Главная Случайная страница


Полезное:

Как сделать разговор полезным и приятным Как сделать объемную звезду своими руками Как сделать то, что делать не хочется? Как сделать погремушку Как сделать так чтобы женщины сами знакомились с вами Как сделать идею коммерческой Как сделать хорошую растяжку ног? Как сделать наш разум здоровым? Как сделать, чтобы люди обманывали меньше Вопрос 4. Как сделать так, чтобы вас уважали и ценили? Как сделать лучше себе и другим людям Как сделать свидание интересным?


Категории:

АрхитектураАстрономияБиологияГеографияГеологияИнформатикаИскусствоИсторияКулинарияКультураМаркетингМатематикаМедицинаМенеджментОхрана трудаПравоПроизводствоПсихологияРелигияСоциологияСпортТехникаФизикаФилософияХимияЭкологияЭкономикаЭлектроника






Стоимостные показатели





Наиболее общим является критерий приведенных затрат, учи­тывающих и капитальные вложения, и эксплуатационные за­траты после ввода трубопровода в эксплуатацию:


где К — капитальные вложения; с — нормативный коэффициент эффективности капитальных вложений; Э — ежегодные экс­плуатационные издержки.

Поскольку поиск оптимальной трассы осуществляется по дугам сетки, то каждая дуга должна быть оценена соответст­вующим критерием до„р. Капитальные и эксплуатационные за­траты складываются в основном из затрат на линейную часть и компрессорные или перекачивающие станции (в зависимости от назначения трубопровода).

Как показывает опыт проектирования и эксплуатации газо­проводов, величина Э для линейной части составляет при под земной схеме укладки 0,04 К.,,, а для КС — примерно 0,2 Ккс, где Кл. ч и Ккс — капитальные вложения на строительство ли­нейной части и КС соответственно. Коэффициент с одинаков для линейной части и для КС и равен 0,12. На каждой дуге встречаются различные условия прокладки, поэтому затраты на строительство только линейной части для каждой дуги

 

 

 

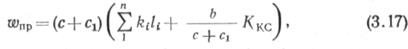
где ki — стоимость прокладки единицы длины трубопровода для данной категории местности; U — длина участка соответст­вующей категории.

Стоимость сооружения КС разносится на каждую дугу. На­пример, при стоимости КС 450 тыс. руб. и среднем расстоянии между КС 150 км на каждый километр приходится по 3 тыс. руб. При длине дуги 10 км общие затраты на КС для данной дуги составят 30 тыс. руб. Учитывая изложенное, выражение (3.15) можно представить в следующем виде (для газопроводов):

где с\ — коэффициент, учитывающий эксплуатационные рас­ходы на линейную часть; b — коэффициент, равный сумме ко­эффициентов, учитывающих эксплуатационные расходы на КС и эффективность капитальных вложений по КС, т. е. & = с+£кс-Приняв для газопровода приведенные числовые значения с = 0,12, Ci = 0,04, скс=0,2, получим

 

 

Для определения шпр необходимо знать капитальные вло­жения в строительство 1 км трубопровода в различных катего­риях местности. Для участков всех категорий, встречающихся по дугам сетки, вычисляются капитальные вложения на 1 км при принятых конструктивных схемах прокладки линейной ча­сти, а также капитальные вложения на перекачивающую стан­цию.







Date: 2015-06-07; view: 821; Нарушение авторских прав



mydocx.ru - 2015-2026 year. (1.121 sec.) Все материалы представленные на сайте исключительно с целью ознакомления читателями и не преследуют коммерческих целей или нарушение авторских прав - Пожаловаться на публикацию