Главная Случайная страница


Полезное:

Как сделать разговор полезным и приятным Как сделать объемную звезду своими руками Как сделать то, что делать не хочется? Как сделать погремушку Как сделать так чтобы женщины сами знакомились с вами Как сделать идею коммерческой Как сделать хорошую растяжку ног? Как сделать наш разум здоровым? Как сделать, чтобы люди обманывали меньше Вопрос 4. Как сделать так, чтобы вас уважали и ценили? Как сделать лучше себе и другим людям Как сделать свидание интересным?


Категории:

АрхитектураАстрономияБиологияГеографияГеологияИнформатикаИскусствоИсторияКулинарияКультураМаркетингМатематикаМедицинаМенеджментОхрана трудаПравоПроизводствоПсихологияРелигияСоциологияСпортТехникаФизикаФилософияХимияЭкологияЭкономикаЭлектроника






Переходные процессы в полупроводниковых диодах. Частотные свойства диодов





Переходные процессы в полупроводниковых диодах связаны с накоплением неосновных носителей в базе диода при его прямом включении и их рассасывании в базе при быстром изменении полярности напряжения на диоде. Так как электрическое поле в базе обычного диода отсутствует, то движение неосновных носителей в базе определяется законами диффузии и происходит относительно медленно. В результате кинетика накопления носителей в базе и их рассасывание влияют на динамические свойства диодов в режиме переключения.

Рассмотрим изменения тока I при переключении диода с прямого напряжения U на обратное напряжение. На рисунке 4.20 показаны эпюры изменения напряжения и тока на диоде.

Рис. 4.20. Эпюры изменения напряжения и тока при переключении диода:
а) напряжение; б) ток

В стационарном случае величина тока в диоде описывается уравнением . После завершения переходных процессов величина тока в диоде будет равна J0.

Рассмотрим кинетику переходного процесса, то есть изменение тока p-n перехода при переключении с прямого напряжения на обратное. При прямом смещении диода на основе несимметричного p-n перехода происходит инжекция неравновесных дырок в базу диода.

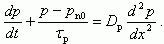
Изменение во времени и пространстве неравновесных инжектированных дырок в базе описывается уравнением непрерывности:

(4.25)

В момент времени t = 0 распределение инжектированных носителей в базе определяется из диффузионного уравнения и имеет вид:

(4.26)

Из общих положений ясно, что в момент переключения напряжения в диоде с прямого на обратное величина обратного тока будет существенно больше, чем тепловой ток диода. Это произойдет потому, что обратный ток диода обусловлен дрейфовой компонентой тока, а ее величина в свою очередь определяется концентрацией неосновных носителей. Эта концентрация значительно увеличена в базе диода за счет инжекции дырок из эмиттера и описывается в начальный момент уравнением (4.26).

С течением времени концентрация неравновесных носителей будет убывать, следовательно, будет убывать и обратный ток. За время t2, называемое временем восстановления обратного сопротивления или временем рассасывания, обратный ток придет к значению, равному тепловому току.

Для описания кинетики этого процесса запишем граничные и начальные условия для уравнения (4.25) в следующем виде.

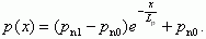
В момент времени t = 0 справедливо уравнение (4.26). При установлении стационарного состояния в момент времени t → ∞ стационарное распределение неравновесных носителей в базе описывается соотношением: .

Обратный ток обусловлен только диффузией дырок к границе области пространственного заряда p-n перехода:

(4.27)

Процедура нахождения кинетики обратного тока следующая. Учитывая граничные условия, решается уравнение (4.25) и находится зависимость концентрации неравновесных носителей в базе p(x,t) от времени и координаты. На рисунке 4.21 приведены координатные зависимости концентрации p(x,t) в различные моменты времени.

Рис. 4.21. Координатные зависимости концентрации p(x,t) в различные моменты времени [28, 15]

Подставляя динамическую концентрацию p(x,t) в (4.27), находим кинетическую зависимость обратного тока J(t).

Зависимость обратного тока J(t) имеет следующий вид:

(4.28)

Здесь - дополнительная функция распределения ошибок, равная . Первое разложение дополнительной функции ошибок имеет вид: .

Разложим функцию (4.28) в ряд в случаях малых и больших времен: t << τp; t >> τp. Получаем [28, 15]:

(4.29)

(4.30)

Из соотношения (4.30) следует, что в момент t = 0 величина обратного тока будет бесконечно большой. Физическим ограничением для этого тока будет служить максимальный ток, который может протекать через омическое сопротивление базы диода rБ при обратном напряжении U. Величина этого тока, называемого током среза Jср, равна: Jср = U/rБ.

Рис. 4.22. Зависимость обратного тока от времени при переключении диода

Время, в течение которого обратный ток постоянен, называют временем среза.

Для импульсных диодов время среза τср и время восстановления τв обратного сопротивления диода являются важными параметрами. Для уменьшения их значения существуют несколько способов. Во-первых, можно уменьшать время жизни неравновесных носителей в базе диода за счет введения глубоких рекомбинационных центров в квазинейтральном объеме базы. Во-вторых, можно делать базу диода тонкой для того, чтобы неравновесные носители рекомбинировали на тыльной стороне базы.

С увеличением частоты выпрямительные свойства полупроводниковых диодов ухудшаются.

 







Date: 2015-05-05; view: 1156; Нарушение авторских прав



mydocx.ru - 2015-2026 year. (1.025 sec.) Все материалы представленные на сайте исключительно с целью ознакомления читателями и не преследуют коммерческих целей или нарушение авторских прав - Пожаловаться на публикацию