Главная Случайная страница


Полезное:

Как сделать разговор полезным и приятным Как сделать объемную звезду своими руками Как сделать то, что делать не хочется? Как сделать погремушку Как сделать так чтобы женщины сами знакомились с вами Как сделать идею коммерческой Как сделать хорошую растяжку ног? Как сделать наш разум здоровым? Как сделать, чтобы люди обманывали меньше Вопрос 4. Как сделать так, чтобы вас уважали и ценили? Как сделать лучше себе и другим людям Как сделать свидание интересным?


Категории:

АрхитектураАстрономияБиологияГеографияГеологияИнформатикаИскусствоИсторияКулинарияКультураМаркетингМатематикаМедицинаМенеджментОхрана трудаПравоПроизводствоПсихологияРелигияСоциологияСпортТехникаФизикаФилософияХимияЭкологияЭкономикаЭлектроника






Расчет ригеля на общую устойчивость





При нагружении балки, работающей на изгиб в плоскости наибольшей жесткости, может возникнуть явление потери общей устойчивости (рисунок 4.2).Сжатый пояс балки выпучивается в боковом направлении, и возникает кручение. Потеря общей устойчивости ригелем сопровождается возникновением значительных нормальных напряжений в сечении ригеля (визуально - изгиб).

Расчет производим по методике представленной в [1].

Рисунок 4.3 Прогиб двутаврового ригеля, работающего на изгиб

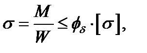
Проверку общей устойчивости для балки производим с помощью формулы:

(4.9)

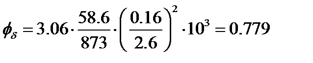
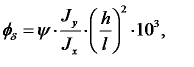
где - коэффициент снижения напряжений при потере устойчивости. Для балок с двутавровым сечением:

(4.10)

где Jx и Jy – моменты инерции сечения балки по X и Y, м4; ψ – справочный коэффициент, для стали Сталь 40 ψ = 3.06-7.79; h – полная высота балки, м.

Т.е. условие общей устойчивости выполняется.

 







Date: 2015-09-22; view: 402; Нарушение авторских прав



mydocx.ru - 2015-2026 year. (0.335 sec.) Все материалы представленные на сайте исключительно с целью ознакомления читателями и не преследуют коммерческих целей или нарушение авторских прав - Пожаловаться на публикацию