Главная Случайная страница


Полезное:

Как сделать разговор полезным и приятным Как сделать объемную звезду своими руками Как сделать то, что делать не хочется? Как сделать погремушку Как сделать так чтобы женщины сами знакомились с вами Как сделать идею коммерческой Как сделать хорошую растяжку ног? Как сделать наш разум здоровым? Как сделать, чтобы люди обманывали меньше Вопрос 4. Как сделать так, чтобы вас уважали и ценили? Как сделать лучше себе и другим людям Как сделать свидание интересным?


Категории:

АрхитектураАстрономияБиологияГеографияГеологияИнформатикаИскусствоИсторияКулинарияКультураМаркетингМатематикаМедицинаМенеджментОхрана трудаПравоПроизводствоПсихологияРелигияСоциологияСпортТехникаФизикаФилософияХимияЭкологияЭкономикаЭлектроника






Вопрос 38. Свойства надежности и ее показатели





Ответ: В соответствии с ГОСТ 27.002 под надежностью понимается свойство объекта сохранять во времени в установленных пределах значения всех параметров, характеризующих способность выполнять требуемые функции в заданных режимах и условиях применения, технического обслуживания, хранения и транспортирования.

В соответствии с ГОСТ Р 53480-2009 надежность-свойство готовности и влияющие на него свойства безотказности и ремонтопригодности, и поддержка технического обслуживания.

Прим. Термин используется только общего неколичественного описания надежности.

Готовность-способность изделия выполнять требуемые функции при данных условиях в предположении, что необходимые внешние ресурсы обеспечены.

Надежность является комплексным свойством, которое в зависимости от назначения объекта и условий его применения может включать безотказность, долговечность, ремонтопригодность и сохраняемость или определенные сочетания этих свойств.

Применительно к АТ, надежность – это свойство машины выполнять транспортную работу, сохраняя во времени или по пробегу эксплуатационные показатели в требуемых пределах, соответствующих заданным режимам и условиям использования, ТО, ремонтов, хранения и транспортирования.

Безотказность – свойство объекта непрерывно сохранять работоспособное состояние в течение некоторого времени или наработки. Под наработкой понимается продолжительность или объем работы изделия (обычно измеряется в километрах или моточасах).

Неверно понимать под безотказностью надежность в целом, т. к. это только составная часть надежности. В ряде случаев безотказность является решающим свойством, например для тормозной системы или рулевого управления.

Долговечность – свойство объекта сохранять работоспособное состояние до наступления предельного состояния при установленной системе ТО и Р.

Для невосстанавливаемых (неремонтируемых) изделий свойства безотказности и долговечности совпадают, т. к. их предельным состоянием является первый отказ.

Ремонтопригодность – свойство объекта, заключающееся в приспособленности к поддержанию и восстановлению работоспособного состояния путем ТО и Р.

Сохраняемость – свойство объекта сохранять в заданных пределах значения параметров, характеризующих способности объекта выполнять требуемые функции, в течение и после хранения и (или) транспортирования.

 

2.1. Единичные и комплексные показатели надежности

2.1.1. Единичные показатели надежности

Для оценки надежности автомобиля применяются количественные показатели: единичные и комплексные.

Единичный показатель – количественно характеризует только одно свойство надежности объекта (например, долговечность), а комплексный – не менее двух ее основных составляющих и более (например, безотказность и ремонтопригодность).

Показатели надежности выбирают и нормируют на основании государственных и отраслевых стандартов (ГОСТ 27.002).

Показатели надежности оцениваются:

теоретическими (точными);

статистическими (приближенными) уравнениями для регламентируемых условий ТО и Р, хранения и транспортирования.

Рассмотрим теоретические (точные) уравнения.

Безотказность – одно из основных свойств надежности. Единичные показатели безотказности рассматриваются как вероятностные статистические величины.

К ним относятся:

1. Вероятность безотказной работы.

Для невосстанавливаемых деталей
2. Средняя наработка до отказа.

3. Гамма-процентная наработка до отказа.

4. Интенсивность отказов.

Для восстанавливаемых деталей
5. Средняя наработка на отказ.

6. Параметр потока отказов.

Вероятность безотказной работы Р(l0) – вероятность того, что в пределах заданной наработки отказ объекта не возникает. (Наработка – продолжительность или объем работы объекта, может быть непрерывной величиной (продолжительность работы в часах, км пробега и т. д.) или целочисленной величиной (число рабочих циклов, запусков и т. д.).

Р(l0) определяется исходя из предположения, что в начальный момент времени исчисления заданной наработки объект был работоспособен.

В интервале от 0 до l0 вероятность безотказной работы

, (1)

где – функция распределения наработки до отказа;

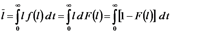
Средняя наработка до отказа, – математическое ожидание наработки объекта до 1-го отказа

, (2)

где f(l) – плотность распределения наработки до отказа;

F(l) – функция распределения наработки до отказа.

Гамма-процентнаянаработка до отказа, – наработка, в течение которой отказ объекта не возникает с вероятностью g, выраженной в %. определяется из уравнения


, (3)

где – гамма-процентная наработка до отказа.

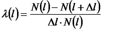
Интенсивность отказов, – условная плотность вероятности возникновения отказа невосстанавливаемого объекта, определяемая для рассматриваемого момента времени при условии, что до этого момента отказ не возник.

. (4)

Средняя наработка на отказ, – отношение суммарной наработки восстанавливаемого объекта к математическому ожиданию числа его отказов в течение этой наработки.

Параметр потока отказов, – отношение среднего количества отказов восстанавливаемого объекта за произвольную малую его наработку к значению этой наработки

, (5)

где М – математическое ожидание;

r(l) – число отказов за пробег l;

Dl – произвольно малая наработка.

Уравнения для определения показателей безотказности в статистической форме приведены в табл. 1.

Рассмотрим несколько примеров определения показателей безотказности в статистической форме.

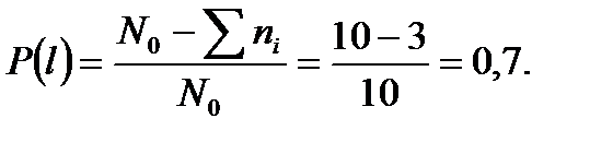
1. Испытывали 10 элементов автомобиля в интервале 10 тыс. км, отказало 3 элемента. Определить Р(l).

(6)

2. Определить интенсивность потока отказов – l(l) для автомобиля в интервале пробега 5 тыс.км. пробега, если известно, что на момент пробега

автомобиля 10 тыс. км на испытании находилось 10 элементов. Через 5 тыс. км осталось исправных элементов – 6.

. (7)

3. Определить среднюю наработку до отказа элемента автомобиля, если известно, что испытывались 6 элементов автомобиля. Они вышли из строя при следующих пробегах: 5, 4, 3, 10, 11, 15.

тыс. км. (8)

Таблица 1

Показатель Расчетная формула Условные обозначения
Вероятность безотказной работы Р(l) N0 - число элементов автомобиля на начало эксперимента; -суммарное количество элементов автомобиля, имевших отказы за пробег l
Средняя наработка до отказа -наработка i-того элемента до отказа
Средняя наработка на отказ Ni - количество испытываемых элементов автомобиля; li – наработка i-того элемента на отказ; n - суммарное количество отказов элементов автомобиля за пробег L
Интенсивность отказов – количество работоспособных элементов автомобиля за время пробега l; – количество работоспособных элементов автомобилей за время пробега ; Dl – достаточно малый интервал пробега
Параметр потока отказов – количество отказов за единицу времени (пробега) ; – количество испытываемых элементов автомобиля

4. На испытании находилось 5 элементов автомобиля. В течение 3 тыс. км отказало 2 элемента. Определить параметр потока отказов в интервале пробега 3 тыс. км.

.







Date: 2015-06-08; view: 1517; Нарушение авторских прав



mydocx.ru - 2015-2026 year. (0.696 sec.) Все материалы представленные на сайте исключительно с целью ознакомления читателями и не преследуют коммерческих целей или нарушение авторских прав - Пожаловаться на публикацию