Главная Случайная страница


Полезное:

Как сделать разговор полезным и приятным Как сделать объемную звезду своими руками Как сделать то, что делать не хочется? Как сделать погремушку Как сделать так чтобы женщины сами знакомились с вами Как сделать идею коммерческой Как сделать хорошую растяжку ног? Как сделать наш разум здоровым? Как сделать, чтобы люди обманывали меньше Вопрос 4. Как сделать так, чтобы вас уважали и ценили? Как сделать лучше себе и другим людям Как сделать свидание интересным?


Категории:

АрхитектураАстрономияБиологияГеографияГеологияИнформатикаИскусствоИсторияКулинарияКультураМаркетингМатематикаМедицинаМенеджментОхрана трудаПравоПроизводствоПсихологияРелигияСоциологияСпортТехникаФизикаФилософияХимияЭкологияЭкономикаЭлектроника






Переменный ток. Различные виды электрических сопротивлений в цепи переменного тока. Импеданс





Переменным током называют ток, периодически изменяющийся по величине и по направлению.

Переменный ток можно рассматривать как вынужденные электромагнитные (электрические колебания).

Наиболее распространенным является синусоидальный переменный ток, мгновенные значения которого изменяются во времени по закону синуса (косинуса) или по закону простого (гармонического) колебания.

 

ф = B S0,

 

где ф - магнитный поток; В - магнитная индукция.

(закон Фарадея или закон электромагнитной индукции);

 

где.

Соответственно, мгновенные значения напряжения " U " или тока " I " во внешней цепи генератора:

 

U = Um sinwt или I = Im sinwt,

 

где Um и Im - максимальные (амплитудные) значения соответственно напряжения и тока, w = 2pn - круговая частота переменного напряжения или тока.

Кроме мгновенных и амплитудных значений для характеристики переменного тока пользуются эффективными или действующими (средними квадратичными за период) значениями напряжения и тока, которые обычно и указываются на шкале измерительных приборов. Для синусоидального переменного тока:

 

Назовем действующей или эффективной силой переменного тока Iэф такой постоянный ток, который выделяет в цепи с сопротивлением R количество теплоты, одинаковое с переменным током:

 

Pср = P,;

 

средняя мощность Pср = UэфIэф cosj.

Переменный ток - это также упорядоченное (направленное) движение носителей заряда, однако оно имеет колебательный характер. Электрическое поле изменяет свое направление на противоположное каждую половину периода.

Соответственно изменяется и направление перемещения зарядов в проводниках. Величина перемещения весьма мала и зависит от частоты переменного тока. Например, при средней скорости дрейфа электронов в металлическом проводнике порядка 0,1 см/сек и при частоте тока 50 Гц смещение электронов имеет порядок 0,001 см. Для ионов в растворе электролита эта величина еще меньше.

При достаточно высокой частоте это смещение становится такого же порядка, как и смещение зарядов в тепловом движении. Однако колебания зарядов, образующих ток, от последнего отличаются упорядоченным (направленным) характером.

Переменный ток частотой 4:-5 кГц применяется, подобно импульсным токам, для цепей электростимуляции, а частотой 20-30кГц (при малых силах тока) - при измерении, например, полного сопротивления тканей организма. Переменный ток 200 кГц и выше даже при значительных силах тока раздражающего действия на ткани организма не оказывает, но тепловой эффект тока при этом сохраняется, поэтому высокочастотные токи применяются для тепловых лечебных процедур - прогревания глубоко лежащих тканей организма.

Колебательное движение зарядов вносит ряд отличий в явления, происходящие в цепях переменного тока по сравнению с постоянным. Например, конденсатор является проводником в цепи переменного тока; в цепи, содержащей индуктивность, постоянно действует э.д.с. самоиндукции, которая имеет также переменный характер; в цепи с раствором электролита не происходит электрической поляризации и потому сопротивление такой цепи (а следовательно и тканей организма) при прочих равных условиях значительно меньше, чем при постоянном токе, и т.д.

Цепь переменного тока, содержащая омическое сопротивление R не представляет особенностей. В ней выполняется закон Ома, который может быть применен как к мгновенным, так и эффективным значениям напряжения и тока:

Сопротивление R в цепи переменного тока называется активным, так как при прохождении тока в нем происходит необратимая потеря энергии, которая переходит в теплоту.

Колебания напряжения и тока в цепи с чисто активным сопротивлением находятся в фазе.

Рассмотрим явления, происходящие в цепи переменного тока с индуктивностью. Подключим к переменному напряжению U = Um sinwt катушку с индуктивностью " L ", активным сопротивлением которой за малостью можно пренебречь.

В цепи образуется переменный ток и в катушке возникает э.д.с. самоиндукции, равная. Сила тока " I " в цепи определяется из условия:,(так как сопротивлением " R " пренебрегаем) или.

Преобразуем или.

Интегрируем это уравнение

,

где.

Постоянная интегрирования принимается С = 0, так как не имеет постоянной составляющей. Уравнение показывает, что ток в цепи, подобно напряжению, имеет синусоидальный характер, но по фазе запаздывает на угол.

Сопоставляя максимальное значение тока с формулой закона Ома, видим, что в цепи с индуктивностью значение сопротивления имеет величина " wL ", которая обозначается XL..


Величина XL = wL = 2pnL называется индуктивным сопротивлением цепи и измеряется в Омах, при подстановке L - в Генри и n - в Герцах.

Физический смысл индуктивного сопротивления состоит в том, что оно учитывает влияние на силу тока в цепи э.д.с. самоиндукции, противодействующей приложенному напряжению, и поэтому зависит от тех же величин, что и э.д.с. самоиндукции: индуктивности " L " и частоты w = 2pn, обусловливающей скорость изменения мгновенных значений тока.

Э.д.с. самоиндукции, противодействующая изменению тока в цепи, вызывает запаздывание колебаний тока, по отношению к колебаниям напряжения. При чисто индуктивной цепи запаздывание происходит на угол, равный.

Графики напряжения и тока в цепи с индуктивностью показаны на рисунке. На векторной диаграмме показано фазовое соотношение векторов амплитуд тока IL и напряжения UL: ток отстает на угол (углы отсчитываются по направлению против часовой стрелки).

В цепи, содержащей индуктивное и активное сопротивление, угол запаздывания тока по фазе будет меньше и в зависимости от соотношения между ними может иметь значения в пределах от 0 до.

В чисто индуктивном сопротивлении потерь энергии не происходит, в связи с чем оно называется реактивным.

Определим характер переменного тока " I " в цепи с конденсатором, к которой приложено переменное напряжение U = Um sinwt.

Мгновенные значения заряда " q" на пластинах конденсатора

q = cU = cUm sin wt.

Дифференцируем

 

где Im = wcUm. Это уравнение показывает, что ток в цепи, подобно напряжению, имеет синусоидальный характер (смотри рисунок), причем упреждает напряжение по фазе на угол.

Сопоставляя максимальное значение тока Im = wcUm с формулой закона Ома, видим, что в цепи с емкостью значение сопротивления имеет величина, которая обозначается Xc.

Величина называется емкостным сопротивлением цепи и измеряется в Омах, если с - в Фарадах и n - в Герцах.

Физический смысл емкостного сопротивления можно объяснить так: ток " I " в цепи конденсатора пропорционален заряду " q " и частоте " n " смены процессов заряда и разряда конденсатора. Заряд " q " при данном приложенном напряжении " U " пропорционален емкости " с " конденсатора, а w = 2pn. Поэтому ток " I " в цепи пропорционален произведению " wc ", которое, следовательно, имеет значение проводимости цепи. Величина, ей обратная, то есть, имеет значение сопротивления цепи.

В цепи, содержащей емкость и активное сопротивление, угол сдвига фазы тока будет меньше и в зависимости от соотношения между ними может иметь значения от 0 до 900.

В чисто емкостном сопротивлении потерь энергии не происходит, в связи с чем оно называется реактивным.

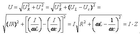
Имеется цепь из включенных последовательно сопротивлений: активного " R", индуктивного " XL " и емкостного " Xc ", к которой приложено переменное напряжение " U ". В цепи образуется общий ток " I ", а приложенное напряжение " U " распределяется между участками цепи:


UR = IR; UL = IXL и Uc = Ixc.

Вследствие наличия разности фаз между напряжениями UL и Uc и током I (UR находится в фазе с током) эти напряжения должны складываться между собой векторно (геометрически), образуя в сумме приложенное напряжение " U ".

Напряжения UL и Uc имеют разность фаз с током I, равную, но противоположную по знаку, то есть они находятся между собой в противофазе и, следовательно, могут складываться алгебраически:

Ux = UL - Uc (обычно UL > Uc).

Напряжение UR находится в фазе с током I и, следовательно, имеет разность фаз с напряжением Ux = UL - Uc. Тогда напряжение U как гипотеза прямоугольного треугольника, катетами которого являются UR и Ux, и вычисляются по формуле:

,

 

где

называется полным сопротивлением (или импедансом) цепи.

Соотношение называется обобщенным законом Ома для цепи переменного тока.

Разность фаз между приложенным напряжением U и током I определяется углом y между векторами U и UR.

Аналогично можно построить и треугольник сопротивлений. В нём

.

 

Из треугольника имеем

 

Путем аналогичных рассуждений для цепи из параллельно включенных активного, индуктивного и емкостного сопротивлений можно получить следующее соотношение:

 

Биологические ткани и органы являются довольно разнородными образованиями с различными электрическими сопротивлениями, которые могут изменяться при действии электрического тока. Это обусловливает трудности измерения электрического сопротивления живых биологических систем.

 

Электропроводимость отдельных участков организма, находящихся между электродами, наложенными непосредственно на поверхность тела, существенно зависит от сопротивления кожи и подкожных слоев. Внутри организма ток распространяется в основном по кровеносным и лимфатическим сосудам, мышцам, оболочкам нервных стволов. Сопротивление кожи в свою очередь определяется ее состоянием: толщиной, возрастом, влажностью и т. п.

 

Электропроводимость тканей и органов зависит от их функционального состояния и, следовательно, может быть использована как диагностический показатель.

 

Так, например, при воспалении, когда клетки набухают, уменьшается сечение межклеточных соединений и увеличивается электрическое сопротивление; физиологические явления, вызывающие потливость, сопровождаются возрастанием электропроводимости кожи и т. д.

 

Газ, состоящий только из нейтральных частиц, является изолятором. Если его ионизировать, то он становится электропроводным. Любое устройство, явление, фактор, способные вызвать ионизацию молекул и атомов газа, называют ионизатором. Им могут быть свет, рентгеновское излучение, пламя, ионизирующее излучение и пр. Электрический заряд в воздухе может образовываться и при распылении в нем полярных жидкостей (баллоэлектрический эффект), т. е. таких жидкостей, молекулы которых имеют постоянный электрический ди-польный момент. Так, например, при дроблении в воздухе вода распадается на заряженные капельки. Знак заряда крупных капель (положительный для жесткой воды) противоположен по знаку заряду мельчайших капель. Более крупные капли сравнительно быстро оседают, и в воздухе остаются отрицательно заряженные частицы воды. Такое явление наблюдается у фонтана.


 

Электропроводимость газа зависит также и от вторичной ионизации. Ионизированный потенциал внутренних электронов значительно выше.

 

В земных условиях воздух практически всегда содержит некоторое количество ионов благодаря природным ионизаторам, главным образом радиоактивным веществам в почве и газах и космическому излучению. Ионы и электроны, находящиеся в воздухе, могут, присоединяясь к нейтральным молекулам и взвешенным частицам, образовать более сложные ионы. Эти ионы в атмосфере называют аэроионами. Они различаются не только знаком, но и массой, их условно делят на легкие (газовые ионы) и тяжелые (взвешенные заряженные частицы – пылинки, частицы дыма и влаги).

 

Тяжелые ионы вредно действуют на организм, легкие и в основном отрицательные аэроионы оказывают благоприятное влияние. Их используют для лечения (аэроионотерапия).

 

 

  1. Магнитное поле и его характеристики

Из многочисленных опытов известно, что, подобно тому, как в пространстве, которое окружает электрические заряды, возникает электростатическое поле, так и в пространстве, которое окружает токи и постоянные магниты, возникает силовое поле, называемое магнитным. Наличие магнитного поля определяется по силовому действию на помещенные в него проводники с током или постоянные магниты. Термин «магнитное поле» связывают с ориентацией магнитной стрелки под действием поля, которое создается током (это явление впервые открыто датским физиком X. Эрстедом (1777—1851)).

Как мы уже знаем, электрическое поле оказывает силовое воздействие как на неподвижные, так и на движущиеся в нем электрические заряды. У магнитного поля имеет важнейшая особенность состоит в том, что оно оказывает силовое воздействие только на движущиеся в этом поле электрические заряды. Из опытов известно, что характер воздействия магнитного поля на ток меняется в зависимости от формы проводника, по которому течет ток, от расположения проводника относительно магнитного поля и от направления тока. Значит, чтобы охарактеризовать магнитное поле, необходимо исследовать его воздействие на определенный ток.

При изучении характеристик электростатического поля использовались точечные заряды, аналогично, при изучении характеристик магнитного поля используется замкнутый плоский контур с током (рамка с током), у которого линейные размеры малы по сравнению с расстоянием до токов, образующих данное магнитное поле. Ориентация контура в пространстве задается направлением нормали к контуру. Направление нормали задается правилом правого винта: за положительное направление нормали бетеся направление поступательного движения винта, у которого головка вращается в направлении текущего в рамке тока (рис. 1).


 

Рис.1

 

Опыты демострируют, что магнитное поле воздействует на рамку с током, поворачивая ее определенным образом, тем самым определяется направление внешнего магнитного поля. Этот результат применяется для выбора направления магнитного поля. За направление магнитного поля в данной точке пространства принимается принимается направление, вдоль которого располагается положительная нормаль к рамке (рис. 2). За направление магнитного поля может быть также принято направление, совпадающее с направлением силы, воздействующую на северный полюс магнитной стрелки, которая помещена в данную точку. Так как оба полюса магнитной стрелки лежат в близких точках поля, то силы, которые действуют на оба полюса, равны друг другу. Значит, на магнитную стрелку действует пара сил, которая поворачивает ее так, чтобы ось стрелки, которая соединяюет южный полюс с северным, совпадала с направлением поля.


 

Рис.2

 

Рамку с током можно также использовать и для количественного описания магнитного поля. Поскольку на рамку с током воздействует магнитное поле и оказывает на рамку ориетирующее действие, то на нее в магнитном поле действует пара сил. Вращающий момент этих сил зависит как от свойств поля в данной точке, так и от свойств самой рамки и задается формулой

(1)

где p mвектор магнитного момента рамки с током (Ввектор магнитной индукции, количественная характеристика магнитного поля). Для плоского контура с током I

(2)

где n — единичный вектор нормали к поверхности рамки, S — площадь поверхности контура (рамки). Таким образом, направление p mсовпадает с направлением положительной нормали.

Если в точку магнитного поля помещать рамки с различными магнитными моментами, то на них оказывают действие различные вращающие моменты, но при этом отношение Мmaxmmax — максимальный вращающий момент) для всех контуров одинаково и поэтому может служить характеристикой магнитного поля, которая называется магнитной индукцией:

Магнитная индукция в данной точке однородного магнитного поля задается максимальным вращающим моментом, который действует на рамку с магнитным моментом, равным единице, когда нормаль к рамке перпендикулярна направлению поля. Отметим, что вектор В может быть также определен из закона Ампера и из выражения для силы Лоренца.

Поскольку магнитное поле есть силовое поле, то его, по аналогии с электрическим, графически изображают с помощью линий магнитной индукции — линий, касательные к которым в каждой точке совпадают с направлением вектора В. Их направление задается правилом правого винта: головка винта, который ввинчивают по направлению тока, вращается в направлении линий магнитной индукции.

Линии магнитной индукции можно обнаружить с помощью железных опилок, которые намагничиваются в исследуемом поле и ведут себя подобно небольшим магнитным стрелкам. На рис. 3а даны линии магнитной индукции магнитного поля кругового тока, на рис. 3б — линии магнитной индукции поля соленоида (соленоид - равномерно намотанная на цилиндрическую поверхность проволочная спираль, по которой идет электрический ток).


 

Рис.3

 

Линии магнитной индукции всегда замкнуты и охватывают проводники с током. В этом их различии от линий напряженности электростатического поля, являющихся разомкнутыми (они, как ранее рассматривалось, начинаются на положительных зарядах и кончаются на отрицательных).

На ряс. 4 даны линии магнитной индукции полосового магнита; они выходят из северного полюса и входят в южный. Вначале думалось, что здесь видня полная аналогия с линиями напряженности электростатического поля и полюсы магнитов играют роль так называемых «магнитных зарядов» (магнитных монополей). Однако, опыты показали, что, разрезая магнит на части, его полюсы разделять нельзя, т. е. в отличие от электрических зарядов свободные «магнитные заряды» не существуют, поэтому линии магнитной индукции не могут обрываться на полюсах. В дальнейшем было показано, что внутри полюсовых магнитов существует магнитное поле, по свойствам аналогичное полю внутри соленоида, и линии магнитной индукции данного магнитного поля являются продолжением линий магнитной индукции вне магнита. Значит, для постоянных магнитов линии магнитной индукции их магнитного поля также являются замкнутыми.


 

Рис.4

 

До сих пор мы рассматривали макроскопические токи, которые текут в проводниках. Но по предположению французского физика А. Ампера, в любом теле существуют микротоки, обусловленные движением электронов в атомах и молекулах. Эти микротоки создают свое магнитное поле и могут, к примеру, поворачиваться в магнитных полях макротоков. Например, если рядом с каким-либо телом поместить проводник с током (макроток), то под действием магнитного поля данного макротока микротоки во всех атомах определенным образом изменять свое направление, при этом создавая в теле дополнительное магнитное поле. Вектор магнитной индукции В характеризует результирующее магнитное поле, которое создается всеми макро- и микротоками, т. е. при одном и том же токе и прочих равных условиях вектор В в различных средах будет иметь разные значения.

Магнитное поле макротоков описывается вектором напряженности Н. Для однородной изотропной среды вектор магнитной индукции связан с вектором напряженности следующим выражением:

где μ0 — магнитная постоянная, μ — безразмерная величина — магнитная проницаемость среды, которая показывает, во сколько раз магнитное поле макротоков Н увеличивается за счет поля микротоков среды.

При сопоставлении векторных характеристик электростатического (Е и D) и магнитного (В и Н) полей, отметим, что аналогом вектора напряженности электростатического поля Е является вектор магнитной индукции В, поскольку векторы Е и В задают силовые действия этих полей и зависят от свойств среды. При этом, аналогом вектора электрического смещения D является вектор напряженности Н магнитного поля.

   






Date: 2015-09-24; view: 913; Нарушение авторских прав



mydocx.ru - 2015-2026 year. (1.894 sec.) Все материалы представленные на сайте исключительно с целью ознакомления читателями и не преследуют коммерческих целей или нарушение авторских прав - Пожаловаться на публикацию