Главная Случайная страница


Полезное:

Как сделать разговор полезным и приятным Как сделать объемную звезду своими руками Как сделать то, что делать не хочется? Как сделать погремушку Как сделать так чтобы женщины сами знакомились с вами Как сделать идею коммерческой Как сделать хорошую растяжку ног? Как сделать наш разум здоровым? Как сделать, чтобы люди обманывали меньше Вопрос 4. Как сделать так, чтобы вас уважали и ценили? Как сделать лучше себе и другим людям Как сделать свидание интересным?


Категории:

АрхитектураАстрономияБиологияГеографияГеологияИнформатикаИскусствоИсторияКулинарияКультураМаркетингМатематикаМедицинаМенеджментОхрана трудаПравоПроизводствоПсихологияРелигияСоциологияСпортТехникаФизикаФилософияХимияЭкологияЭкономикаЭлектроника






Фазное напряжение





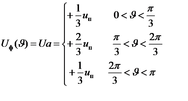
При соединении обмоток двигателя в звезду графики фазних напряжений соответственно схеме рис.3.13. могут быть показаны на рис.3.14.

 

 

Рис.3..14. Состояние інвертора.

График напряжения фазы А нагрузки изображает собой знакопеременнуюфункцію, которая принимает значения.

Обьединив три однофазних модулятора в трехфазную систему, получим інвертор с ШИМ, рис 3.15.

Рис.3.15. Трифазнаясистема управаления АИН

 

На вход системы управления приложены сигналы, которые задают гармоническое влияние..

Побочные эффекты

широкий спектр сигналов электромагнитных перешкод,

генерация емкостных токов в кабелях питания и элементах конструкции

двигателя,

високочастотные пульсации электромагнитного момента двигателя,

обусловленное модуляционной составляющей напряжения инвертора.,

Снизить влияние этих недостатков возможно при использовании фильтров на выходе инвертора.







Date: 2015-09-22; view: 507; Нарушение авторских прав



mydocx.ru - 2015-2026 year. (0.506 sec.) Все материалы представленные на сайте исключительно с целью ознакомления читателями и не преследуют коммерческих целей или нарушение авторских прав - Пожаловаться на публикацию