Главная Случайная страница


Полезное:

Как сделать разговор полезным и приятным Как сделать объемную звезду своими руками Как сделать то, что делать не хочется? Как сделать погремушку Как сделать так чтобы женщины сами знакомились с вами Как сделать идею коммерческой Как сделать хорошую растяжку ног? Как сделать наш разум здоровым? Как сделать, чтобы люди обманывали меньше Вопрос 4. Как сделать так, чтобы вас уважали и ценили? Как сделать лучше себе и другим людям Как сделать свидание интересным?


Категории:

АрхитектураАстрономияБиологияГеографияГеологияИнформатикаИскусствоИсторияКулинарияКультураМаркетингМатематикаМедицинаМенеджментОхрана трудаПравоПроизводствоПсихологияРелигияСоциологияСпортТехникаФизикаФилософияХимияЭкологияЭкономикаЭлектроника






Определение процентных ставок





 

Процентные ставки коммерческого банка по кредитам и депозитам определяют цену основных банковских продуктов. Поэтому обоснование рациональных размеров этих ставок является одной из центральных задач финансистов банка. Методический подход к решению этой задачи состоит в следующем.

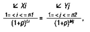
В ситуации, когда кредитным или депозитным договором точно оговорены даты и суммы прямого и обратного потоков платежей, однодневная эффективная процентная ставка р определяется из уравнения*(71):

 

"Формула 4"

 

где

Xi, Li - размер и дата i-го прямого платежа;

n1 - количество прямых платежей;

Yj, Mj - размер и дата j-го обратного платежа;

n2 - количество обратных платежей.

 

Из общих соображений балансировки прямого и обратного потоков платежей следует, что процентная ставка по кредитам должна быть не менее процентной ставки по депозитам для обеспечения безубыточности банка.

Финансисту банка, определяющему процентные ставки, необходимо учесть, по крайней мере, следующие факторы:

1) часть привлеченных средств банк обязан хранить в виде обязательных резервов, не приносящих реального дохода;

2) по некоторым кредитным договорам платежи задерживаются, а в некоторых случаях не возвращаются вовсе;

3) кредиты и депозиты не исчерпывают всего спектра активов и пассивов банка;

4) при определении процентных ставок необходимо учитывать множество факторов: репутацию банка, характер клиентуры, разветвленность сети филиалов, аналогичные ставки в других банках, уровень инфляции и т.п.

 







Date: 2015-09-22; view: 434; Нарушение авторских прав



mydocx.ru - 2015-2026 year. (1.243 sec.) Все материалы представленные на сайте исключительно с целью ознакомления читателями и не преследуют коммерческих целей или нарушение авторских прав - Пожаловаться на публикацию