Главная Случайная страница


Полезное:

Как сделать разговор полезным и приятным Как сделать объемную звезду своими руками Как сделать то, что делать не хочется? Как сделать погремушку Как сделать так чтобы женщины сами знакомились с вами Как сделать идею коммерческой Как сделать хорошую растяжку ног? Как сделать наш разум здоровым? Как сделать, чтобы люди обманывали меньше Вопрос 4. Как сделать так, чтобы вас уважали и ценили? Как сделать лучше себе и другим людям Как сделать свидание интересным?


Категории:

АрхитектураАстрономияБиологияГеографияГеологияИнформатикаИскусствоИсторияКулинарияКультураМаркетингМатематикаМедицинаМенеджментОхрана трудаПравоПроизводствоПсихологияРелигияСоциологияСпортТехникаФизикаФилософияХимияЭкологияЭкономикаЭлектроника






Теоретический цикл двигателей с подводом теплоты при постоянном давлении





По этому циклу работают стационарные и судовые компрессорные двигатели с воспламенением от сжатия или компрессорные дизели.

В дизели в процессе впуска поступает воздух, давление и температура которого повышаются в процессе сжатия. Вследствие применения в дизелях высоких степеней сжатия (от 14 до 20) давление конца сжатия приближается к 3–4 МПа и соответствующая температура значительно превышает температуру самовоспламенения топлива. Топливо впрыскивается в конце сжатия через форсунку, мелко распыляется и, приходя в соприкосновение с сильно нагретым воздухом, начинает гореть.

В этих двигателях для обеспечения хорошего распыливания топлива используют сжатый воздух с давлением около 6 МПа, получаемый в специальных компрессорах, включенных в конструктивную схему двигателя. Насос подает топливо в форсунку, в которую из компрессора подводится сжатый воздух, и в нужный момент внутренняя полость форсунки сообщается с цилиндром, куда поступает смесь распыляющего воздуха и топлива.

Ввиду постепенной подачи топлива через форсунку нельзя получить резкого повышения давления при сгорании, как в цикле с сообщением теплоты при V = const, где все топливо перед сгоранием находится в цилиндре. В двигателях, работающих по циклу с подводом теплоты при P = const, топливо горит постепенно по мере его поступления в цилиндр, в результате чего процесс сгорания происходит при перемещающемся поршне, при почти постоянном давлении.

Диаграмма теоретического цикла с подводом тепла при постоянном давлении показана на рис. 2.2.

При движении поршня от НМТ (точка a диаграммы теоретического цикла) газ, заполняющий цилиндр, начинает сжиматься. В этом случае процесс сжатия (линия ас индикаторной диаграммы) будет адиабатическим. Давление и температура в конце этого процесса определяется так же, как и при термодинамическом цикле с подводом теплоты при постоянном давлении.

В конце сжатия, с приходом поршня в ВМТ, происходит, как в ранее рассмотренном теоретическом цикле, мгновенное сообщение теплоты Q1 рабочему телу; результатом этого будет повышение его температуры при постоянном давлении (изобара сz).

Рис. 2.2. Индикаторная диаграмма теоретического цикла с подводом теплоты при постоянном давлении

При положении поршня, когда объем надпоршневого пространства равен VZ (точка z диаграммы), сообщение теплоты прекращается.

Степень предварительного расширения газа в цилиндре в конце процесса подвода теплоты:

.

Тогда температура газа в цилиндре в конце процесса подвода теплоты (точка z)

.

Затем газ адиабатически расширяется (линия z b диаграммы).

Давление газа в цилиндре в конце процесса расширения

.

Температура газа в цилиндре в конце процесса расширения

.

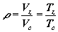
Для повторения цикла необходимо охладить газ, заключенный в цилиндре, т. е. отнять теплоту Q2 от введенной теплоты Q1 при постоянном объеме Va.

Термический КПД выражается формулой:

.

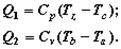
В цикле с сообщением теплоты при постоянном объеме вводимое количество Q1 теплоты пропорционально его изобарной теплоемкости СP, а отводимое Q2 пропорционально его изохорной теплоемкости Сν и соответствующим разностям температур:

Термический КПД можно определять подставив значения температур с учетом того, что:

Двигатели этого типа в качестве транспортных не использовались вследствие громоздкости установки, снабженной компрессором, имевшим две или три ступени давления. Поэтому данный цикл в дальнейшем рассматриваться не будет.







Date: 2015-05-05; view: 911; Нарушение авторских прав



mydocx.ru - 2015-2026 year. (0.696 sec.) Все материалы представленные на сайте исключительно с целью ознакомления читателями и не преследуют коммерческих целей или нарушение авторских прав - Пожаловаться на публикацию