Главная Случайная страница


Полезное:

Как сделать разговор полезным и приятным Как сделать объемную звезду своими руками Как сделать то, что делать не хочется? Как сделать погремушку Как сделать так чтобы женщины сами знакомились с вами Как сделать идею коммерческой Как сделать хорошую растяжку ног? Как сделать наш разум здоровым? Как сделать, чтобы люди обманывали меньше Вопрос 4. Как сделать так, чтобы вас уважали и ценили? Как сделать лучше себе и другим людям Как сделать свидание интересным?


Категории:

АрхитектураАстрономияБиологияГеографияГеологияИнформатикаИскусствоИсторияКулинарияКультураМаркетингМатематикаМедицинаМенеджментОхрана трудаПравоПроизводствоПсихологияРелигияСоциологияСпортТехникаФизикаФилософияХимияЭкологияЭкономикаЭлектроника






Теоретический цикл двигателей с подводом теплоты при постоянном объеме





Автомобильные карбюраторные двигатели, а также двигатели газогенераторные, газобаллонные и с впрыском легкого топлива работают по циклу, в котором горючая смесь, вошедшая в цилиндр во время впуска, сжимается, поджигается искрой и быстро сгорает в момент нахождения поршня около ВМТ, т. е. при почти неизменяемом объеме.

Индикаторная диаграмма теоретического цикла показана на рис. 2.1.

Рис. 2.1. Индикаторная диаграмма теоретического цикла с подводом теплоты при постоянном объеме

Теоретический цикл с сообщением тепла при постоянном объеме осуществляется следующим образом. При движении поршня от НМТ (точка а диаграммы теоретического цикла) газ, заполняющий цилиндр, начинает сжиматься. Чтобы довести потери тепла до минимума, стенки цилиндра должны быть абсолютно нетеплопроводными, т. е. покрытыми идеальной тепловой изоляцией. В этом случае процесс сжатия (линия ас индикаторной диаграммы) будет адиабатическим, а внешняя механическая работа, затрачиваемая на сжатие, полностью пойдет на увеличение внутренней энергии сжимаемого газа.

Давление газа в цилиндре в конце процесса сжатия (точка с) равно:

,

где k – показатель адиабаты идеального газа.

Температура газа в цилиндре в конце процесса сжатия (точка с) равна:

.

В конце сжатия, с приходом поршня в ВМТ, происходит не процесс сгорания, как в действительном цикле, а простое мгновенное сообщение теплоты Q1 рабочему телу; результатом этого будет повышение его температуры и давления при постоянном объеме (изохоры сz). При положении поршня в ВМТ (точка z диаграммы) сообщение теплоты прекращается.

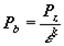
Степень повышения давления газа в цилиндре в конце процесса подвода теплоты

,

где Pz – давление газа в цилиндре в конце процесса подвода теплоты.

Температура газа в цилиндре в конце процесса подвода теплоты (точка z)

.

Затем газ адиабатически расширяется, его внутренняя энергия частично превращается во внешнюю механическую работу. В НМТ (точка b диаграмм) процесс расширения, графически изображенный адиабатой zb, заканчивается.

Давление газа в цилиндре в конце процесса расширения

.

Температура газа в цилиндре в конце процесса расширения

.

Для повторения цикла надо вернуть газ в начальное состояние, характеризуемое точкой a индикаторной диаграммы. Для этого необходимо охладить газ, заключенный в цилиндре, т. е. отнять теплоту, представляющую собой долю Q2 от ранее введенной теплоты Q1. Таким образом, даже при осуществлении теоретического цикла часть вводимой теплоты теряется и, следовательно, не может быть полного превращения теплоты в работу.

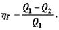
Степень преобразования теплоты в работу любого теоретического цикла оценивается термическим КПД, который представляет собой отношение теплоты, превращенной в полезную работу газов, к подведенной теплоте Q1.

В теоретическом цикле какие-либо дополнительные тепловые потери, за исключением количества теплоты Q2, отсутствуют.

Поэтому в полезную работу превращается разность количеств теплоты Q1 – Q2, тогда термический КПД можно выразить формулой:

В цикле с сообщением теплоты при постоянном объеме вводимое количество Q1 теплоты и отводимое Q2 пропорциональны его изохорной теплоемкости Сν и соответствующим разностям температур:

Термический КПД можно определять, подставив найденные значения температур:

Согласно уравнению термического КПД, экономичность цикла с подводом теплоты при постоянном объеме возрастает при увеличении степени сжатия и показателя адиабаты идеального газа.







Date: 2015-05-05; view: 770; Нарушение авторских прав



mydocx.ru - 2015-2026 year. (0.616 sec.) Все материалы представленные на сайте исключительно с целью ознакомления читателями и не преследуют коммерческих целей или нарушение авторских прав - Пожаловаться на публикацию