Главная Случайная страница


Полезное:

Как сделать разговор полезным и приятным Как сделать объемную звезду своими руками Как сделать то, что делать не хочется? Как сделать погремушку Как сделать так чтобы женщины сами знакомились с вами Как сделать идею коммерческой Как сделать хорошую растяжку ног? Как сделать наш разум здоровым? Как сделать, чтобы люди обманывали меньше Вопрос 4. Как сделать так, чтобы вас уважали и ценили? Как сделать лучше себе и другим людям Как сделать свидание интересным?


Категории:

АрхитектураАстрономияБиологияГеографияГеологияИнформатикаИскусствоИсторияКулинарияКультураМаркетингМатематикаМедицинаМенеджментОхрана трудаПравоПроизводствоПсихологияРелигияСоциологияСпортТехникаФизикаФилософияХимияЭкологияЭкономикаЭлектроника






Определение перерезывающих сил и изгибающих моментов





 

Рассмотрим сечение к балки аb (рисунок 2.2а), находящееся на расстоянии аk от левой опоры и bk от правой опоры. Очевидно, что максимальный изгибающий момент будет в центре балки, т.е. аk = bk = l/2 = 4/2 = 2м. Линия изгибающего момента представлена на рис. 2.2б. Пока груз Р находится правее сечения к, левее сечения из внешних сил имеется только опорная реакция A, и момент в сечении к равен:

Мk = А∙аК. (2.3)

При x = 0 Мk = Р∙ак = 40∙2 = 80 кH∙м;

при x = l Мk = 0

По этому уравнению строится правая ветвь линии влияния, где находится груз Р. При нахождении груза левее сечения k удобнее рассматривать правую часть балки, так как из внешних сил в правой части остается одна опорная реакция В и можно записать:

Mk = B∙bk (2.4)

При x = 0 Mk = 0

при х = l Мk = Р∙bk = 40∙2 = 80 кH∙м;

По этим данным строится левая ветвь линии влияния.

Линии влияния изгибающего момента Mk и перерезывающей силы Qk.

 

 

Рисунок 2.2 - Определение перерезывающих сил и изгибающих моментов.


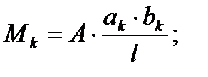
Как видно, обе ветви линии влияния пересекаются под сечением к. Ордината линии влияния в этом случае имеет максимальное значение и равна ak∙bk/l. При определении знака линии влияния будем считать момент положительным, если он вызывает растяжение в нижнем волокне. Положительные значения ординат линии влияния изгибающих моментов будем откладывать со стороны растянутого волокна.

Максимальный изгибающий момент равен:

(2,5)


Линия влияния перерезывающей силы Qk представлена на рис. 2.2в. При этом Qk будет положительной, если внутренние силы в сечении k стремятся вращать отдельные части балки относительно ее опор по часовой стрелке. В противном случае будет отрицательной (рисунок 2.2г).

Следует отметить, что при определении реакций опор и перерезывающих сил ординаты линий влияния являются безразмерными величинами, а при определении изгибающих моментов - имеют единицы измерения длины.


 

Изм.
Лист
№ докум.
Подпись
Дата
Лист
 
КП 00 00 00 03 ПЗ
Разраб.
Шпаковская
Провер.
Новосельская
Реценз.
 
Н. Контр.
 
Утверд.
Новосельская
Расчет профиля сечения ригеля из условия прочности
Лит.
Листов
 
БГТУ 4 17 08 17 13  
3. Расчет профиля сечения ригеля из условия прочности

Из условия прочности для Ст3пс подбираем балку в виде двутавра. Для определения номера профиля двутавра:

(3.1)

где W – момент сопротивления, м3; М – максимальный изгибающий момент, Н∙м; [σ] – допускаемое напряжение, для Ст3пс [σ] = 380 МПа.

 

(3.2)

где nB - коэффициент запаса прочности, nB = 2.4.

 

[σ] = 380/2.4 = 158.3 МПа;

 

По значению W выбираем по ГОСТ 8239-76 двутавр №16 [5]:

Jx = 873 см4, Jy = 58.6 см4, Wx = 109 см3, Wy = 14.5 см3, ix = 6.57 см, iУ = 1.7 см, Sx= 62.3 см2, h = 160 мм, b = 81 мм, d = 5 мм, t = 7.8 мм, R = 8.5 мм, A = 20.2 см2, Gп.м. = 15.9 кг.

 

Изм.
Лист
№ докум.
Подпись
Дата
Лист
 
КП 00 00 00 04 ПЗ
Разраб.
Шпаковская
Провер.
Новосельская
Реценз.
 
Н. Контр.
 
Утверд.
Новосельская
Проверочный расчет ригеля на жесткость общую и местную
Лит.
Листов
 
БГТУ 4 17 08 17 13  
4. Проверочный расчет ригеля на жесткость общую и местную устойчивость, выносливость, прочность







Date: 2015-09-22; view: 834; Нарушение авторских прав



mydocx.ru - 2015-2026 year. (0.909 sec.) Все материалы представленные на сайте исключительно с целью ознакомления читателями и не преследуют коммерческих целей или нарушение авторских прав - Пожаловаться на публикацию