Главная Случайная страница


Полезное:

Как сделать разговор полезным и приятным Как сделать объемную звезду своими руками Как сделать то, что делать не хочется? Как сделать погремушку Как сделать так чтобы женщины сами знакомились с вами Как сделать идею коммерческой Как сделать хорошую растяжку ног? Как сделать наш разум здоровым? Как сделать, чтобы люди обманывали меньше Вопрос 4. Как сделать так, чтобы вас уважали и ценили? Как сделать лучше себе и другим людям Как сделать свидание интересным?


Категории:

АрхитектураАстрономияБиологияГеографияГеологияИнформатикаИскусствоИсторияКулинарияКультураМаркетингМатематикаМедицинаМенеджментОхрана трудаПравоПроизводствоПсихологияРелигияСоциологияСпортТехникаФизикаФилософияХимияЭкологияЭкономикаЭлектроника






Расчет ригеля на выносливость





 

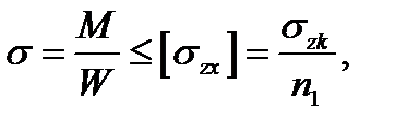
Расчет на выносливость производится по нагрузкам первого случая по условию:

(4.15)

где σzk - предел выносливости с учетом коэффициента асимметрии цикла z, эффективного коэффициента концентрации k, размеров детали и ее термообработки; n1 - коэффициент запаса прочности при нагрузках первого случая.

(4.16)

где a1 - коэффициент, учитывающий минимальный запас прочности, a1 = 0.3;

а2 - коэффициент, учитывающий неоднородность материала, а2 = 0.1.

Рисунок 4.5 График для пульсирующего цикла напряжения растяжения.

Для пульсирующего цикла напряжения растяжения (рисунок 4.5) при z = 0:

(4.17)

где k - эффективный коэффициент концентраций напряжений, k = 2;

η - коэффициент чувствительности материала к асимметрии цикла, для СтЗ,

η = 0.2

Т.е. условие выполняется.

 

Изм.
Лист
№ докум.
Подпись
Дата
Лист
 
КП 00 00 00 05 ПЗ
Разраб.
Куцко
Провер.
Новосельская
Реценз.
 
Н. Контр.
 
Утверд.
Новосельская
Расчет стоек рамы на прочность и определение профиля их сечения
Лит.
Листов
 
БГТУ 4 17 08 17 13  
5. Расчет стоек рамы на прочность и определение профиля их сечения

Расчет статически неопределимой рамы от внешних сил заключается в определении реакций опор и максимального изгибающего момента в опасных сечениях. Расчет производим согласно методике изложенной в [4].

Для расчета необходимо определить нагрузки, действующие на раму с учетом собственного веса рамы.

Вес балки:

(5.1)

где масса 1 погонного метра балки, ;

l – длина балки, м.

Тогда общий вес балок составит:

Предварительно по ГОСТ 8239-89 выбираем профиль стоек в виде двутавра №20 [5]: Jx = 1840 см4, Jy = 115 см4, Wx = 184 см3, Wy = 23.1 см3, ix = 8.28 см, iУ = 2.07 см, Sx = 104 см3, h = 200 мм, b = 100 мм, d = 5.2 мм, t = 8.4 мм, R = 9.5 мм,r=4 мм, A = 26.8 см2 , Gп.м. = 21 кг.

Вес стоек будет равен:

(5.2)

где Н – высота стоек равная 2.2 м.

Общая нагрузка, действующая на 4 опоры фундамента, будет равна:

(5.3)

На одну опору будет действовать следующая нагрузка:

(5.4)


 

Рассматриваемая рама (рисунок 5.1) представляет симметричную (геометрическую и упругую) систему (рисунок 5.2), т.к. ее геометрическая схема имеет ось симметрии. Жесткость (EJ1) симметрично расположенных элементов одинакова. В этом случае целесообразно основную систему гак же выбрать симметричной, разрезав раму по оси ее симметрии на две части. За лишние неизвестные принимаем внутренние усилия: продольную силу х1, поперечную силу х2 и изгибающий момент х3 в сечении.

Рисунок 5.1 - Статически неопределимая рама.

Рисунок 5.2 - Симметричная рама.

Эпюры моментов (М1 и М3) от симметричных единичных усилий х1 и х3 симметричны относительно оси разреза, а эпюра (М2) от кососимметричного единичного усилия х2 кососимметрична (рисунок 5.3).

Очевидно, что по правилу Верещагина результат перемножения симметричной эпюры на кососимметричную равен нулю. Отсюда следует, что побочные перемещения δ12= δ21=0 и δ23= δ32=0. Канонические уравнения имеют вид:

(5.5)

где - х1, х2,x3 - неизвестные изгибающие моменты;

- перемещение по i-ому направлению от единичного силового фактора, заменяющего хk;

- это перемещение по i-ому направлению от заданных нагрузок.

Таким образом, система трех уравнений с тремя неизвестными разбилась на следующие уравнения с двумя симметричными неизвестными х1 и х3 и одно уравнение с одной кососимметричной неизвестной х2, что значительно сокращает объем вычислений по определению лишних неизвестных. Все коэффициенты при неизвестных вычисляем по правилу Верещагина.

 

Рисунок 5.3 - Эквивалентная система с заданными нагрузками и приложенными единичными силами.

Для определения коэффициентов, входящих в систему, построим единичные (рисунок 5.4) и грузовую (рисунок 5.5), (от заданных нагрузок) эпюры изгибающих моментов.

Эпюры изгибающих моментов от единичных сил:

 

 


Рисунок 5.3 - Эпюра моментов от единичных сил.

Грузовая эпюра от заданных нагрузок:

 

Рисунок 5.5 - Эпюра моментов от заданных нагрузок.

Главные перемещения:

Побочные перемещения:

Грузовые перемещения (перемещения от заданной нагрузки):

Составляем систему уравнений:

Решив эту систему уравнений получим: х1 = 0.742 кН∙м; х2 = 0; х3 = 1.142 кН∙м. Из уравнений статики определяем опорные реакции для эквивалентной системы (рисунок 5.6), которые одновременно являются опорными реакциями для заданной рамы: НА = 0.742 кН, VА= 3.066 кН, МА = 0.474 кНм, НВ = 0.742 кН, VВ= 3.066 кН, МВ = 0.474 кНм.


Рисунок 5.5 - Эквивалентная система с известными нагрузками и приложенными единичными силами.

По полученным данным строим окончательную эпюру изгибающих моментов (рисунок 5.7)

Рисунок 5.7 - Окончательная эпюра изгибающих моментов.

Проверяем, удовлетворяет ли принятый двутавр условию прочности

(5.6)

где – максимальный изгибающий момент, 1.142 кНм (рисунок 5.7);

– момент сопротивления относительно оси х, = 184 см3;

– допускаемой напряжение, = 158 МПа (см. раздел 2).

Так как то условие прочности соблюдается.

Исходя из технологии сварки условия монтажа учитывая большой запас по прочности приме двутавр №16 таким же, как у ригеля.

По ГОСТ 8239-76 двутавр №16 [5]:

Jx = 873 см4, Jy = 58.6 см4, Wx = 109 см3, Wy = 14.5 см3, ix = 6.57 см, iУ = 1.7 см, Sx= 62.3 см2, h = 160 мм, b = 81 мм, d = 5 мм, t = 7.8 мм, R = 8.5 мм, A = 20.2 см2, Gп.м. = 15.9 кг.

 


 

Изм.
Лист
№ докум.
Подпись
Дата
Лист
 
КП 00 00 00 06 ПЗ
Разраб.
Куцко
Провер.
Новосельская
Реценз.
 
Н. Контр.
 
Утверд.
Новосельская
Расчет стоек, проверка на гибкость
Лит.
Листов
 
БГТУ 4 17 08 17 13  
6. Расчет стоек, проверка на гибкость

 

При центральном сжатии прямого стержня прямолинейная форма его равновесия устойчива до достижения сжимающей силой так называемого критического значения.

Проверка сжатого стрежня на устойчивость определяется по формуле:

(6.1)


где ny - коэффициент запаса устойчивости;

Pкр — критическое значение сжимающей силы, Н;

Р - сила, сжимающая стержень, Н;

[ny] - допускаемое значение коэффициента запаса устойчивости.

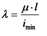
При потере устойчивости с упругой стадии работы стержня критическая сила определяется по формуле Эйлера:

 

(6.2)

Рисунок 6.1 - Центральное сжатие прямого стержня,проверка на гибкость.

где - Е - модуль упругости материала, Е = 2.1·105 МПа;

Jmin - минимальный главный центральный момент инерции поперечного сечения стойки, м4;

l - длина стойки, м;

μ - коэффициент приведения длины, величина которого для стержня постоянного поперечного сечения зависит от типа и расположения опор. Для данной схемы μ = 2.


 

Тогда критическое значение сжимающей силы составит:

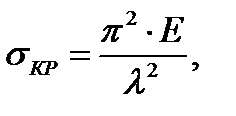
Формула для критического напряжения имеет вид:

(6.3)

 

где λ –гибкость стойки:

(6.4)

 

 

 

Формула Эйлера применима лишь в пределах действия закона Гука, т.е. при условии, что критическое напряжение не превышает предела пропорциональности материала стержня (σпц = 210 МПа):

(6.5)

Т.е. условие выполняется.

Из выражения (6.3) и (6.4) следует, что формула Эйлера применима при условии;

(6.6)

где - λ — гибкость рассчитываемого стержня, зависящая от его приведенной длины (μl), размеров и формы поперечного сечения;


λпред - предельная (граничная) гибкость для материала стержня, зависящая только от физико-механических свойств материала.

(6.7)

 

Т.е. условие гибкости выполняется т.к. λ = 289.9 > λпред = 99.3.


Изм.
Лист
№ докум.
Подпись
Дата
Лист
 
КП 00 00 00 07 ПЗ
Разраб.
Куцко
Провер.
Новосельская
Реценз.
 
Н. Контр.
 
Утверд.
Новосельская
Подбор и расчет опорных баз  
Лит.
Листов
 
БГТУ 4 17 08 17 13  
7. Подбор и расчет опорных баз

 

Проектируемая рама опирается на фундамент при помощи опор, состоящих из набора косынок, приваривающихся к опорной плите и стойке рамы. Рама крепится к фундаменту при помощи фундаментных болтов. На опоры действуют значительные осевые силы возникающие от веса металлоконструкции с грузом, которые приводит к возникновению больших напряжений и реакций фундамента.

Целью расчета является определение толщин опорной плиты и косынок исходя из напряжений сжатия, а также диаметра болтов, крепящих раму к фундаменту.

Расчет производим согласно методике изложенной в [3].Расчетная схема представлена на рисунке 7.1

Рисунок 7.1 - Схема опоры для крепления рамы к фундаменту

 

Толщину опорной плиты определяем по формуле

, (7.1)

где -коэффициент, учитывающий увеличение жесткости при укреплении опорной поверхности ребрами. Находится из следующих соотношений:

при , (7.2)

при , (7.3)


 

где l -расстояние между косынками, l=100 мм (рис. 7.1);

- вылет опорной плиты, b=60 мм.

Следовательно l/b=100/60=1.33<4 тогда =0,5

- допускаемой напряжение для бетона М200, =8МПа;

- допускаемое напряжение материала плиты, =158 МПа

с – конструкционная добавка, учитывающая коррозию, с=3 мм.

Определяем толщину косынки:

, (7.4)

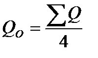
где Р – расчетная нагрузка на одну опору, P = 6133,05 Н;

k – коэффициент гибкости, первоначально принимаем k=0.6;

z – число косынок, z=8;

- допускаемое напряжение материала косынки, = 158 МПа;

L – длина катета косынки, L=165 мм.

Принимаем косынку со стандартной толщиной s=4 мм.

Определим диаметр болтов, крепящих опору к фундаменту:

, (7.5)

где - болтовая нагрузка, Н;

(7.6)

где F - площадь опорной плиты;

bПЛ – ширина плиты, принимаем равной 340 мм;

LПЛ – длина плиты, принимаем равной 240 мм.

n - количество болтов, крепящих опору к фундаменту. Принимаем n=4;

- допускаемое напряжение материала болта, =140 МПа.

Следовательно:

Принимаем фундаментный болт стандартного диаметра БОЛТ М36x4 ГОСТ 7898-70.

Проверяем сварные швы на срез в месте крепления косынки к стойке. Для этого должно соблюдаться следующее условие


, (7.7)

где Lшв - периметр всех сварных швов, Lшв=2400 мм;

k - катет сварного шва, k=4 мм;

- допускаемое напряжение среза, МПа;

. (7.8)

- допускаемое напряжение в сварном шве равное 158 МПа

Условие прочности сварных швов соблюдается.

 

Изм.
Лист
№ докум.
Подпись
Дата
Лист
 
КП 00 00 00 08 ПЗ
Разраб.
Куцко
Провер.
Новосельская
Реценз.
 
Н. Контр.
 
Утверд.
Новосельская
. Степень унификации и стандартизации
Лит.
Листов
 
БГТУ 4 17 08 17 13  
8. Степень унификации и стандартизации

 

Степень унификации и стандартизации определяется коэффициентом унификации (стандартизации) который зависти от числа стандартных деталей металлоконструкции, и определяется как

, (8.1)

где - число стандартизированных и унифицированных деталей и узлов конструкции, шт.;

- общее число деталей и узлов конструкции, шт..

Количество унифицированных деталей и узлов: опоры – 4 шт.; стойки – 4шт.; ригели – 4 шт.

Количество стандартизированных деталей и узлов: болты – 16 шт.; гайки – 16 шт.; прокладки – 32 шт.

Остальные: косынки – 32 шт.; траверсы – 8 шт.; плиты опорные – 4 шт.


 

Заключение

В данной работе сконструирована рама с подвижной нагрузкой, произведены расчеты профиля сечения ригеля, стоек. Осуществлен расчет ригеля на выносливость, общую и местную устойчивость и в результате вышеприведенных проверочных расчетов установлено, что данная стержневая конструкция (рама) при заданных нагрузках, размерах и сечениях стержней является достаточно прочной, устойчивой и жесткой в опасных сечениях, а также не разрушается от действия циклических нагрузок за период эксплуатации.

В качестве ригеля принят двутавр №16. В качестве стояк, исходя из равенства моментов инерции сопротивления предлагаемых деталей и методов расчета, так же двутавр №16. Подобраны опоры, и даны рекомендации по установке рамы на площадку.

Приведен список использованных источников и ГОСТов.


 







Date: 2015-09-22; view: 517; Нарушение авторских прав



mydocx.ru - 2015-2026 year. (1.843 sec.) Все материалы представленные на сайте исключительно с целью ознакомления читателями и не преследуют коммерческих целей или нарушение авторских прав - Пожаловаться на публикацию