Главная Случайная страница


Полезное:

Как сделать разговор полезным и приятным Как сделать объемную звезду своими руками Как сделать то, что делать не хочется? Как сделать погремушку Как сделать так чтобы женщины сами знакомились с вами Как сделать идею коммерческой Как сделать хорошую растяжку ног? Как сделать наш разум здоровым? Как сделать, чтобы люди обманывали меньше Вопрос 4. Как сделать так, чтобы вас уважали и ценили? Как сделать лучше себе и другим людям Как сделать свидание интересным?


Категории:

АрхитектураАстрономияБиологияГеографияГеологияИнформатикаИскусствоИсторияКулинарияКультураМаркетингМатематикаМедицинаМенеджментОхрана трудаПравоПроизводствоПсихологияРелигияСоциологияСпортТехникаФизикаФилософияХимияЭкологияЭкономикаЭлектроника






Закон широтно-импульсной модуляции





 

Рассмтренная схема реализует жесткий закон коммутации ключем, в котором в каждый межкоммутационный период один из ключейобязательно включен, а второй отключен.. Поэтому напряжение на нагрузке может принимать только два дискретних значения (+uп/2, -uп/2).

Т при

 

t1 = Т/2+KUупр. при -Uоп< Uупр <+Uоп

 

0 при Uупр<-Uоп

 

t1 = Т – t2,

где: Uупр - сигнал управления,

Т - период модуляции,

t1, t2 - длительность интервалов включеного состояния и пауз,

К=dT1/dUупр. - конструктивная постоянная системы упрвления.

 

На каждом периоде модуляции принимаем величину uуп постоянной.

Полученные при помощи формул графики, приведены на рис.3.9

 

Рис.3.9 Графики временних интервалов t1, t2

 

Выходное напряжение ШИМ может быть представлено в виде двух составляющих:

Полезной составляющей, равной среднему значению входного напряжения модулятора за период модуляции.

Модуляционнй составляющей, обусловленной дискретным характером работы ШИМ от среднего значения за период модуляции.

Полезной составляющей

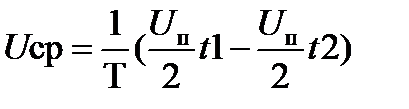
Неучитывая изменение напряжения питания на период коммутации, падением напряжения на открытых ключах инвертора получим.

 

С учетом полученных ранене выражений.

 

+uп/2 при uуп> + uоп

 

Uср= Кпuуп при -uоп< uуп<+uоп

 

-uп/2 при uуп<-uоп

 

У Кп =kuп/T=cons - коэффициент передачи ШИМ в линейной. Он может быть выражен через параметр силовой управляющей части.

Kп=Uп/2U0

Модуляционная составляющая это изменение импульсного напряжения.

При постоянном задании модуляционная составляющая есть периодической функцией времени с периіодом равным периоду модуляции. Мгновенное значение ее первой гармоники.

. Амплитудаи частота этой гармоники.

 

0 при uупр>+Uоп

Uмод1 = -2uп/π* cos(πuупр/2Uоп) при -Uоп<uупр,+Uоп

0 при uупр<-Uоп

 

 

Зависимость полезной и первуй гармоники модуляционной состпвляющих показано на рис.3.10.

Модуляційна складова вихідної напруги інвертора також залежить від задаючої дії, причому ця залежність є нелінійною.

 

Рис.3.10.. Графики полезной и первуй гармоники модуляционной составляющих

 

. 3.2. Мостовые широтно-импульсные модуляторы

Недостатком нулевых схем является плохое использование источников питания и ключем по напряжению, високий уровень модуляционной составляющей при малих значениях задания.значеннях задания. Лучшими показателями обладает ШИМ с мостовым инвертором рис.3.11. Временные диаграммы и характеристики мостового ШИМ показаны на рис.3.12. Сравнение с нулевой схемой показывает:

Можно формировать на выходе не только двухполярные импульсы, но и

однополярные,

Увеличивается в двое амплитуда выходного наряжения и улучшается использование

источника питания.

Удваивается выходная мощность модулятора за счет увеличения выходного

напряжения при одинаковом напряжении источника питания.

· Удваивается частота импульсов напряжения и соответственно и частота

модуляционной составляющей в сравнении с частотой

опорного сигнала.

Значительно улучшается соотношение полезной и модуляционной составляющих,

т.е. улучшается качество выходного напряжения модулятора.

·

Рис.3.11. Схемамостового ШИМ.

Это подтверждается сравнением регулировочных характеристик модуляторов с нулевой и мостовой схемой рис.3.12.

Регулировочных характеристик модуляторов мостовой схемы.

Полезная составляющая

 

+uп при uуп > +Uоп.

Uср. = Кпuупр. при -Uоп<uупр<+U0п

-uп при uуп < -Uоп

 

где Кп = uп/Uоп=cons - коеффициент передачи мостового широтно-импульсного модулятора в линейной зоне. Начальная фаза первуй гармоники модуляционной составляющей как и раньше не зависит от задания.

 

 

Рис.3.12..а,б Графіки полезной и первой гармоники модуляционной составляющей выходного напряжения.

 







Date: 2015-09-22; view: 643; Нарушение авторских прав



mydocx.ru - 2015-2026 year. (0.876 sec.) Все материалы представленные на сайте исключительно с целью ознакомления читателями и не преследуют коммерческих целей или нарушение авторских прав - Пожаловаться на публикацию