Температура в конце процесса подвода теплоты равна:

.

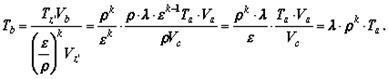
Давление в конце адиабатного расширения равно:

.

Температура в конце адиабатного расширения определяется формулой:

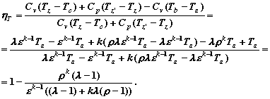
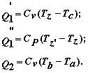
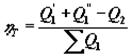
Термический КПД теоретического цикла можно определить по разности количества теплоты: Q1' + Q1'', введенных соответственно при V = const (по изохоре сz) и при р = const (по изобаре zz') и Q2, отданного холодному источнику при V = const (по изохоре ba):

.

Теплота, сообщаемая соответственно по изохоре и изобаре, и отводимая теплота равны

Подставляя Q1', Q1'' и Q2 в уравнение, определяющее термический КПД смешанного цикла, заменяя все температуры через температуру начала сжатия Tа, аналогично предшествующим выводам и учитывая, что

,

получаем

Это уравнение позволяет утверждать, что использование тепла в смешанном цикле зависит от степени сжатия, предварительного расширения и повышения давления, а также показателя адиабаты.

В смешанном цикле повышение степени сжатия улучшает экономические и мощностные показатели. Однако по мере увеличения степени сжатия прирост использования теплоты постепенно замедляется и после значений степени сжатия 10–12 становится малоощутимым. В дизельных двигателях значении степени сжатия больше 15 объясняются желанием облегчить пуск холодных двигателей. При повышении степени сжатия растет температура конца сжатия, что обеспечивает самовоспламенение топлива даже при низких температурах стенок цилиндра и засасываемого воздуха.







Date: 2015-05-05; view: 762; Нарушение авторских прав



mydocx.ru - 2015-2026 year. (0.831 sec.) Все материалы представленные на сайте исключительно с целью ознакомления читателями и не преследуют коммерческих целей или нарушение авторских прав - Пожаловаться на публикацию