Главная Случайная страница


Полезное:

Как сделать разговор полезным и приятным Как сделать объемную звезду своими руками Как сделать то, что делать не хочется? Как сделать погремушку Как сделать так чтобы женщины сами знакомились с вами Как сделать идею коммерческой Как сделать хорошую растяжку ног? Как сделать наш разум здоровым? Как сделать, чтобы люди обманывали меньше Вопрос 4. Как сделать так, чтобы вас уважали и ценили? Как сделать лучше себе и другим людям Как сделать свидание интересным?


Категории:

АрхитектураАстрономияБиологияГеографияГеологияИнформатикаИскусствоИсторияКулинарияКультураМаркетингМатематикаМедицинаМенеджментОхрана трудаПравоПроизводствоПсихологияРелигияСоциологияСпортТехникаФизикаФилософияХимияЭкологияЭкономикаЭлектроника






ШИМ в качестве ВИЭП





Рассмотренные выше вторичные источники питания для электромеханических систем, энергию торможения исполнительного двигателя рассеивают в активных сопротивлениях. Кроме того, такие источники питания потребляют из сети реактивную мощность. В системах маломощных (приблизительно до 500 Вт) отмеченные особенности обычно не приводят к существенным ухудшениям энергетических характеристик. В случае систем большей мощности с этими особенностями приходиться считаться. Универсальное решение для обеспечения всех режимов работы исполнительной машины и улучшения энергетических характеристик систем реализуется путем использования сетевого инвертора. Основным достоинством сетевого инвертора в системе мехатроники является способность рекуперировать механическую энергию в сеть переменного тока.

Функциональная схема сетевого инвертора с синусоидальной ШИМпоказана на рис.4.6.. Сам инвертор представляется преобразователем, который по отношению к сети переменного тока генерирует эдс, первая гармоника этой эдс равна

 

,

где -коэффициент модуляции, -фаза напряжения модуляции по отношению к напряжению сети.

Уравнение, составленное по второму закону Кирхгоффа для схемы (рис.4.6) запишется в виде

 

,

где , , - результирующие векторы эдс на выходе инвертора, напряжения сети и тока.

Рис.4.6. Функциональная схема сетевого инвертора

 

Для подключения сетевого инверторана сеть необходимо соблюсти ряд условий:

· частота модуляции инвертора должна в точности совпадать с частотой сети f1,

· очередность фаз управления инвертором должна совпадать с очередностью фаз сети,

· в каждой фазе инвертора со стороны сети должна быть включена значительная индуктивность, такая, чтобы реактивное сопротивление этой индуктивности на порядок и более превышало сумму внутренних сопротивлений сети и инвертора.

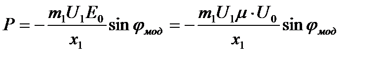
По отношению к сети переменного тока сетевой инвертор может работать и как генератор (инвертор ведомый сетью), и как потребитель активной мощности (активный управляемый выпрямитель). При этом активная мощность определяется уравнением

 

,

 

где , L-индуктивность на входе инвертора, m1 –число фаз.

Из уравнения для мощности следует, что при инвертор генерирует в сеть активную мощность. При инвертор потребляет из сети активную мощность. При вся система работает в режиме холостого хода.

Реактивная мощность, потребляемая инвертором, определяется уравнением

 

 

В зависимости от знака инвертор может потреблять реактивную (индуктивную), или реактивную (емкостную) мощность. Рассмотрим этот вопрос подробнее.

В режиме холостого хода инвертор не генерирует и не потребляет активной мощности. Реактивная мощность в режиме холостого хода равна

 

Рис.4.7 Векторная диаграмма системы инвертор-сеть в режиме холостого хода

 

Любое изменение коэффициента модуляции и, связанной с ним эдс , приводит к появлению тока в источнике. Физику процессов рассмотрим с использованием векторных диаграмм (рис.4.7).

Поскольку в сети напряжение постоянно, то увеличение по сравнению с приводит к появлению емкостного тока в сети (рис.4.7). Уменьшение по сравнению с приводит к появлению индуктивного тока в цепи. Поскольку в обоих случаях угол между и равен 0, то инвертор не отдает и не потребляет активной мощности. Таким образом, изменяя коэффициент модуляции, можно генерировать (или потреблять) реактивную мощность. Рассмотрим векторную диаграмму для общего случая, показанную на рис.4.8.

Рис.4.8 Векторная диаграмма системы инвертор-сеть в режиме нагрузки

 

Из векторной диаграммы следует

 

АO2 = , = .

 

Активная и реактивная мощность в системе определяются уравнениями

 

, .

 

Сравнение уравнений, приведенных выше показывают, что при постоянном напряжении сети (), отрезок АO2 в определенном масштабе – есть активная мощность, а отрезок O1O2 – реактивная мощность.

Поэтому для изменения активной мощности при (Q1 =const) конец вектора должен скользить по горизонтальной прямой (AB). Для изменения реактивной мощности при (Р1=const) конец вектора () должен скользить по вертикальной прямой (AA1 или ВВ1). Положение вектора (ОО2) соответствует холостому ходу. Если вектор () находится слева от прямой (ОО2), то инвертор генерирует активную мощность в сеть. Если вектор () находится справа от прямой, то инвертор потребляет активную мощность из сети. В режиме генерирования () при скольжении вектора вниз по вертикали, инвертор потребляет из сети реактивную (емкостную) мощность до тех пор, пока (). При ( пунктир, рис.4.8) инвертор потребляет из сети реактивную (индуктивную) мощность.


В режиме потребления мощности () из сети инвертор потребляет реактивную (емкостную) мощность до тех пор, пока () и реактивную (индуктивную) мощность при ().

Все эти свойства инвертора при работе на сеть чрезвычайно полезны и часто используются (например, активные фильтры). Особенно важны эти свойства при построении электроприводов переменного тока с использованием синхронных и асинхронных машин, когда требуется рекуперация механической энергии в питающую сеть переменного тока. Перспективно также использование сетевых инверторов при построении асинхронных генераторов с короткозамкнутым и фазным ротором.

Преобразование координат.

Для описания электромагнитных процессов в системах переменного тока используются различные системы координат:

1. Неподвижные координаты, которые обозначаются через , причем ось совмещается с действительной осью комплексной плоскости, а ось - с мнимой.

2. Вращающиеся с произвольной скоростью координаты x, y (x - вещественная ось, y-мнимая ось).

При составлении математического описания и синтезе электромеханическх систем переменного тока преобразования координат реализуется аппаратным или программным способом в системе управления.

Рассмотрим это преобразование относительно координат, вращающихся с произвольной скоростью относительно неподвижных координат.

Математическая основа преобразования координат поясняется на рис. 4.9.

В неподвижной системе координат вектор тока может быть представлен в алгебраической и показательной форме

 

.

 

Аналогично в системе вращающихся координат (x,y) тот же самый вектор может быть представлен в виде

.

 

Откуда легко получить уравнения перехода от неподвижной системы координат к вращающейся и наоборот:

 

 

Рис.4.9. Преобразование координат в векторной системе управления.

Преобразование двухфазной неподвижной системы координат к трехфазной осуществляется в соответствии с выражениями:

 

 

Литература

1. Горбачев Г.Н., Чаплыгин Е.Е. Промышленная электроника: Учебник для вузов. – М: Энергоатомиздат, 1988.-320 с.

1.

2.Забродин Ю.С. Промышленная электроника: Учебник для вузов - М:

Высшая школа, 1982. – 496

3.Шиллинг В. Тиристорная техника: Ленинград, Энергия, 1971 – 263 с.

4. Колонтаєвский Ю.П., Сосков А.Г. Промислова електроніка та схемотехніка:

теорія і практикум: Навч. посіб./ За ред. А.Г.Соскова 2-е вид. – К.:

Каравела, 2004. 432c

 







Date: 2015-09-22; view: 594; Нарушение авторских прав



mydocx.ru - 2015-2026 year. (0.292 sec.) Все материалы представленные на сайте исключительно с целью ознакомления читателями и не преследуют коммерческих целей или нарушение авторских прав - Пожаловаться на публикацию