Главная Случайная страница


Полезное:

Как сделать разговор полезным и приятным Как сделать объемную звезду своими руками Как сделать то, что делать не хочется? Как сделать погремушку Как сделать так чтобы женщины сами знакомились с вами Как сделать идею коммерческой Как сделать хорошую растяжку ног? Как сделать наш разум здоровым? Как сделать, чтобы люди обманывали меньше Вопрос 4. Как сделать так, чтобы вас уважали и ценили? Как сделать лучше себе и другим людям Как сделать свидание интересным?


Категории:

АрхитектураАстрономияБиологияГеографияГеологияИнформатикаИскусствоИсторияКулинарияКультураМаркетингМатематикаМедицинаМенеджментОхрана трудаПравоПроизводствоПсихологияРелигияСоциологияСпортТехникаФизикаФилософияХимияЭкологияЭкономикаЭлектроника






Задача 8. На 1 апреля в цехе предусмотрена установка нового аппарата





На 1 апреля в цехе предусмотрена установка нового аппарата. При этом выпуск продукции увеличится на 8 %, расход сырья снизится на 3 %.

Годовой объем продукции цеха был 80000 т, себестоимость 1 т готовой продукции 60 д.е., в том числе сырье 10 д.е., заработная плата основных производственных рабочих с отчислениями на социальное страхование 4 д.е., условно-постоянные расходы 32 д.е. Численность работающих 110 человек. Затраты на проведение мероприятия 320000 д.е., норма амортизационных отчислений 10 %.

Определить показатели, характеризующие эффективность данного мероприятия.

 

Решение:

1. Годовой выпуск продукции:

2. Снижение затрат на сырье на 1 т готовой продукции

3. Снижение себестоимости продукции

4. Амортизация за год

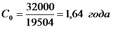
5. Срок окупаемости мероприятия

 







Date: 2015-09-26; view: 819; Нарушение авторских прав



mydocx.ru - 2015-2026 year. (0.138 sec.) Все материалы представленные на сайте исключительно с целью ознакомления читателями и не преследуют коммерческих целей или нарушение авторских прав - Пожаловаться на публикацию