Главная Случайная страница


Полезное:

Как сделать разговор полезным и приятным Как сделать объемную звезду своими руками Как сделать то, что делать не хочется? Как сделать погремушку Как сделать так чтобы женщины сами знакомились с вами Как сделать идею коммерческой Как сделать хорошую растяжку ног? Как сделать наш разум здоровым? Как сделать, чтобы люди обманывали меньше Вопрос 4. Как сделать так, чтобы вас уважали и ценили? Как сделать лучше себе и другим людям Как сделать свидание интересным?


Категории:

АрхитектураАстрономияБиологияГеографияГеологияИнформатикаИскусствоИсторияКулинарияКультураМаркетингМатематикаМедицинаМенеджментОхрана трудаПравоПроизводствоПсихологияРелигияСоциологияСпортТехникаФизикаФилософияХимияЭкологияЭкономикаЭлектроника






Private





{ Private declarations }

Public

{ Public declarations }

end;

Var

Form1: TForm1;

Implementation

{$R *.dfm}

//----------------------------------------------------------

procedure TForm1.FormCreate(Sender: TObject);

Begin

Edit1.Text:='2';

Edit2.Text:='5,9';

Memo1.Clear;

end;

//-----------------------------------------------------------

procedure TForm1.Button1Click(Sender: TObject);

Var

x,y,a,f,s:extended;

Begin

x:=StrToFloat(Edit1.Text);

y:=StrToFloat(Edit2.Text);

case RadioGroup1.ItemIndex of

0: f:=cos(x);

1: f:=sqr(x);

2: f:=sin(x);

end;

a:=sqr(x+y);

if f > 0.5 then s:=a-sqrt(y)

Else

if (f > -0.5) and (f <= 0.5) then s:=a+power(x*y,3)

else s:=a+ln(y);

Memo1.Clear;

Memo1.Lines.Add('Результат S='+FloatToStrF(s,ffFixed,8,3));

end;

//-----------------------------------------------------------------

end.

 

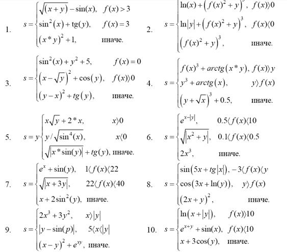
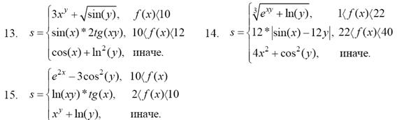
Индивидуальные задания

По указанию преподавателя выберите индивидуальное задание. В качестве f(x) использовать по выбору: Sin(x), Cos(x) или Tg(x). Отредактируйте вид формы и текст программы, в соответствии с полученным заданием.

 

 

 

ЛАБОРАТОРНАЯ РАБОТА 3.







Date: 2015-06-08; view: 590; Нарушение авторских прав



mydocx.ru - 2015-2026 year. (0.633 sec.) Все материалы представленные на сайте исключительно с целью ознакомления читателями и не преследуют коммерческих целей или нарушение авторских прав - Пожаловаться на публикацию