Главная Случайная страница


Полезное:

Как сделать разговор полезным и приятным Как сделать объемную звезду своими руками Как сделать то, что делать не хочется? Как сделать погремушку Как сделать так чтобы женщины сами знакомились с вами Как сделать идею коммерческой Как сделать хорошую растяжку ног? Как сделать наш разум здоровым? Как сделать, чтобы люди обманывали меньше Вопрос 4. Как сделать так, чтобы вас уважали и ценили? Как сделать лучше себе и другим людям Как сделать свидание интересным?


Категории:

АрхитектураАстрономияБиологияГеографияГеологияИнформатикаИскусствоИсторияКулинарияКультураМаркетингМатематикаМедицинаМенеджментОхрана трудаПравоПроизводствоПсихологияРелигияСоциологияСпортТехникаФизикаФилософияХимияЭкологияЭкономикаЭлектроника






Задание 1. Контрольная работа по эконометрике





Контрольная работа по эконометрике

Вариант 10.

Задание 1.

По данным изменения социологического процесса построить математическую модель, используя интерполяционную формулу Лагранжа. Сделать прогноз по процессу в 2012 году.

Годы Показатель
   
   
   
   

Решение.

Введем обозначения. Через X обозначим столбец, в котором приведены независимые данные, т.е. «Годы». Через Y – столбец с зависимыми данными, т.е. «Показатель».

Кроме того, для удобства ведения расчета упростим значения столбца X. Через 2 обозначим первое значение (2002 год), соответственно 2005 год – 5 и т.д. Тогда математическая таблица пример вид:

X Y
   
   
   
   

Построение математическую модель, с использование формулы Лагранжа.

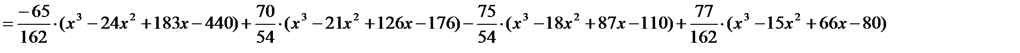
При интерполяции с помощью формулы Лагранжа, для n=3 имеем:

Тогда

Преобразовав данное выражение, раскрывая скобки и, приводя слагаемые к общему знаменателю, получим: - интерполирующая функция.

Определим значение при : .







Date: 2015-09-25; view: 527; Нарушение авторских прав



mydocx.ru - 2015-2026 year. (7.564 sec.) Все материалы представленные на сайте исключительно с целью ознакомления читателями и не преследуют коммерческих целей или нарушение авторских прав - Пожаловаться на публикацию